今天是周末,还在家里封闭中,转眼间已经被封了一个多月了。闲来无事,就做多写一篇,以解心中的郁闷之情。上一篇主要讲述的Meanshift跟踪算法,这一篇写写Camshift跟踪算法。
1.什么是Camshift跟踪算法
Camshift算法是由Mean Shift算法发展而来的,是一种通过爬升概率分布梯度来获得最近主峰的无参的方法。针对动态概率分布,对视频序 列中的所有帧做Meanshift运算,并将上一帧的运算结果作为下一帧搜索窗口的初始值,如此迭代下去。就可以实现动态目标的跟踪。
2.Camshift跟踪算法原理
假设I(x,y)是概率分布图像在点(x,y)处的值,搜索窗口大小w,搜索窗口的形心可以通过如下公式获得:
![]()
其中,第0和第1阶矩为:

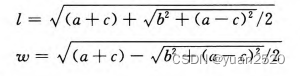
区域的长度和宽度可以表示为:

其中,

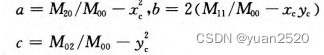
二阶矩可以表示为:

Camshift算法的一般步骤如下:
(1)手动选取需要跟踪的目标区域,计算方向投影图;
(2)利用Meanshift方法查找目标,获取目标 的最优搜索窗口;
(3)放大包围目标的窗口,获得新的搜索窗
(4)由窗口获取子图,计算子图的零阶矩
(5)计算目标中心
(6)自适应搜索目标窗口的长、宽和方向。
最后
以上就是英勇金鱼最近收集整理的关于无人驾驶感知篇之目标跟踪(三)的全部内容,更多相关无人驾驶感知篇之目标跟踪(三)内容请搜索靠谱客的其他文章。
本图文内容来源于网友提供,作为学习参考使用,或来自网络收集整理,版权属于原作者所有。
发表评论 取消回复