回顾
读懂Pytorch版本的Faster-RCNN代码 (一) generate_anchors.py
上一篇博客简单讲述了Faster RCNN的构成和原理,以及RPN模块的generate_anchors.py的代码部分,回顾一下generate_anchors的主要作用是根据一个base anchor来生成9个不同尺度和纵横比的待选框,如下图所示:

今天继续来学习RPN模块的其他代码部分
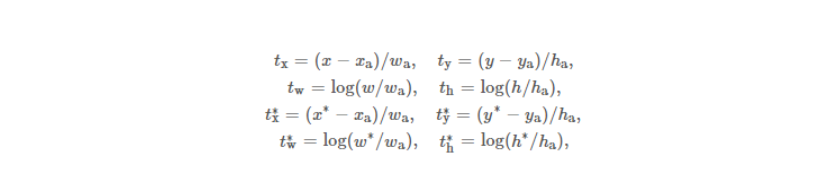
有两个需要提前知道的地方,首先,计算偏移量的公式,也就是计算GT和anchors之间差距的公式:

第二个是如何根据偏移量计算预测框,公式如下:

下一个比较基本的模块是
1.bbox_transform.py
这部分主要完成的功能有四个:
- 计算一个anchors和GT之间的偏移量
- 得到一个偏移量和anchors将他按照偏移量进行调整
- 剪裁proposals让越界的边框限制在图像之内
- 计算anchors和GT之间的IOU值
# --------------------------------------------------------
# Fast R-CNN
# Copyright (c) 2015 Microsoft
# Licensed under The MIT License [see LICENSE for details]
# Written by Ross Girshick
# --------------------------------------------------------
# --------------------------------------------------------
# Reorganized and modified by Jianwei Yang and Jiasen Lu
# --------------------------------------------------------
import torch
import numpy as np
import pdb
# ==========================================
# 函数输入: 两个区域的左下角右上角坐标,一个是预测的ROI,另一个是ground_truth
# 函数输出: x, y, w, h的偏移量
# ==========================================
# 这个函数主要计算了一个给定的ROI和一个ground_truth之间的偏移量大小
# 前8行代码分别计算了ROI以及ground_truth的宽度w高度h以及中心点坐标x,y,具体的计算方法和上一篇# 博客中计算过程相同
def bbox_transform(ex_rois, gt_rois):
# 这里计算了一个ROI的w, h, x, y
ex_widths = ex_rois[:, 2] - ex_rois[:, 0] + 1.0
ex_heights = ex_rois[:, 3] - ex_rois[:, 1] + 1.0
ex_ctr_x = ex_rois[:, 0] + 0.5 * ex_widths
ex_ctr_y = ex_rois[:, 1] + 0.5 * ex_heights
# 这里计算了一个ground_truth的w, h, x, y
gt_widths = gt_rois[:, 2] - gt_rois[:, 0] + 1.0
gt_heights = gt_rois[:, 3] - gt_rois[:, 1] + 1.0
gt_ctr_x = gt_rois[:, 0] + 0.5 * gt_widths
gt_ctr_y = gt_rois[:, 1] + 0.5 * gt_heights
# 通过以上两步已经计算出了ROI和GT的四个指标,下面开始计算偏移量,这个偏移量就是按照论文中
# 定义的公式去计算
# 对于x和y就是两个的坐标相减分别处以宽度和高度
# 对于w和h的偏移量就是两个的商取log值
targets_dx = (gt_ctr_x - ex_ctr_x) / ex_widths
targets_dy = (gt_ctr_y - ex_ctr_y) / ex_heights
targets_dw = torch.log(gt_widths / ex_widths)
targets_dh = torch.log(gt_heights / ex_heights)
targets = torch.stack(
(targets_dx, targets_dy, targets_dw, targets_dh),1)
return targets
# ========================================
# 函数输入:生成的一系列区域以及GT的左下右上坐标,其中ex_rois可以不是batch
# 函数输出:返回计算他们之间的偏移量
# ========================================
# 这个函数和上一个完成的是相同的任务,但是区别是可以进行batch操作
# 其中ex_rois可以传入batch的,也可以传单个图像的一系列ROIs,但是GT都是以batch传入的
def bbox_transform_batch(ex_rois, gt_rois):
# 这里判断了一下ex_rois是不是批量的,也就是batch_size的形式
# 如果是2,证明不是batch的形式
# 然后计算了这一系列的ex_rois的w,h,x,y
# 举个例子,比如ex_rois是[10, 4],gt_rois是[10, 10, 4]
# 那么对于ex算出来的w是[10],然后通过torch.view操作变成了(1, 10),再通过.expand_as变成了
# [10, 10]这样就保证了维度相同,可以运算了
if ex_rois.dim() == 2:
ex_widths = ex_rois[:, 2] - ex_rois[:, 0] + 1.0
ex_heights = ex_rois[:, 3] - ex_rois[:, 1] + 1.0
ex_ctr_x = ex_rois[:, 0] + 0.5 * ex_widths
ex_ctr_y = ex_rois[:, 1] + 0.5 * ex_heights
gt_widths = gt_rois[:, :, 2] - gt_rois[:, :, 0] + 1.0
gt_heights = gt_rois[:, :, 3] - gt_rois[:, :, 1] + 1.0
gt_ctr_x = gt_rois[:, :, 0] + 0.5 * gt_widths
gt_ctr_y = gt_rois[:, :, 1] + 0.5 * gt_heights
targets_dx = (gt_ctr_x - ex_ctr_x.view(1,-1).expand_as(gt_ctr_x)) / ex_widths
targets_dy = (gt_ctr_y - ex_ctr_y.view(1,-1).expand_as(gt_ctr_y)) / ex_heights
targets_dw = torch.log(gt_widths / ex_widths.view(1,-1).expand_as(gt_widths))
targets_dh = torch.log(gt_heights / ex_heights.view(1,-1).expand_as(gt_heights))
# 这里是如果ex也是batch的形式就不用那么复杂直接计算就可以,返回的结果是(10, 10, 4)
elif ex_rois.dim() == 3:
ex_widths = ex_rois[:, :, 2] - ex_rois[:, :, 0] + 1.0
ex_heights = ex_rois[:,:, 3] - ex_rois[:,:, 1] + 1.0
ex_ctr_x = ex_rois[:, :, 0] + 0.5 * ex_widths
ex_ctr_y = ex_rois[:, :, 1] + 0.5 * ex_heights
gt_widths = gt_rois[:, :, 2] - gt_rois[:, :, 0] + 1.0
gt_heights = gt_rois[:, :, 3] - gt_rois[:, :, 1] + 1.0
gt_ctr_x = gt_rois[:, :, 0] + 0.5 * gt_widths
gt_ctr_y = gt_rois[:, :, 1] + 0.5 * gt_heights
targets_dx = (gt_ctr_x - ex_ctr_x) / ex_widths
targets_dy = (gt_ctr_y - ex_ctr_y) / ex_heights
targets_dw = torch.log(gt_widths / ex_widths)
targets_dh = torch.log(gt_heights / ex_heights)
else:
raise ValueError('ex_roi input dimension is not correct.')
