124. 二叉树中的最大路径和
难度:困难
路径 被定义为一条从树中任意节点出发,沿父节点-子节点连接,达到任意节点的序列。同一个节点在一条路径序列中 至多出现一次 。该路径 至少包含一个 节点,且不一定经过根节点。
路径和 是路径中各节点值的总和。
给你一个二叉树的根节点 root ,返回其 最大路径和 。
示例 1:

输入:root = [1,2,3]
输出:6
解释:最优路径是 2 -> 1 -> 3 ,路径和为 2 + 1 + 3 = 6
示例 2:

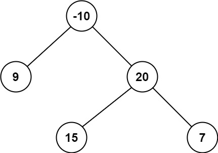
输入:root = [-10,9,20,null,null,15,7]
输出:42
解释:最优路径是 15 -> 20 -> 7 ,路径和为 15 + 20 + 7 = 42
提示:
- 树中节点数目范围是
[1, 3 * 104] -1000 <= Node.val <= 1000
# Definition for a binary tree node.
# class TreeNode:
# def __init__(self, val=0, left=None, right=None):
# self.val = val
# self.left = left
# self.right = right
class Solution:
result = float("-inf")
def maxPathSum(self, root: TreeNode) -> int:
def func(node):
if not node:
return 0
left = func(node.left)
right = func(node.right)
self.result = max(self.result,max(left,0)+max(right,0)+node.val)
return max(left,right,0) + node.val
func(root)
return self.result
最后
以上就是简单小笼包最近收集整理的关于[LeetCode]124. 二叉树中的最大路径和的全部内容,更多相关[LeetCode]124.内容请搜索靠谱客的其他文章。
本图文内容来源于网友提供,作为学习参考使用,或来自网络收集整理,版权属于原作者所有。
发表评论 取消回复