做FFT变换时,我们一般会取N个点来做FFT变换,得到N个变换后的系数,也称之为频谱系数。在离散时间傅里叶变换中,频谱系数是周期函数,以2pi(注:pi指的是圆周率3.1415926)为周期。 频谱的分辨率是 2pi/N. 假设采样率是fs,那么,这个2pi/N与fs有什么关系?对应实际频率来讲,其频率的分辨率是多少赫兹的? 我们从对连续函数采样的公式来推导:

这是连续傅里叶变换中用到的基函数(用于xt在上面做分解,投影,映射)。对这个函数,按照fs的采样率采样N个点,公式如下:

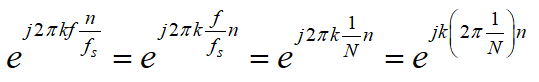
其中n属于[0,N). 这N个点用来直接做FFT,隐含着其周期就是N个点,这N个点一直在循环往复。所以,

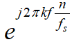
中的t,在一个周期T内采样,T是等于N1/fs这么长的时间。 T = N * 1/fs 所以,e^(j2pikft)中的f就等于 1/T,进而等于fs/N: f=fs/N,所以,f/fs = 1/N 再来进一步推导:

所以,离散后,频谱分辨率是2pi/N,即基频是这个。harmonic频率是这个频率的k倍,k在[0,N-1]区间内。 而对应的连续函数,其基频是f,即1/T,即fs/N. 基频是fs/N. 所以,2*pi/N这个基频,对应的实际频率是fs/N.
补充:
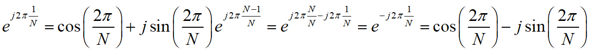
离散傅里叶变换,如果取[0:2pi)这个周期,则幅度是以pi为中心对称的。 e^(j2pi1*/N)
与 e^(j2pi*(N-1)/N) 的幅度相等,相位不同。 
补充二:(来自这个博客:http://www.cnblogs.com/sddai/p/5513407.html) 4种频率及其数量关系

4种频率及其数量关系
实际物理频率表示AD采集物理信号的频率,fs为采样频率,由奈奎斯特采样定理可以知道,fs必须≥信号最高频率的2倍才不会发生信号混叠,因此fs能采样到的信号最高频率为fs/2。 角频率是物理频率的2pi倍,这个也称模拟频率。 归一化频率是将物理频率按fs归一化之后的结果,最高的信号频率为fs/2对应归一化频率0.5,这也就是为什么在matlab的fdtool工具中归一化频率为什么最大只到0.5的原因。 圆周频率是归一化频率的2pi倍,这个也称数字频率。
最后
以上就是顺心缘分最近收集整理的关于N个点FFT变换中的频率分辨率以及与实际频率的关系的全部内容,更多相关N个点FFT变换中内容请搜索靠谱客的其他文章。
发表评论 取消回复