# 这里是对结果的拼接
targets = torch.stack(
(targets_dx, targets_dy, targets_dw, targets_dh),2)
return targets
# =======================================
# 函数输入:没经过回归变化的boxes,每个类别的偏移量,batch_size(没用到)
# 函数输出:每个类别的pred_boxes的左下右上的坐标
#========================================
# 这个函数是计算pred_boxes的过程,就是计算我预测出的boxes
# 其中boxes是没变换之前的anchor,deltas是x,y,w,h上的偏移量
# 由于faster_RCNN是对每一个类别预测一个偏移量,所以delta的大小是classnum*4
def bbox_transform_inv(boxes, deltas, batch_size):
# 首先计算boxes的w,h,x,y的坐标
widths = boxes[:, :, 2] - boxes[:, :, 0] + 1.0
heights = boxes[:, :, 3] - boxes[:, :, 1] + 1.0
ctr_x = boxes[:, :, 0] + 0.5 * widths
ctr_y = boxes[:, :, 1] + 0.5 * heights
# 由于里面有每个类别的偏移量,所以这里::4的意思是没4步取一个值,最终是去了所有类别的
# dx,dy,dw,dh
dx = deltas[:, :, 0::4]
dy = deltas[:, :, 1::4]
dw = deltas[:, :, 2::4]
dh = deltas[:, :, 3::4]
# 这里还是举一个例子,例如batchsize=10,一个图像又10个anchors,类别数量是2
# dx这些维度都是(10, 10, 2)
# widths是(10, 10)这样维度不同没有办法计算所以需要在最后加一个维度就是第二个10后面
# 所以这时候通过unsqueeze(2),就变成了(10, 10, 2)维度相同,可以按照公式计算
# 最终的输出就是(batch_size, roi_number, class_number)的维度
# 这里开始根据公式来计算预测的bbox坐标,根据公式
pred_ctr_x = dx * widths.unsqueeze(2) + ctr_x.unsqueeze(2)
pred_ctr_y = dy * heights.unsqueeze(2) + ctr_y.unsqueeze(2)
pred_w = torch.exp(dw) * widths.unsqueeze(2)
pred_h = torch.exp(dh) * heights.unsqueeze(2)
# 这里再将预测框的格式转换为左下角右上角坐标的形式
pred_boxes = deltas.clone()
# x1
pred_boxes[:, :, 0::4] = pred_ctr_x - 0.5 * pred_w
# y1
pred_boxes[:, :, 1::4] = pred_ctr_y - 0.5 * pred_h
# x2
pred_boxes[:, :, 2::4] = pred_ctr_x + 0.5 * pred_w
# y2
pred_boxes[:, :, 3::4] = pred_ctr_y + 0.5 * pred_h
return pred_boxes
#=========================================
# 函数输入:一系列的待选框左下右上坐标,图像大小,batch_size
# 函数输出:限制边界后的bbox
#=========================================
# 这个函数是将boxes的边界限制在图像范围之内,防止那些越界的边界框
# 由于也是batch的形式,会有一个维度是batch_size
def clip_boxes_batch(boxes, im_shape, batch_size):
"""
Clip boxes to image boundaries.
"""
# 这里面先取了一下每个图像有几个rois,因为这个是boxes的第二维
num_rois = boxes.size(1)
# 这里判断了一下,如果预测框已经小于零了证明已经出界了,这时候让他们等于0
boxes[boxes < 0] = 0
# batch_x = (im_shape[:,0]-1).view(batch_size, 1).expand(batch_size, num_rois)
# batch_y = (im_shape[:,1]-1).view(batch_size, 1).expand(batch_size, num_rois)
# 由于比如256大小的图像范围是0-255,所以-1来得到坐标的最大值
batch_x = im_shape[:, 1] - 1
batch_y = im_shape[:, 0] - 1
# 分别判断左下右上的坐标是否越过最大值,如果越过就让他等于最大值
boxes[:,:,0][boxes[:,:,0] > batch_x] = batch_x
boxes[:,:,1][boxes[:,:,1] > batch_y] = batch_y
boxes[:,:,2][boxes[:,:,2] > batch_x] = batch_x
boxes[:,:,3][boxes[:,:,3] > batch_y] = batch_y
return boxes
# =================================================
# 函数输入:预测框的坐标,图像大小(这里可以使不同大小的batch的形式),batch_size
# 函数输出:限制之后的预测框
# =================================================
# 上面的是对于boxes是batch的形式,但是图像是相同大小的,而这个就可以图像大小不同
# 根据不同的大小指定自己的边界
def clip_boxes(boxes, im_shape, batch_size):
# 迭代每一个图像大小,进行限制
# .clamp函数就是限制函数,参数是最小值最大值,这样将他们限制在图像中
for i in range(batch_size):
boxes[i,:,0::4].clamp_(0, im_shape[i, 1]-1)
boxes[i,:,1::4].clamp_(0, im_shape[i, 0]-1)
boxes[i,:,2::4].clamp_(0, im_shape[i, 1]-1)
boxes[i,:,3::4].clamp_(0, im_shape[i, 0]-1)
return boxes
#====================================================
# 函数输入:一系列的anchors和一系列的gt的左下右上坐标
# 函数输出:这一系列anchors和gt之间交并比IOU返回的结果是(N, K)大小的,即两两之间都做了比较
#====================================================
# 这个代码是计算anchors和ground_truth重叠的面积,也就是IOU值
def bbox_overlaps(anchors, gt_boxes):
"""
anchors: (N, 4) ndarray of float
gt_boxes: (K, 4) ndarray of float
overlaps: (N, K) ndarray of overlap between boxes and query_boxes
"""
# N是anchors的数量,K是gt_boxes的数量
N = anchors.size(0)
K = gt_boxes.size(0)
# 这里首先先将两个区域的面积计算出来,然后将gt的面积转化为(1, k)的维度
# 将anchors的维度转换为(N, 1)的维度
gt_boxes_area = ((gt_boxes[:,2] - gt_boxes[:,0] + 1) *
(gt_boxes[:,3] - gt_boxes[:,1] + 1)).view(1, K)
anchors_area = ((anchors[:,2] - anchors[:,0] + 1) *
(anchors[:,3] - anchors[:,1] + 1)).view(N, 1)
# 这里将待选框和gt转换为同一维度都是(N,K,4)
boxes = anchors.view(N, 1, 4).expand(N, K, 4)
query_boxes = gt_boxes.view(1, K, 4).expand(N, K, 4)
# 这里找到右上x坐标与左下x坐标的最小值以及右上x坐标的最大值
# 这样就能保正得到的数不是负数
iw = (torch.min(boxes[:,:,2], query_boxes[:,:,2]) -
torch.max(boxes[:,:,0], query_boxes[:,:,0]) + 1)
# 如果小于0,证明两个框没有交集,则等于零
iw[iw < 0] = 0
# 同样,找到y坐标的最小最大值,然后得到h的最大值
ih = (torch.min(boxes[:,:,3], query_boxes[:,:,3]) -
torch.max(boxes[:,:,1], query_boxes[:,:,1]) + 1)
ih[ih < 0] = 0
# 这样根据交并比的公式,ua计算了两个区域的面积总和
# 用iw*ih得到相交区域的面积,除以总面积,得到交并比,即IOU
ua = anchors_area + gt_boxes_area - (iw * ih)
overlaps = iw * ih / ua
# 返回最大的IOU
return overlaps
#==============================================
# 函数输入:batch_size形式的gt,anchors可以是batch也可以不是
# 函数输出:batch形式的ROIs, 维度为batch_size, N, K
#==============================================
# 这个函数还是计算IOU,但是gt可以是batch_size的形式
def bbox_overlaps_batch(anchors, gt_boxes):
"""
anchors: (N, 4) ndarray of float
# 这里多的一维是这个gt物体的类别
gt_boxes: (b, K, 5) ndarray of float
overlaps: (N, K) ndarray of overlap between boxes and query_boxes
"""
# 首先计算出batch_size的大小
batch_size = gt_boxes.size(0)
# 这里判断一下anchors是不是batch的形式,如果是两维证明不是batch的形式
if anchors.dim() == 2:
# N和K还是看一张图有多少个anchor和ground_truth
N = anchors.size(0)
K = gt_boxes.size(1)
# 这里的contiguous相当于对原来的tensor进行了一下深拷贝,其实就相当于reshape
anchors = anchors.view(1, N, 4).expand(batch_size, N, 4).contiguous()
gt_boxes = gt_boxes[:,:,:4].contiguous()
# 这里计算出gt的宽和高,并且同时计算出面积,将其面积变成(batch, 1, k)的维度
gt_boxes_x = (gt_boxes[:,:,2] - gt_boxes[:,:,0] + 1)
gt_boxes_y = (gt_boxes[:,:,3] - gt_boxes[:,:,1] + 1)
gt_boxes_area = (gt_boxes_x * gt_boxes_y).view(batch_size, 1, K)
# 同样,这里计算出anchors的宽和高,也计算出面积,维度是(batch, N, 1)
anchors_boxes_x = (anchors[:,:,2] - anchors[:,:,0] + 1)
anchors_boxes_y = (anchors[:,:,3] - anchors[:,:,1] + 1)
anchors_area = (anchors_boxes_x * anchors_boxes_y).view(batch_size, N, 1)
# 这里判断了一下gt和anchors是不是0,但是我很奇怪为什么这里要判断一下他们是不是0
gt_area_zero = (gt_boxes_x == 1) & (gt_boxes_y == 1)
anchors_area_zero = (anchors_boxes_x == 1) & (anchors_boxes_y == 1)
# 这里就和上面的代码一样了,将两个扩充到一样的维度
boxes = anchors.view(batch_size, N, 1, 4).expand(batch_size, N, K, 4)
query_boxes = gt_boxes.view(batch_size, 1, K, 4).expand(batch_size, N, K, 4)
#计算宽度
iw = (torch.min(boxes[:,:,:,2], query_boxes[:,:,:,2]) -
torch.max(boxes[:,:,:,0], query_boxes[:,:,:,0]) + 1)
iw[iw < 0] = 0
# 计算高度
ih = (torch.min(boxes[:,:,:,3], query_boxes[:,:,:,3]) -
torch.max(boxes[:,:,:,1], query_boxes[:,:,:,1]) + 1)
ih[ih < 0] = 0
ua = anchors_area + gt_boxes_area - (iw * ih)
