上次说到linear interpolation(这可能是一部连续剧吧,哈哈)。
bilinear interpolation 是先在一个方向用linear interpolation。再在另外一个方向用linear interpolation。虽然每一步在采样值和方向上都是线性的。但是整体不是线性的。
看算法:
如果我们不知道 function f 上的点p(x,y)。但是我们知道f上其他的四个点。Q11 = (x1, y1), Q12 = (x1, y2), Q21 = (x2, y1), and Q22 = (x2, y2).

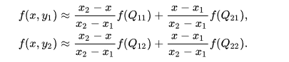
先在x方向上进行linear interpolation

从而求到R1,R2
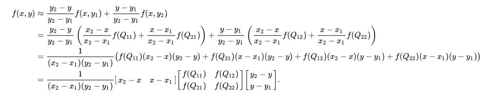
再到y方向进行linear interpolation

其中只有x和y未知因此求出f。
总结x,y方向用linear interpolation就可以求得f。下一篇过一下nearest-neighbor 。
最后
以上就是默默小鸽子最近收集整理的关于插值(二)Bilinear interpolation(双线性插值)的全部内容,更多相关插值(二)Bilinear内容请搜索靠谱客的其他文章。
本图文内容来源于网友提供,作为学习参考使用,或来自网络收集整理,版权属于原作者所有。
发表评论 取消回复