题目所属分类
类似链表的快排
原题链接
给你一个链表的头节点 head 和一个特定值 x ,请你对链表进行分隔,使得所有 小于 x 的节点都出现在 大于或等于 x 的节点之前。
你应当 保留 两个分区中每个节点的初始相对位置。

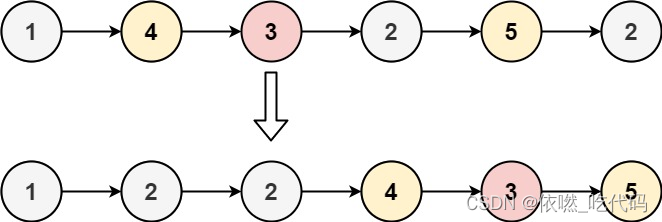
代码案例:输入:head = [1,4,3,2,5,2], x = 3
输出:[1,2,2,4,3,5]
题解

/**
* Definition for singly-linked list.
* public class ListNode {
* int val;
* ListNode next;
* ListNode() {}
* ListNode(int val) { this.val = val; }
* ListNode(int val, ListNode next) { this.val = val; this.next = next; }
* }
*/
class Solution {
public ListNode partition(ListNode head, int x) {
ListNode before = new ListNode(0);
ListNode after = new ListNode(0);
ListNode p = before ;
ListNode q = after ;
for(ListNode a = head ; a != null ; a= a.next){
if(a.val < x){
p = p.next = a ;
}else{
q = q.next = a ;
}
}
p.next = after.next ;
q.next = null ;
return before.next;
}
}
模拟
1、枚举整个链表,若当前元素小于 x,则加入到small链表中,若当前元素大于等于 x,则加入到big链表中,使得元素以x分类
2、将small的末尾元素指向big的开头元素
3、将big的末尾元素指向null
4、返回small.next
/**
* Definition for singly-linked list.
* public class ListNode {
* int val;
* ListNode next;
* ListNode(int x) { val = x; }
* }
*/
class Solution {
public ListNode partition(ListNode head, int x) {
ListNode small = new ListNode(0);
ListNode big = new ListNode(0);
ListNode p = head;
ListNode ps = small;
ListNode pb = big;
while(p != null)
{
if(p.val < x)
{
ps.next = p;
ps = ps.next;
}
else
{
pb.next = p;
pb = pb.next;
}
p = p.next;
}
pb.next = null;
ps.next = big.next;
return small.next;
}
}
最后
以上就是拼搏冬瓜最近收集整理的关于leetcode 86. 分隔链表-java实现题目所属分类原题链接的全部内容,更多相关leetcode内容请搜索靠谱客的其他文章。
本图文内容来源于网友提供,作为学习参考使用,或来自网络收集整理,版权属于原作者所有。
发表评论 取消回复