overlaps = iw * ih / ua
# 这里是做的一个填补,如果gt是0,让这部分的IOU变成0
# 如果anchors是0,那么就用-1去替换 IOU的值
# mask the overlap here.
overlaps.masked_fill_(gt_area_zero.view(batch_size, 1, K).expand(batch_size, N, K), 0)
overlaps.masked_fill_(anchors_area_zero.view(batch_size, N, 1).expand(batch_size, N, K), -1)
elif anchors.dim() == 3:
N = anchors.size(1)
K = gt_boxes.size(1)
# anchor的最后一维如果是4那么就是四个坐标
if anchors.size(2) == 4:
anchors = anchors[:,:,:4].contiguous()
# 不然的或就是后四个数是坐标,现在还没理解第一维是什么
else:
anchors = anchors[:,:,1:5].contiguous()
# 得到GT的前思维坐标
gt_boxes = gt_boxes[:,:,:4].contiguous()
# 后面的计算过程和前面的基本上没有差别了
gt_boxes_x = (gt_boxes[:,:,2] - gt_boxes[:,:,0] + 1)
gt_boxes_y = (gt_boxes[:,:,3] - gt_boxes[:,:,1] + 1)
gt_boxes_area = (gt_boxes_x * gt_boxes_y).view(batch_size, 1, K)
anchors_boxes_x = (anchors[:,:,2] - anchors[:,:,0] + 1)
anchors_boxes_y = (anchors[:,:,3] - anchors[:,:,1] + 1)
anchors_area = (anchors_boxes_x * anchors_boxes_y).view(batch_size, N, 1)
gt_area_zero = (gt_boxes_x == 1) & (gt_boxes_y == 1)
anchors_area_zero = (anchors_boxes_x == 1) & (anchors_boxes_y == 1)
boxes = anchors.view(batch_size, N, 1, 4).expand(batch_size, N, K, 4)
query_boxes = gt_boxes.view(batch_size, 1, K, 4).expand(batch_size, N, K, 4)
iw = (torch.min(boxes[:,:,:,2], query_boxes[:,:,:,2]) -
torch.max(boxes[:,:,:,0], query_boxes[:,:,:,0]) + 1)
iw[iw < 0] = 0
ih = (torch.min(boxes[:,:,:,3], query_boxes[:,:,:,3]) -
torch.max(boxes[:,:,:,1], query_boxes[:,:,:,1]) + 1)
ih[ih < 0] = 0
ua = anchors_area + gt_boxes_area - (iw * ih)
overlaps = iw * ih / ua
# mask the overlap here.
overlaps.masked_fill_(gt_area_zero.view(batch_size, 1, K).expand(batch_size, N, K), 0)
overlaps.masked_fill_(anchors_area_zero.view(batch_size, N, 1).expand(batch_size, N, K), -1)
else:
raise ValueError('anchors input dimension is not correct.')
return overlaps
对于上述代码尚有两个疑问:

这里为什么要判断一下gt和anchors是不是0,gt是真是框,肯定不会存在0这个问题啊

第二个是为什么要在这里对真是框是0的补成0,anchors是0的补成-1
这两个问题在解读后续代码时再理解把
2.proposal_layer.py
这部分主要完成的功能是:
- 将特征图中的anchors映射回原图像
- 根据偏移量对proposals进行调整,对越界的地方进行剪裁
- 按照评分对前景图像进行排序,选择K个最高的送入NMS网络,将定义好的前N个NMS的输出保存下来,再计算出不符合规定的高度和宽度大小的边框。
from __future__ import absolute_import
# --------------------------------------------------------
# Faster R-CNN
# Copyright (c) 2015 Microsoft
# Licensed under The MIT License [see LICENSE for details]
# Written by Ross Girshick and Sean Bell
# --------------------------------------------------------
# --------------------------------------------------------
# Reorganized and modified by Jianwei Yang and Jiasen Lu
# --------------------------------------------------------
import torch
import torch.nn as nn
import numpy as np
import math
import yaml
from model.utils.config import cfg
from .generate_anchors import generate_anchors
from .bbox_transform import bbox_transform_inv, clip_boxes, clip_boxes_batch
# from model.nms.nms_wrapper import nms
from model.roi_layers import nms
import pdb
DEBUG = False
class _ProposalLayer(nn.Module):
"""
Outputs object detection proposals by applying estimated bounding-box
transformations to a set of regular boxes (called "anchors").
"""
# 这个类的作用是通过将估计的边界框经过变换,得到一组常规框,也就是anchors
def __init__(self, feat_stride, scales, ratios):
# 先进行初始化
super(_ProposalLayer, self).__init__()
# feat_stride是图像缩小了多少倍,如果图像特征维度是原来的1/16,那么这个数就是16
self._feat_stride = feat_stride
# 这句话调用了generate_anchors,通过指定的scales和ratios来生成定义中的那些基础框
self._anchors = torch.from_numpy(generate_anchors(scales=np.array(scales),
ratios=np.array(ratios))).float()
# 这里计算了基础的anchors的数量,大小是ratios的数量乘以scales的数量
self._num_anchors = self._anchors.size(0)
# rois blob: holds R regions of interest, each is a 5-tuple
# (n, x1, y1, x2, y2) specifying an image batch index n and a
# rectangle (x1, y1, x2, y2)
# top[0].reshape(1, 5)
#
# # scores blob: holds scores for R regions of interest
# if len(top) > 1:
# top[1].reshape(1, 1, 1, 1)
def forward(self, input):
# Algorithm:
#
# for each (H, W) location i
# generate A anchor boxes centered on cell i
# apply predicted bbox deltas at cell i to each of the A anchors
# clip predicted boxes to image
# remove predicted boxes with either height or width < threshold
# sort all (proposal, score) pairs by score from highest to lowest
# take top pre_nms_topN proposals before NMS
# apply NMS with threshold 0.7 to remaining proposals
# take after_nms_topN proposals after NMS
# return the top proposals (-> RoIs top, scores top)
# _num_anchors的第一个通道是他是背景的概率
# 第二个通道是他是前景的概率
# the first set of _num_anchors channels are bg probs
# the second set are the fg probs
# scores是一个四维的tensor[batch_size, 18, 14, 14]
# 其中的第一维不用说了是batch_size
# 第二维是18,因为按照fasterRCNN一个特征点生成9个anchors,18中前9个是他是背景的概率
# 后九个是他是前景的概率,后面的14*14是因为在特征提取后的特征图是14*14维的
scores = input[0][:, self._num_anchors:, :, :] #(batch_size, 9, 14, 14)
# input的第二维是偏移量
bbox_deltas = input[1]
# input的第三维是图像的信息
im_info = input[2]
# 这里没用到这个,不过据说是前景还是背景
cfg_key = input[3]
# 这里从config文件里提取了一些超参数
# 这个参数是在NMS处理之前我们要保留评分前多少的boxes
pre_nms_topN = cfg[cfg_key].RPN_PRE_NMS_TOP_N
# 这个参数是在应用了NMS之后我们要保留前多少个评分boxes
post_nms_topN = cfg[cfg_key].RPN_POST_NMS_TOP_N
# 这个参数是NMS应用的阈值
nms_thresh = cfg[cfg_key].RPN_NMS_THRESH
# 这个参数是你最终映射回原图的宽和高都要大于这个值
min_size = cfg[cfg_key].RPN_MIN_SIZE
# 计算了一下偏移量的第一维,得到的是batch_size
batch_size = bbox_deltas.size(0)
# 这两个数就是特征图的高度和宽度,按照论文中的模型就是14*14
feat_height, feat_width = scores.size(2), scores.size(3)
# 这里是要把他做成网格的形式,先做一个从0到13的数组,然后乘以stride,这样就是原图中
# x的一系列坐标
shift_x = np.arange(0, feat_width) * self._feat_stride
# 对y做同样的处理
shift_y = np.arange(0, feat_height) * self._feat_stride
# 这里是把x和y的坐标展开
shift_x, shift_y = np.meshgrid(shift_x, shift_y)
