频域上的图神经网络
之前时域上之所以不对数据和卷积一样做卷积处理,是因为在图神经网络中,各个节点都不规范,没办法引用规范的卷积核进行卷积操作。
这里我们可以把这一理念在频域中运用。
我们知道,在时域中卷积就等于在频域中相乘,这个奠定了在神经网络可以定义在频域的基础。
因此在频域上图神经网路就是把数据先transform到频域上,用filter处理,然后再转回到空域的过程。
首先是一些必备知识
1、

2、定义adjacency matrix和degree matrix

定义Graph Laplacian,注意这是一个半正定的对称阵,可以对其进行特征分解,其中u是单位正交矩阵。

例:(注,求Graph Lanplacian的过程与每个节点具体的数据没有关系,只与图的结构有关)

3、引出频率


这两张图的意义是,首先我们将拉普拉斯矩阵乘以node组成的“向量”,具体意义是得到节点与周围节点之间差距的大小,拉普拉斯矩阵本身的意义也是如此。
频率有能量的意义的,因此这里取平方,得到第二张图。
4、得到频率

这里解释了频率和波形平滑度之间的关系

这里呢我们将L特征分解得到的特征向量看做是一组信号值,因此第一个公式就代表这个节点周围的差异(能量值)。
因此对应的每个特征值就是频率,而特征向量的具体数值就是对应频率下每个位置的响应值(这里暂时不考虑正交的概念)
5、transform–分析
首先是分析
这里既考虑了正交概念,又考虑了频率的因素。

5、transform–合成
这里合成就是普通的频域到时域的转化
将各个频域的频率乘以各自在频域的响应值,然后加和。

6、transform–filter


这里是对角矩阵的函数(也就是是特征是的函数)指的是,theta是与特征值一一对应的。
7、最终形态
最终就是要学一个拉普拉斯函数

比如
或者

但是这都有一个问题就是,就算复杂度和node的数目成正比,而不是想卷积神经网络那样。
这里表示L的n次放代表与与节点距离为n的节点对他的影响
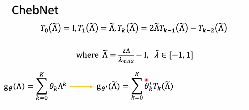
8、应用—ChebNet
解决两个问题
第一,选用与之相关的K个节点
第二、降低计算复杂度
对于第一个问题,可以这样解决

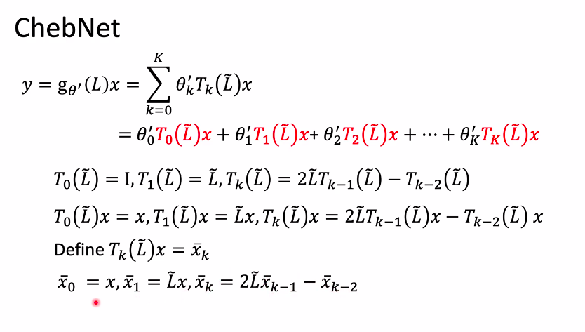
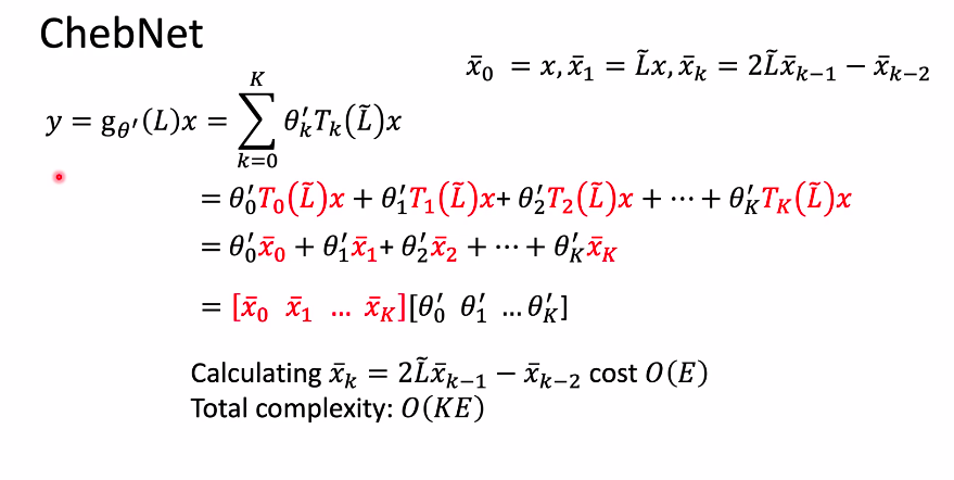
对于第二个问题,可用切比雪夫多项式解决
切比雪夫多项式是递归定义的多项式函数

切比雪夫不等式可以降低复杂度的原因

这样可以让计算轻松很多。


通过递归乘的方式让计算复杂度变成O(KE)。
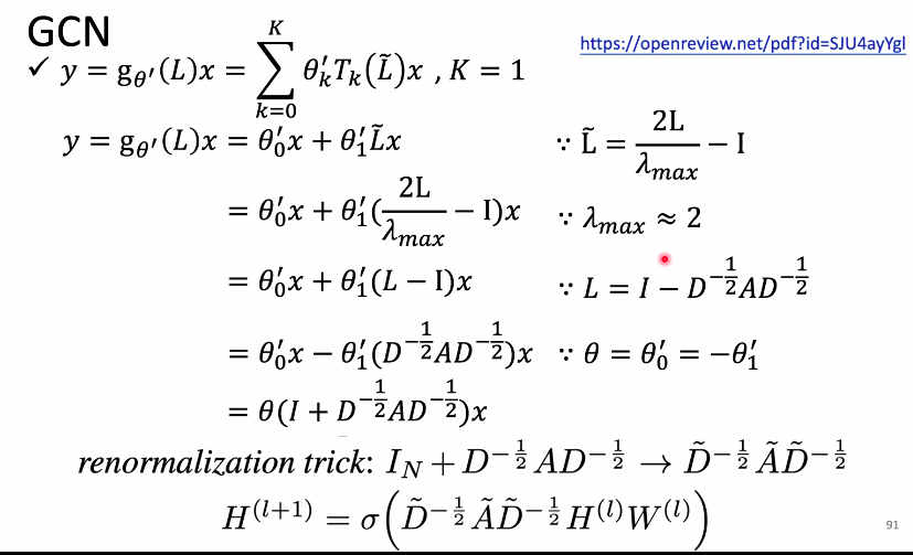
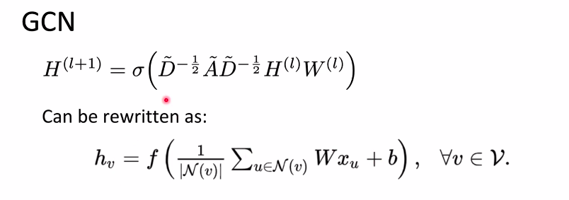
9、应用—GCN


最后
以上就是细心海燕最近收集整理的关于李宏毅机器学习|图神经网络Graph Nerual Networks(GNN)|学习笔记-part2频域上的图神经网络的全部内容,更多相关李宏毅机器学习|图神经网络Graph内容请搜索靠谱客的其他文章。
发表评论 取消回复