频域分析:
| 周期信号 | 非周期信号 |
| 频谱(离散) | 频谱密度(也称频谱,连续) |
| 功率谱密度 | 能量谱密度 |
周期信号and非周期信号幅度谱都是偶函数。
一、功率(周期)信号的频谱
认为周期信号为功率信号、非周期信号为能量 信号
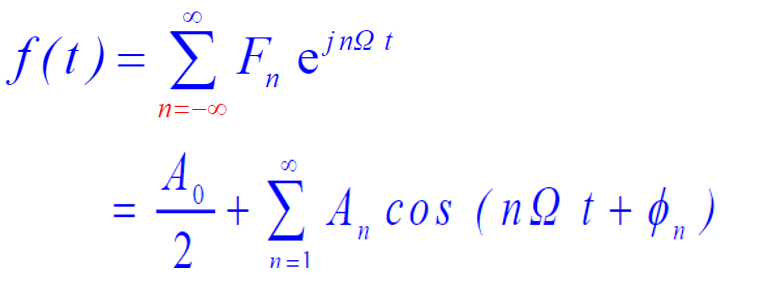
1.1周期信号的虚指数/三角傅里叶级数:

其中,
1.2 意义:从频域上看,周期信号是由其所有频率分量叠加而成,并且这些频域分量都是周期信号频率的整数倍,傅里叶级数的作用就是算出这些不同的频率分量的幅度和相位。
从时域上看,周期函数是有其不同频率分量对应的正弦函数叠加而成,因为单个频率分量对应的时域信号为正弦函数。
1.3所以,周期信号的频域分析就是分析频谱:幅度谱和相位谱。两种完备集对应的频谱关系如下:
(1)三角函数:频谱都是单边谱

(2)虚指数 :频谱都是双边谱
幅度谱:关于纵轴对称是偶函数,正频率和负频率的幅度大小只有单边谱An的一半,直流分量单边谱双边谱一致;
相位谱:奇函数,相位大小与单边谱相位谱一样,只不过多了对称的负频率部分。

二、功率(周期)信号的功率谱密度
周期信号由于能量无限,所以没有能量谱,只有功率谱
三.能量(非周期)信号频谱密度
非周期信号的频域用傅里叶变换分析:
2.1为什么是频谱密度,不是频谱?
因为非周期信号之所以利用FT是因为其傅里叶级数都趋于0(非周期信号=周期趋于无穷的周期信号,所以其复傅里叶系数Fn=0,所以傅里叶级数无法反映非周期信号不同频率分量间的大小关系),所以采用傅里叶变换,放大不同频率分量间的大小关系,而且其频谱是连续函数,只可表示其密度。
2.2


2.3 特点:周期信号和非周期信号频谱都是正频率与负频率模偶对称,相位奇对称。
2.4FT
引入冲激函数后,周期信号的频谱可以用FT分析,各谐波频率分量处幅度为∞,用冲激函数表示

四.能量(非周期)能量谱密度
即FT的平方
五.自相关函数
功率信号的自相关函数与功率谱是一对傅里叶变换对,可以通过求自相关函数的FT求功率谱密度。
能量信号的自相关函数与能量谱是一对傅里叶变换对,可以通过求自相关函数的FT求能量密度。
最后
以上就是精明秀发最近收集整理的关于连续信号频域分析:功率信号的频谱与能量信号频谱密度的全部内容,更多相关连续信号频域分析:功率信号内容请搜索靠谱客的其他文章。
发表评论 取消回复