# 然后将xy进行合并,得到4*196的结果,再进行转置,最终得到196*4的维度
# 然后将其转换为float的形式这些就是特征点转换到原图的中心点坐标
shifts = torch.from_numpy(np.vstack((shift_x.ravel(), shift_y.ravel(),
shift_x.ravel(), shift_y.ravel())).transpose())
shifts = shifts.contiguous().type_as(scores).float()
# A是一个特征点anchors的数量,论文中为9
A = self._num_anchors
# K是shifts的第一维,也就是196,其实相当于在原图中划分了196个区域
K = shifts.size(0)
# 这里也把anchors转换为和scores一样的数据类型
self._anchors = self._anchors.type_as(scores)
# anchors = self._anchors.view(1, A, 4) + shifts.view(1, K, 4).permute(1, 0, 2).contiguous()
# 把以0, 0生成的那些标准anchor的坐标和原图中的中心点坐标相加,就得到了原图中的待选框
# 这里计算出的结果是(196, 9, 4)
anchors = self._anchors.view(1, A, 4) + shifts.view(K, 1, 4)
# 然后将他们展开成(1, 196*9, 4), 并且扩大到batch_size的大小
anchors = anchors.view(1, K * A, 4).expand(batch_size, K * A, 4)
# Transpose and reshape predicted bbox transformations to get them
# into the same order as the anchors:
# 这里的delta是(batch_size, 9*4, 14, 14)的大小,将他转换成和anchors一样的形式
bbox_deltas = bbox_deltas.permute(0, 2, 3, 1).contiguous()
# 转换为(batch_size, 196 * 4, 4)
bbox_deltas = bbox_deltas.view(batch_size, -1, 4)
# Same story for the scores:
# 同样scores:(batch_size, 9, 14, 14)->(batch_size, 14, 14, 9)->(batch_size, 14*14*9)
scores = scores.permute(0, 2, 3, 1).contiguous()
scores = scores.view(batch_size, -1)
# Convert anchors into proposals via bbox transformations
# 用之前写过的bbox_transorm_inv将经过修正的proposals得到
proposals = bbox_transform_inv(anchors, bbox_deltas, batch_size)
# 2. clip predicted boxes to image
# 这里是将proposals限制到图像内
proposals = clip_boxes(proposals, im_info, batch_size)
# proposals = clip_boxes_batch(proposals, im_info, batch_size)
# assign the score to 0 if it's non keep.
# keep = self._filter_boxes(proposals, min_size * im_info[:, 2])
# trim keep index to make it euqal over batch
# keep_idx = torch.cat(tuple(keep_idx), 0)
# scores_keep = scores.view(-1)[keep_idx].view(batch_size, trim_size)
# proposals_keep = proposals.view(-1, 4)[keep_idx, :].contiguous().view(batch_size, trim_size, 4)
# _, order = torch.sort(scores_keep, 1, True)
# 这里先将scores存到keep里面(bs, 14*14*9, 1)
scores_keep = scores
# 这里是经过修正后的proposals
proposals_keep = proposals
# 这里把是前景的分数进行排序,1代表以第2维进行排序,True代表从大到小
# 返回的第一维是排好的tensor,第二维是index,这里只要index
_, order = torch.sort(scores_keep, 1, True)
# 这里先定义了输出的tensor,一个(batch_size, post_nms_topN, 5)大小的全0矩阵
output = scores.new(batch_size, post_nms_topN, 5).zero_()
for i in range(batch_size):
# # 3. remove predicted boxes with either height or width < threshold
# # (NOTE: convert min_size to input image scale stored in im_info[2])
# 这里获取了一张图像的proposals以及其是前景的评分
proposals_single = proposals_keep[i] #[14*14*9, 4]
scores_single = scores_keep[i] # [14*14*9, 1]
# # 4. sort all (proposal, score) pairs by score from highest to lowest
# # 5. take top pre_nms_topN (e.g. 6000)
# 这里计算出了一张图像的所有proposals前景评分从大到小的排名
order_single = order[i]
# 这里判断了一下,如果输入NMS的排序个数大于零,并且小于scores_deep的元素个数
# 这里我觉得应该和scores_single来进行比较,不然scores_keep的数量是乘以batch_size的
# 需要注意的是,并不是所有图像最终特征矩阵都是14*14,而是举了个例子,对于一张1000*600的图像来说,proposals的个数是20000左右
if pre_nms_topN > 0 and pre_nms_topN < scores_keep.numel():
order_single = order_single[:pre_nms_topN]
# 然后这里得到一个图像满足排名的proposal以及分数
proposals_single = proposals_single[order_single, :]
scores_single = scores_single[order_single].view(-1,1)
# 6. apply nms (e.g. threshold = 0.7)
# 7. take after_nms_topN (e.g. 300)
# 8. return the top proposals (-> RoIs top)
# 这里经过nms的操作得到这张图像保留下来的proposal
keep_idx_i = nms(proposals_single, scores_single.squeeze(1), nms_thresh)
keep_idx_i = keep_idx_i.long().view(-1)
# 这里取到的是经过nms保留下来的proposals以及他们的分数
if post_nms_topN > 0:
keep_idx_i = keep_idx_i[:post_nms_topN]
proposals_single = proposals_single[keep_idx_i, :]
scores_single = scores_single[keep_idx_i, :]
# padding 0 at the end.
# 这里output的第三维之所以是5,因为第一维是加入了batch_size的序号,后面才是坐标
num_proposal = proposals_single.size(0)
output[i,:,0] = i
output[i,:num_proposal,1:] = proposals_single
# 最后返回output结果
return output
def backward(self, top, propagate_down, bottom):
"""This layer does not propagate gradients."""
pass
def reshape(self, bottom, top):
"""Reshaping happens during the call to forward."""
pass
def _filter_boxes(self, boxes, min_size):
"""Remove all boxes with any side smaller than min_size."""
ws = boxes[:, :, 2] - boxes[:, :, 0] + 1
hs = boxes[:, :, 3] - boxes[:, :, 1] + 1
# 这是保证之前说的,得到的proposals必须要保证宽度高度大于一个值才可以保留,这里反回了判断的真假值
keep = ((ws >= min_size.view(-1,1).expand_as(ws)) & (hs >= min_size.view(-1,1).expand_as(hs)))
return keep
3.anchor_target_layer.py
from __future__ import absolute_import
# --------------------------------------------------------
# Faster R-CNN
# Copyright (c) 2015 Microsoft
# Licensed under The MIT License [see LICENSE for details]
# Written by Ross Girshick and Sean Bell
# --------------------------------------------------------
# --------------------------------------------------------
# Reorganized and modified by Jianwei Yang and Jiasen Lu
# --------------------------------------------------------
import torch
import torch.nn as nn
import numpy as np
import numpy.random as npr
from model.utils.config import cfg
from .generate_anchors import generate_anchors
from .bbox_transform import clip_boxes, bbox_overlaps_batch, bbox_transform_batch
import pdb
DEBUG = False
try:
long # Python 2
except NameError:
long = int # Python 3
# 这个类主要对RPN的输出进行加工,对anchors打上标签,并且与ground_truth进行对比,计算他们之间的偏差
class _AnchorTargetLayer(nn.Module):
"""
Assign anchors to ground-truth targets. Produces anchor classification
labels and bounding-box regression targets.
