Toggle navigation
首页
博客
下载
AI
科技
互联网
会员
中心
会员中心
发布资讯
发布博文
发布资源
首页
文章中心
人工智能
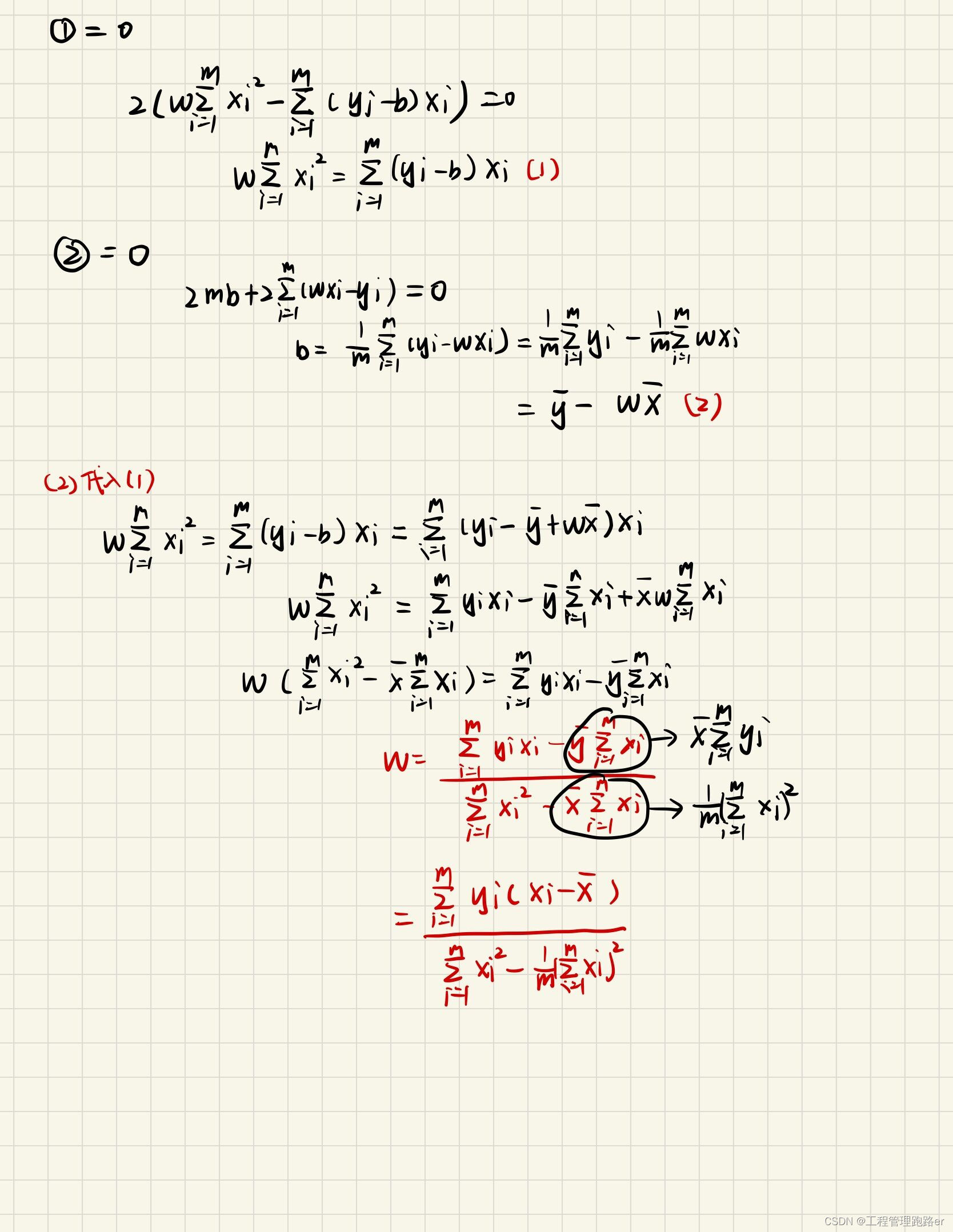
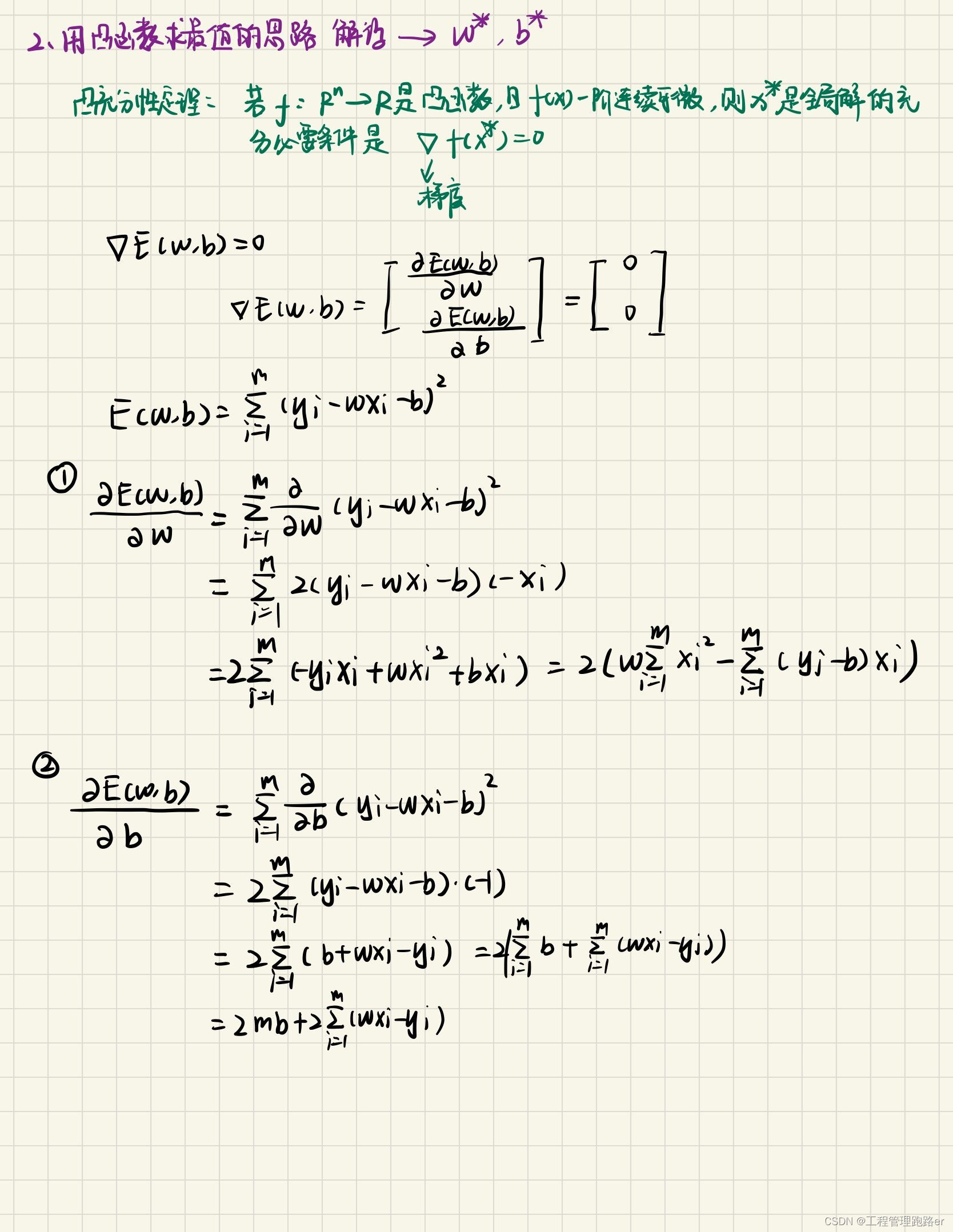
西瓜书 第三章 线性模型 学习笔记
236 阅读
0 评论
156 点赞
我是
靠谱客
的博主
想人陪凉面
,这篇文章主要介绍
西瓜书 第三章 线性模型 学习笔记
,现在分享给大家,希望可以做个参考。
最后
以上就是
想人陪凉面
最近收集整理的关于
西瓜书 第三章 线性模型 学习笔记
的全部内容,更多相关
西瓜书
内容请搜索靠谱客的其他文章。
本图文内容来源于网友提供,作为学习参考使用,或来自网络收集整理,版权属于原作者所有。
点赞(
156
)
本文分类:
人工智能
浏览次数:
236
次浏览
发布日期:2023-09-06 21:20:38
本文链接:
https://www.kaopuke.com/article/k-p-k_14_uzo_10_f3_14__7__22_y.html
相关文章
《机器学习》西瓜书第三章线性模型笔记
西瓜书 第三章 线性模型笔记
西瓜书第三章线性模型(线性回归和对数几率回归)
西瓜书 第三章 线性模型 部分公式推导
西瓜书 第三章 线性模型 学习笔记
机器学习 周志华 第三章 推导详细过程
周志华《机器学习》第三章 - 线性模型1.1 基本形式1.2 线性回归
周志华《机器学习》学习笔记-线性模型周志华《机器学习》学习笔记
评论列表
共有
0
条评论
发表评论
取消回复
登录
注册新账号
立即
投稿
返回
顶部
发表评论 取消回复