"""
def __init__(self, feat_stride, scales, ratios):
super(_AnchorTargetLayer, self).__init__()
# 首先进行初始化,feat_stride是与原图之间的比例,scale和ratio就是anchors的纵横比和大小
self._feat_stride = feat_stride
self._scales = scales
anchor_scales = scales
# 使用generate_anchors来生成anchors
self._anchors = torch.from_numpy(generate_anchors(scales=np.array(anchor_scales), ratios=np.array(ratios))).float()
# 得到anchors的数量,按照论文里这里是9
self._num_anchors = self._anchors.size(0)
# allow boxes to sit over the edge by a small amount
# 允许box在边缘超过多少
self._allowed_border = 0 # default is 0
def forward(self, input):
# Algorithm:
#
# for each (H, W) location i
# generate 9 anchor boxes centered on cell i
# apply predicted bbox deltas at cell i to each of the 9 anchors
# filter out-of-image anchors
# 第一维是RPN分类得分
rpn_cls_score = input[0]
# 第二维是ground_truth (batch_size, gt的数量,5)5的前四维是坐标,最后一维是类别
gt_boxes = input[1]
# 第三维是图像
im_info = input[2]
# 第四维是框的数量
num_boxes = input[3]
# map of shape (..., H, W)
# rpn_cls_score的第三维第四维是这个特征向量的长和宽
height, width = rpn_cls_score.size(2), rpn_cls_score.size(3)
# 得到batch_size
batch_size = gt_boxes.size(0)
# 又取了一遍,没啥用,还是获取特征框的高和宽
# 和上段代码之前一样,还是将其还原到原图,然后做成网格的形式
feat_height, feat_width = rpn_cls_score.size(2), rpn_cls_score.size(3)
shift_x = np.arange(0, feat_width) * self._feat_stride
shift_y = np.arange(0, feat_height) * self._feat_stride
shift_x, shift_y = np.meshgrid(shift_x, shift_y)
shifts = torch.from_numpy(np.vstack((shift_x.ravel(), shift_y.ravel(),
shift_x.ravel(), shift_y.ravel())).transpose())
shifts = shifts.contiguous().type_as(rpn_cls_score).float()
# A是anchors的数量,正常是一个点9个
A = self._num_anchors
# 这里是一共有多少个anchors的数量
K = shifts.size(0)
# 这里和上一个代码也相同,得到原图中的所有anchors
self._anchors = self._anchors.type_as(gt_boxes) # move to specific gpu.
all_anchors = self._anchors.view(1, A, 4) + shifts.view(K, 1, 4)
all_anchors = all_anchors.view(K * A, 4)
# 这里是一共有多少个anchor,K是锚点的数量,每个锚点都是9个
total_anchors = int(K * A)
# 这里判断了一下,过滤掉越界的边框,条件是左下角坐标必须大于0,右上角坐标小于图像的宽和高的最大值,这里允许边界框是压线的
keep = ((all_anchors[:, 0] >= -self._allowed_border) &
(all_anchors[:, 1] >= -self._allowed_border) &
(all_anchors[:, 2] < long(im_info[0][1]) + self._allowed_border) &
(all_anchors[:, 3] < long(im_info[0][0]) + self._allowed_border))
# 这里把所有不符合的anchors都过滤掉了,也就是越界的那些边框,得到符合规定的边框的索引
inds_inside = torch.nonzero(keep).view(-1)
#根据index来取到保留下来的边框
# keep only inside anchors
anchors = all_anchors[inds_inside, :]
# 这里定义了三个label,1代表positive也就是前景,0代表背景,-1代表不关注
# label: 1 is positive, 0 is negative, -1 is dont care
# labels初始化,大小是(batch_size, 保留下来的框的数量),初始用-1填补
labels = gt_boxes.new(batch_size, inds_inside.size(0)).fill_(-1)
# 这个inside是论文中对正样本进行回归的参数,大小是(batch_size, 保留下的框的数量),初始化为0
bbox_inside_weights = gt_boxes.new(batch_size, inds_inside.size(0)).zero_()
# 用来平衡RPN分类和回归的权重????大小一样
bbox_outside_weights = gt_boxes.new(batch_size, inds_inside.size(0)).zero_()
# 计算anchors和gt_boxes的IOU,返回的是(batch_size, 一个图中anchors的数量, 一个图中gt的数量)
overlaps = bbox_overlaps_batch(anchors, gt_boxes)
# 这里获取了对于每一个batch,对应每个anchor最大的那个IOU,(batch_size, anchors的数量)
max_overlaps, argmax_overlaps = torch.max(overlaps, 2)
# 这里返回对应每个gt,最大的IOU值
gt_max_overlaps, _ = torch.max(overlaps, 1)
# 这个参数默认是False 意思是先把符合负样本的标记为0
if not cfg.TRAIN.RPN_CLOBBER_POSITIVES:
# 如果这个选出来的anchor小于设定的negetive阈值,则让他是negative
labels[max_overlaps < cfg.TRAIN.RPN_NEGATIVE_OVERLAP] = 0
# 如果gt_max_overlaps是0,则让他等于一个很小的值1*10^-5????
gt_max_overlaps[gt_max_overlaps==0] = 1e-5
keep = torch.sum(overlaps.eq(gt_max_overlaps.view(batch_size,1,-1).expand_as(overlaps)), 2)
if torch.sum(keep) > 0:
labels[keep>0] = 1
# fg label: above threshold IOU
labels[max_overlaps >= cfg.TRAIN.RPN_POSITIVE_OVERLAP] = 1
if cfg.TRAIN.RPN_CLOBBER_POSITIVES:
labels[max_overlaps < cfg.TRAIN.RPN_NEGATIVE_OVERLAP] = 0
# 这里是前景需要的训练数量,前景占的比例 * 一个batch_size一共需要多少数量
num_fg = int(cfg.TRAIN.RPN_FG_FRACTION * cfg.TRAIN.RPN_BATCHSIZE)
# 这里经过计算,得到目前已经确定的前景和背景的数量
sum_fg = torch.sum((labels == 1).int(), 1)
sum_bg = torch.sum((labels == 0).int(), 1)
# 这里对一个batch_size进行迭代,看看选择的前景和背景数量是够符合规定要求
for i in range(batch_size):
# 如果得到的正样本太多,则需要二次采样
# subsample positive labels if we have too many
# 如果正样本的数量超过了预期的设置
if sum_fg[i] > num_fg:
# 首先获取所有的非零元素的索引
fg_inds = torch.nonzero(labels[i] == 1).view(-1)
# torch.randperm seems has a bug on multi-gpu setting that cause the segfault.
# See https://github.com/pytorch/pytorch/issues/1868 for more details.
# use numpy instead.
#rand_num = torch.randperm(fg_inds.size(0)).type_as(gt_boxes).long()
# 然后将他们用随机数的方式进行排列
rand_num = torch.from_numpy(np.random.permutation(fg_inds.size(0))).type_as(gt_boxes).long()
# 这里就去前num_fg个作为正样本,其他的设置成-1也就是不关心
disable_inds = fg_inds[rand_num[:fg_inds.size(0)-num_fg]]
labels[i][disable_inds] = -1
# num_bg = cfg.TRAIN.RPN_BATCHSIZE - sum_fg[i]
num_bg = cfg.TRAIN.RPN_BATCHSIZE - torch.sum((labels == 1).int(), 1)[i]
# 如果得到的负样本太多,也要进行二次采样
# subsample negative labels if we have too many
# 下面就是和上面一样的方法,对越界的那些样本设置为-1
if sum_bg[i] > num_bg:
bg_inds = torch.nonzero(labels[i] == 0).view(-1)
#rand_num = torch.randperm(bg_inds.size(0)).type_as(gt_boxes).long()
rand_num = torch.from_numpy(np.random.permutation(bg_inds.size(0))).type_as(gt_boxes).long()
disable_inds = bg_inds[rand_num[:bg_inds.size(0)-num_bg]]
labels[i][disable_inds] = -1
# 假设每个batch_size的gt_boxes都是20的话
# [0, 20, 40, .......(batch_size-1)*20]
offset = torch.arange(0, batch_size)*gt_boxes.size(1)
# argmax_overlaps本来是每个anchor对应最大IOU的索引
# 这里就相当于把他们加上20,大小不变
argmax_overlaps = argmax_overlaps + offset.view(batch_size, 1).type_as(argmax_overlaps)
# 这里也相当于把gt_boxes给展开了
# gt_boxes.view(-1, 5)相当于转换成(batch_size*20, 5)
# argmax_overlaps.view(-1) ->(batch_size, anchor的数量)
# gt_boxes.view(-1,5)[argmax_overlaps.view(-1), :]这就是选出与每个anchorIOU最大的GT
# 然后把anchors和与他们IOU最大的gt放入形参,计算他们之间的偏移量
# 得到(batch_size, anchors的数量, 4)
bbox_targets = _compute_targets_batch(anchors, gt_boxes.view(-1,5)[argmax_overlaps.view(-1), :].view(batch_size, -1, 5))
# use a single value instead of 4 values for easy index.
# 所有前景的anchors,将他们的权重初始化
bbox_inside_weights[labels==1] = cfg.TRAIN.RPN_BBOX_INSIDE_WEIGHTS[0]
# 这个参数默认定义的是-1,如果小于零,positive和negative的权重设置成相同的
# 都是1/num_example
if cfg.TRAIN.RPN_POSITIVE_WEIGHT < 0:
num_examples = torch.sum(labels[i] >= 0)
positive_weights = 1.0 / num_examples.item()
negative_weights = 1.0 / num_examples.item()
# 这里正常来说应该是另一种设置权重的方法,但是作者没有写,在这里附上一段tensorflow版本的代码
#positive_weights = (cfg.TRAIN.RPN_POSITIVE_WEIGHT /
np.sum(labels == 1))
#negative_weights = ((1.0 - cfg.TRAIN.RPN_POSITIVE_WEIGHT) /
np.sum(labels == 0))
else:
assert ((cfg.TRAIN.RPN_POSITIVE_WEIGHT > 0) &
(cfg.TRAIN.RPN_POSITIVE_WEIGHT < 1))
# 并没有实现这里
# 这里是outside_weights的设置,就是上面计算的
bbox_outside_weights[labels == 1] = positive_weights
bbox_outside_weights[labels == 0] = negative_weights
# 因为之前取labels的操作都是在对于图像范围内的边框进行的,这里要将图像外的都补成-1
# 这样输出的就是和totalanchors一样大小的
# batch_size * total_anchors
labels = _unmap(labels, total_anchors, inds_inside, batch_size, fill=-1)
# 同样,最其他的三个变量,也用相同的方式补全,这里是用0去填补
bbox_targets = _unmap(bbox_targets, total_anchors, inds_inside, batch_size, fill=0)
bbox_inside_weights = _unmap(bbox_inside_weights, total_anchors, inds_inside, batch_size, fill=0)
bbox_outside_weights = _unmap(bbox_outside_weights, total_anchors, inds_inside, batch_size, fill=0)
outputs = []
# 这里把labels变形了一下转换为(batch_size, 1, A * height, width)
labels = labels.view(batch_size, height, width, A).permute(0,3,1,2).contiguous()
labels = labels.view(batch_size, 1, A * height, width)
outputs.append(labels)
# 这里把bbox也展开了(batch_size, height, width, A*4)->(batch_size, 4*A, height, width)
bbox_targets = bbox_targets.view(batch_size, height, width, A*4).permute(0,3,1,2).contiguous()
outputs.append(bbox_targets)
# 这里计算了一下anchors的总数
anchors_count = bbox_inside_weights.size(1)
# 把inside_weights也转换为4维 (batch_size, anchors_count, 4)
bbox_inside_weights = bbox_inside_weights.view(batch_size,anchors_count,1).expand(batch_size, anchors_count, 4)
# 然后再展开(batch_size, height, width, 4 * A)->(batch_size, 4*A, height, width)
bbox_inside_weights = bbox_inside_weights.contiguous().view(batch_size, height, width, 4*A)
.permute(0,3,1,2).contiguous()
outputs.append(bbox_inside_weights)
# 对于outside也做成相同的形式,添加到output
bbox_outside_weights = bbox_outside_weights.view(batch_size,anchors_count,1).expand(batch_size, anchors_count, 4)
bbox_outside_weights = bbox_outside_weights.contiguous().view(batch_size, height, width, 4*A)
.permute(0,3,1,2).contiguous()
outputs.append(bbox_outside_weights)
return outputs
def backward(self, top, propagate_down, bottom):
"""This layer does not propagate gradients."""
pass
def reshape(self, bottom, top):
"""Reshaping happens during the call to forward."""
pass
# 这个函数就是将数据还原到原来的大小,对于原来没有处理的数据填补上fill的值
def _unmap(data, count, inds, batch_size, fill=0):
""" Unmap a subset of item (data) back to the original set of items (of
size count) """
if data.dim() == 2:
ret = torch.Tensor(batch_size, count).fill_(fill).type_as(data)
ret[:, inds] = data
else:
ret = torch.Tensor(batch_size, count, data.size(2)).fill_(fill).type_as(data)
ret[:, inds,:] = data
return ret
# 这里调用了bbox_transform计算偏移量
def _compute_targets_batch(ex_rois, gt_rois):
"""Compute bounding-box regression targets for an image."""
return bbox_transform_batch(ex_rois, gt_rois[:, :, :4])
4.proposal_target_layer_cascade.py
from __future__ import absolute_import
# --------------------------------------------------------
# Faster R-CNN
# Copyright (c) 2015 Microsoft
# Licensed under The MIT License [see LICENSE for details]
# Written by Ross Girshick and Sean Bell
# --------------------------------------------------------
# --------------------------------------------------------
# Reorganized and modified by Jianwei Yang and Jiasen Lu
# --------------------------------------------------------
import torch
import torch.nn as nn
import numpy as np
import numpy.random as npr
from ..utils.config import cfg
from .bbox_transform import bbox_overlaps_batch, bbox_transform_batch
import pdb
class _ProposalTargetLayer(nn.Module):
"""
Assign object detection proposals to ground-truth targets. Produces proposal
classification labels and bounding-box regression targets.
这里将目标检测框分配给ground_truth,生成分类标签以及边框回归
"""
def __init__(self, nclasses):
super(_ProposalTargetLayer, self).__init__()
# 这里还是进行初始化,对一些变量进行赋值
# 这是类别的数量
self._num_classes = nclasses
# 这里是进行标准化的均值和标准差
self.BBOX_NORMALIZE_MEANS = torch.FloatTensor(cfg.TRAIN.BBOX_NORMALIZE_MEANS)
self.BBOX_NORMALIZE_STDS = torch.FloatTensor(cfg.TRAIN.BBOX_NORMALIZE_STDS)
# 这里有定义了一个权重,BBOX_INSIDE_WEIGHTS和上一个的RPN_BBOX_INSIDE_WEIGHTS有什么区别??
self.BBOX_INSIDE_WEIGHTS = torch.FloatTensor(cfg.TRAIN.BBOX_INSIDE_WEIGHTS)
def forward(self, all_rois, gt_boxes, num_boxes):
# 重新定义了一下数据类型
self.BBOX_NORMALIZE_MEANS = self.BBOX_NORMALIZE_MEANS.type_as(gt_boxes)
self.BBOX_NORMALIZE_STDS = self.BBOX_NORMALIZE_STDS.type_as(gt_boxes)
self.BBOX_INSIDE_WEIGHTS = self.BBOX_INSIDE_WEIGHTS.type_as(gt_boxes)
# 这里初始化了一个和gt_boxes一样大小的变量
gt_boxes_append = gt_boxes.new(gt_boxes.size()).zero_()
# 将gt_boxes的坐标一次赋给新的gt_boxes_append
gt_boxes_append[:,:,1:5] = gt_boxes[:,:,:4]
# 将rois和gt_boxes_append合并到一起
# Include ground-truth boxes in the set of candidate rois
all_rois = torch.cat([all_rois, gt_boxes_append], 1)
num_images = 1
# 计算出每一个图像有多少个ROIs
rois_per_image = int(cfg.TRAIN.BATCH_SIZE / num_images)
# 用前景占得比例乘以所有的ROIs得到前景的数量,为了避免出先小数进行了四舍五入--round
fg_rois_per_image = int(np.round(cfg.TRAIN.FG_FRACTION * rois_per_image))
# 如果前景的数量是0,那么让他等于1?
fg_rois_per_image = 1 if fg_rois_per_image == 0 else fg_rois_per_image
labels, rois, bbox_targets, bbox_inside_weights = self._sample_rois_pytorch(
all_rois, gt_boxes, fg_rois_per_image,
rois_per_image, self._num_classes)
bbox_outside_weights = (bbox_inside_weights > 0).float()
return rois, labels, bbox_targets, bbox_inside_weights, bbox_outside_weights
def backward(self, top, propagate_down, bottom):
"""This layer does not propagate gradients."""
pass
def reshape(self, bottom, top):
"""Reshaping happens during the call to forward."""
pass
def _get_bbox_regression_labels_pytorch(self, bbox_target_data, labels_batch, num_classes):
"""Bounding-box regression targets (bbox_target_data) are stored in a
compact form b x N x (class, tx, ty, tw, th)
This function expands those targets into the 4-of-4*K representation used
by the network (i.e. only one class has non-zero targets).
Returns:
bbox_target (ndarray): b x N x 4K blob of regression targets
bbox_inside_weights (ndarray): b x N x 4K blob of loss weights
"""
# labels的第一维是batch_size
# 第二维是每个图像的rois数量
batch_size = labels_batch.size(0)
rois_per_image = labels_batch.size(1)
# 每个labels的分类信息
clss = labels_batch
# 初始化一个bbox_target(batch_size, rois_per_image, 4)
# bbox_inside_weight(batch_size, rois_per_image, 4)
bbox_targets = bbox_target_data.new(batch_size, rois_per_image, 4).zero_()
bbox_inside_weights = bbox_target_data.new(bbox_targets.size()).zero_()
for b in range(batch_size):
# assert clss[b].sum() > 0
# 如果一个图像的所有分类标签都为0,不做操作
if clss[b].sum() == 0:
continue
# 否则取到所有非零的坐标
inds = torch.nonzero(clss[b] > 0).view(-1)
# 否则遍历每个非零的类别,将他们的偏移量设置成bbox_target_data
# 将他们的权重设置成INSIDE的权重
for i in range(inds.numel()):
ind = inds[i]
bbox_targets[b, ind, :] = bbox_target_data[b, ind, :]
bbox_inside_weights[b, ind, :] = self.BBOX_INSIDE_WEIGHTS
return bbox_targets, bbox_inside_weights
# 这里计算了rois和gt之间的偏移量
def _compute_targets_pytorch(self, ex_rois, gt_rois):
"""Compute bounding-box regression targets for an image."""
assert ex_rois.size(1) == gt_rois.size(1)
assert ex_rois.size(2) == 4
assert gt_rois.size(2) == 4
# 得到batch_size的数量,以及每张图像的rois的数量
batch_size = ex_rois.size(0)
rois_per_image = ex_rois.size(1)
# 调用bbox_transorm计算偏移量
targets = bbox_transform_batch(ex_rois, gt_rois)
# 这里如果要进行标准化,则对偏移量根据预设好的均值和方差进行标准化
if cfg.TRAIN.BBOX_NORMALIZE_TARGETS_PRECOMPUTED:
# Optionally normalize targets by a precomputed mean and stdev
targets = ((targets - self.BBOX_NORMALIZE_MEANS.expand_as(targets))
/ self.BBOX_NORMALIZE_STDS.expand_as(targets))
return targets
def _sample_rois_pytorch(self, all_rois, gt_boxes, fg_rois_per_image, rois_per_image, num_classes):
# 生成一个包含前景和背景的随机样本
"""Generate a random sample of RoIs comprising foreground and background
examples.
"""
# overlaps: (rois x gt_boxes)
# 首先计算出rois和gt之间的IOU值,(batch_size, rois的数量, gt的数量)
overlaps = bbox_overlaps_batch(all_rois, gt_boxes)
# 找出每个gt对应最大的IOU的rois,以及他们的索引
max_overlaps, gt_assignment = torch.max(overlaps, 2)
# 计算出batch_size, proposals, 以及每个图像的gt的数量
batch_size = overlaps.size(0)
num_proposal = overlaps.size(1)
num_boxes_per_img = overlaps.size(2)
# 和之前的操作一样,如果每个图像的GT都是20,
# 得到(0, 20, 40, ......(batch_size-1)-1)
offset = torch.arange(0, batch_size)*gt_boxes.size(1)
# 把每个索引都和他对应相加,大小依旧是(batch_size, gt的数量)
offset = offset.view(-1, 1).type_as(gt_assignment) + gt_assignment
# changed indexing way for pytorch 1.0
# label初始化成(batch_size, GT的数量),取到gtbox的第五维,也就是类别信息
labels = gt_boxes[:,:,4].contiguous().view(-1)[(offset.view(-1),)].view(batch_size, -1)
# 定义三个变量,(batch_size, rois_per_image)
# (batch_size, rois_per_image, 5)
labels_batch = labels.new(batch_size, rois_per_image).zero_()
rois_batch = all_rois.new(batch_size, rois_per_image, 5).zero_()
gt_rois_batch = all_rois.new(batch_size, rois_per_image, 5).zero_()
# Guard against the case when an image has fewer than max_fg_rois_per_image
# foreground RoIs
for i in range(batch_size):
# 这里计算了一下一张图像满足大于阈值的前景的数量
fg_inds = torch.nonzero(max_overlaps[i] >= cfg.TRAIN.FG_THRESH).view(-1)
# 计算了一下有多少满足前景的rois
fg_num_rois = fg_inds.numel()
# 同样通过阈值的限制选出背景
# Select background RoIs as those within [BG_THRESH_LO, BG_THRESH_HI)
bg_inds = torch.nonzero((max_overlaps[i] < cfg.TRAIN.BG_THRESH_HI) &
(max_overlaps[i] >= cfg.TRAIN.BG_THRESH_LO)).view(-1)
bg_num_rois = bg_inds.numel()
# 如果背景和前景满足阈值的都大于0
if fg_num_rois > 0 and bg_num_rois > 0:
# sampling fg
# 这张图像选出定义的每张图像和每张图像真是的满足阈值的rois的最小值
fg_rois_per_this_image = min(fg_rois_per_image, fg_num_rois)
# torch.randperm seems has a bug on multi-gpu setting that cause the segfault.
# See https://github.com/pytorch/pytorch/issues/1868 for more details.
# use numpy instead.
#rand_num = torch.randperm(fg_num_rois).long().cuda()
# 进行了一个随其采样,得到随机采样的前景样本
rand_num = torch.from_numpy(np.random.permutation(fg_num_rois)).type_as(gt_boxes).long()
fg_inds = fg_inds[rand_num[:fg_rois_per_this_image]]
# 背景的数量就是预定义每张图像roi的数量减去得到的前景的数量
# sampling bg
bg_rois_per_this_image = rois_per_image - fg_rois_per_this_image
# Seems torch.rand has a bug, it will generate very large number and make an error.
# We use numpy rand instead.
#rand_num = (torch.rand(bg_rois_per_this_image) * bg_num_rois).long().cuda()
# 这是取地板操作,生成一系列[0, 1)的数*fg_num_rois然后取地板,得到的都是在(0, bg_num_rois)的数,一共生成了bg_rois_per_this_image个不同的
rand_num = np.floor(np.random.rand(bg_rois_per_this_image) * bg_num_rois)
rand_num = torch.from_numpy(rand_num).type_as(gt_boxes).long()
bg_inds = bg_inds[rand_num]
# 如果fg的数量大于0,bg的数量等于0
elif fg_num_rois > 0 and bg_num_rois == 0:
# sampling fg
#rand_num = torch.floor(torch.rand(rois_per_image) * fg_num_rois).long().cuda()
# 这是取地板操作,生成一系列[0, 1)的数*fg_num_rois然后取地板
rand_num = np.floor(np.random.rand(rois_per_image) * fg_num_rois)
rand_num = torch.from_numpy(rand_num).type_as(gt_boxes).long()
# 取了rois_per_image个前景,0个背景
fg_inds = fg_inds[rand_num]
fg_rois_per_this_image = rois_per_image
bg_rois_per_this_image = 0
# 不然则取rois_per_image个背景,0个前景
elif bg_num_rois > 0 and fg_num_rois == 0:
# sampling bg
#rand_num = torch.floor(torch.rand(rois_per_image) * bg_num_rois).long().cuda()
rand_num = np.floor(np.random.rand(rois_per_image) * bg_num_rois)
rand_num = torch.from_numpy(rand_num).type_as(gt_boxes).long()
bg_inds = bg_inds[rand_num]
bg_rois_per_this_image = rois_per_image
fg_rois_per_this_image = 0
else:
raise ValueError("bg_num_rois = 0 and fg_num_rois = 0, this should not happen!")
# The indices that we're selecting (both fg and bg)
# 把选出来的前景和背景拼接到一起
keep_inds = torch.cat([fg_inds, bg_inds], 0)
# 取到这些选出来的rois的标签
# Select sampled values from various arrays:
labels_batch[i].copy_(labels[i][keep_inds])
# Clamp labels for the background RoIs to 0
# 如果有bg的话,把bg的标签全部置为0
if fg_rois_per_this_image < rois_per_image:
labels_batch[i][fg_rois_per_this_image:] = 0
# 这里保存所有选出来的标签,第三维的第一个数设置成batch的数值
rois_batch[i] = all_rois[i][keep_inds]
rois_batch[i,:,0] = i
# 每个batch_size,与gt的IOU最大值的rois里面经过筛选保存下来的部分
gt_rois_batch[i] = gt_boxes[i][gt_assignment[i][keep_inds]]
# 计算这些筛选出来的roi和gt的偏移量
bbox_target_data = self._compute_targets_pytorch(
rois_batch[:,:,1:5], gt_rois_batch[:,:,:4])
# 再经过上述函数,得到bbox_targets, 以及权重
bbox_targets, bbox_inside_weights =
self._get_bbox_regression_labels_pytorch(bbox_target_data, labels_batch, num_classes)
return labels_batch, rois_batch, bbox_targets, bbox_inside_weights
5.rpn.py
from __future__ import absolute_import
import torch
import torch.nn as nn
import torch.nn.functional as F
from torch.autograd import Variable
from model.utils.config import cfg
from .proposal_layer import _ProposalLayer
from .anchor_target_layer import _AnchorTargetLayer
from model.utils.net_utils import _smooth_l1_loss
import numpy as np
import math
import pdb
import time
class _RPN(nn.Module):
""" region proposal network """
def __init__(self, din):
super(_RPN, self).__init__()
#这个就是上一个特征提取网络输出的通道数
self.din = din # get depth of input feature map, e.g., 512
# 下面的都是预先定义好的超参数,纵横比,规模,以及特征图和原图的比例
self.anchor_scales = cfg.ANCHOR_SCALES
self.anchor_ratios = cfg.ANCHOR_RATIOS
self.feat_stride = cfg.FEAT_STRIDE[0]
'''
这里定义了RPN网络的卷积操作,对于输入的特征,输出通道为512,使用3*3的卷积核,padding=1, 所以输出的尺度不变
'''
# define the convrelu layers processing input feature map
self.RPN_Conv = nn.Conv2d(self.din, 512, 3, 1, 1, bias=True)
'''
这里处理前景背景的分类,对于ratio和scale都是3的,nc_score_out=3*3*2=18
也就是对于每一种anchor,都有两种概率,前景概率,背景概率
'''
# define bg/fg classifcation score layer
self.nc_score_out = len(self.anchor_scales) * len(self.anchor_ratios) * 2 # 2(bg/fg) * 9 (anchors)
# 这里又进行了一次1*1的卷积,得到18通道,代表上面说的18个类
self.RPN_cls_score = nn.Conv2d(512, self.nc_score_out, 1, 1, 0)
# 这里是回归层,9个anchor每个有4个坐标,所以4*9,同样进行1*1卷积
# define anchor box offset prediction layer
self.nc_bbox_out = len(self.anchor_scales) * len(self.anchor_ratios) * 4 # 4(coords) * 9 (anchors)
self.RPN_bbox_pred = nn.Conv2d(512, self.nc_bbox_out, 1, 1, 0)
# 这里定义了推荐层
# 处理掉了很多不符合规定的anchors
# define proposal layer
self.RPN_proposal = _ProposalLayer(self.feat_stride, self.anchor_scales, self.anchor_ratios)
# 这里结合了gt的信息,把和GT的IOU值太低的也去掉了
# define anchor target layer
self.RPN_anchor_target = _AnchorTargetLayer(self.feat_stride, self.anchor_scales, self.anchor_ratios)
# 回归和分类的loss都初始化为0
self.rpn_loss_cls = 0
self.rpn_loss_box = 0
# 这个是代表可以不用实例化这个对象就可以调用里面的方法
@staticmethod
# 这就是一个reshape函数,把x的第二维设置为d,第三维设置为原来的第二第三维乘积/d
def reshape(x, d):
input_shape = x.size()
x = x.view(
input_shape[0],
int(d),
int(float(input_shape[1] * input_shape[2]) / float(d)),
input_shape[3]
)
return x
def forward(self, base_feat, im_info, gt_boxes, num_boxes):
# base_feat是上一个提取特征操作提取出的特征图
batch_size = base_feat.size(0)
# return feature map after convrelu layer
# 使用卷积通道数变成512,并用relu进行激活
rpn_conv1 = F.relu(self.RPN_Conv(base_feat), inplace=True)
# get rpn classification score
rpn_cls_score = self.RPN_cls_score(rpn_conv1)
# reshape一下,让他第二个维度等于2
rpn_cls_score_reshape = self.reshape(rpn_cls_score, 2)
# 然后在他的第二个维度进行softmax得到前景背景的概率
rpn_cls_prob_reshape = F.softmax(rpn_cls_score_reshape, 1)
# 在把他reshape回来
rpn_cls_prob = self.reshape(rpn_cls_prob_reshape, self.nc_score_out)
# 这里得到4*9=36个方式上的bbox偏移量
# get rpn offsets to the anchor boxes
rpn_bbox_pred = self.RPN_bbox_pred(rpn_conv1)
# 默认值就是TRAIN
# proposal layer
cfg_key = 'TRAIN' if self.training else 'TEST'
# 这里是第一步筛选,把评分比较低的,以及越界的都去掉了
# 经过筛选和NMS得到2000个待选框(bs, 2000, 5)
rois = self.RPN_proposal((rpn_cls_prob.data, rpn_bbox_pred.data,
im_info, cfg_key))
self.rpn_loss_cls = 0
self.rpn_loss_box = 0
# 生成训练的标签以及计算损失
# generating training labels and build the rpn loss
if self.training:
assert gt_boxes is not None
# 得到二次筛选后的proposals
rpn_data = self.RPN_anchor_target((rpn_cls_score.data, gt_boxes, im_info, num_boxes))
# 转换为(bs, anchors数量, 2)
# compute classification loss
rpn_cls_score = rpn_cls_score_reshape.permute(0, 2, 3, 1).contiguous().view(batch_size, -1, 2)
# 返回每个anchor是属于背景还是前景的label
rpn_label = rpn_data[0].view(batch_size, -1)
# 取索引,首先不等于-1,然后非零的索引
rpn_keep = Variable(rpn_label.view(-1).ne(-1).nonzero().view(-1))
rpn_cls_score = torch.index_select(rpn_cls_score.view(-1,2), 0, rpn_keep)
# 这里是一个索引搜索,把rpn_keep索引里面的数都取出来赋值给rpn_label
rpn_label = torch.index_select(rpn_label.view(-1), 0, rpn_keep.data)
rpn_label = Variable(rpn_label.long())
# 计算两者交叉熵得到损失
self.rpn_loss_cls = F.cross_entropy(rpn_cls_score, rpn_label)
# 计算了一下前景的数量
fg_cnt = torch.sum(rpn_label.data.ne(0))
# 计算回归的损失
rpn_bbox_targets, rpn_bbox_inside_weights, rpn_bbox_outside_weights = rpn_data[1:]
# compute bbox regression loss
rpn_bbox_inside_weights = Variable(rpn_bbox_inside_weights)
rpn_bbox_outside_weights = Variable(rpn_bbox_outside_weights)
rpn_bbox_targets = Variable(rpn_bbox_targets)
# 使用smooth_l1_loss计算回归损失
self.rpn_loss_box = _smooth_l1_loss(rpn_bbox_pred, rpn_bbox_targets, rpn_bbox_inside_weights,
rpn_bbox_outside_weights, sigma=3, dim=[1,2,3])
return rois, self.rpn_loss_cls, self.rpn_loss_box
这里只是所有代码的理解和注释,但是对于RPN整体的理解还不够连贯,下一次再写一篇关于RPN具体如何实现的解读,把代码串联起来。。
最后
以上就是负责白云最近收集整理的关于最详细的Faster-RCNN代码解读Pytorch版 (二) RPN部分回顾1.bbox_transform.py2.proposal_layer.py3.anchor_target_layer.py4.proposal_target_layer_cascade.py5.rpn.py的全部内容,更多相关最详细的Faster-RCNN代码解读Pytorch版内容请搜索靠谱客的其他文章。
发表评论 取消回复