● 包含平移的变换称作仿射变换, 3D 中 的仿射变换不能用 3*3 矩阵表达, 而是用4*4 矩阵来表达。
● 在旋转坐标系时, 物体上的点实际没有移动, 我们只是在另外一个坐标系中描述它的位置而已。
● 只需记住可以变换物体, 也可以变换坐标系, 这两种变换实际上是等价的, 将物体变换一个量 等价于 坐标系变换一个相反的量。
● 一般来说, 变换物体相当于以相反的量变换描述这个物体的坐标系
● 注意 : 当有多个变换时, 则需要以相反的顺序变换相反的量。 例如 : 将物体顺时针针旋转 20°, 扩大200%, 等价于将坐标系缩小200%, 再逆时针旋转20°
* 2D 旋 转*
● 在 2D 环境中,物体只能绕某个点旋转, 在2D 中绕原点旋转只有一个参数: 角度θ, 它描述了旋转量。 逆时针旋转经常(不是必须)被认为是正方向,顺时针方向是负方向。
3D 中绕坐标轴的选择
● 在 3D 场景中, 绕轴旋转而不是点(此时, 轴指的是旋转所绕的直线, 不一定是 笛卡尔坐标轴 x, y 或 z), 这里只讨论旋转轴穿过原点的情况,
● 绕轴旋转 θ°时, 必须知道哪个方向被认为 “正”, 哪个方向被认为 “负”, 左手坐标系定义此方向为左手法则。
● 最为常见的选择是绕某坐标轴的简单旋转, 比如绕 x 轴旋转。
缩放
● 如果在各方向上应用同比例的缩放, 并且沿原点“膨胀”物体, 那么就是均匀缩放。 均匀缩放可以保持物体的角度和比例不变,如果长度增加或减小因子k, 则面积增加或减小因子 k², 在3D中,体积的因子是 k³。
● 如果需要“挤压”或“拉伸”物体, 在不同的方向应用不同的因子即可, 这称作非均匀缩放。非均匀缩放时, 物体角度将发生变化。 视各方向缩放因子的不同, 长度、面积、体积的变化因子也各不相同
● 如果 | k | < 1, 物体将 “变短“, 如果 | k| >1, 物体将 “变长”。 如果 k=0, 就是正交投影。 如果 k<0 就是镜像, 应用非均匀缩放的效果类似于切变。 事实上,非均匀缩放和切变是很难区分的。
沿坐标轴的缩放
● 最简单的缩放方法是沿着每个坐标轴应用单独的缩放因子。 缩放时沿着垂直的轴(2D中)或平面(3D中)进行的。 如果每个轴的缩放因子相同,就是均匀缩放, 否则就是非均匀缩放。
● 在2D 中有两个缩放因子, kx 和ky。
● 3D 缩放矩阵公式如:

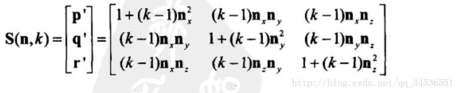
沿任意方向缩放
● 通过基向量构造矩阵,得到以单位向量n 为缩放方向, k 为因子的缩放矩阵:

● 以单位向量n 为缩放方向, k 为因子的3D 缩放矩阵如公式:

正交投影
● 一般来说, 投影意味着降维操作, 有一种投影方法是某个方向上用0 作为缩放因子, 在这种情况下, 所有点都被拉平至垂直的轴 (2D)或平面 (3D)上, 这种类型的投影称作 正交投影或者平行投影
● 最简单的投影方式是向坐标轴 (2D)或平面(3D)投影。 向坐标轴或平面投影在实际变换中不常发生, 大多数情况是向低维的变量赋值, 且要抛弃维数时,例如, 将3D 点赋值给 2D 点, 抛弃 z 分量, 只复制 x 和 y.
镜 像
● 镜像(也叫作反射)是一种变换, 其作用是将物体沿直线(2D中)或平面(3D中)“泛着”,
● 使缩放因子为-1就能够很容易地实现镜像变换, 注意 : 一个物体只能“镜像”一次, 如果再次镜像(当沿不同的轴或平面的时候), 物体将翻回“正面”。
切 变
● 切变是一种坐标系“扭曲”变换, 非均匀地拉伸它。 切变的时候角度会发生变化, 但令人惊奇的是面积和体积去保持不变。 基本思想是将某一坐标的乘积加到另一个上。
● 切变是一种很少用到的变换,它也被称作 扭曲变换。 包含切变与缩放(均匀或非均匀)的变换通常很容易与包含旋转与非均匀缩放(只能是非均匀)的变换发生混淆。
仿射变换
● 仿射变换是指线性变换后接着平移,仿射变换的集合是线性变换的超集, 任何线性变换都是仿射变换, 但不是所有仿射变换都是线性变换。
可逆变换
● 如果存在一个逆变换可以“撤销”原变换, 那么该变换是可逆的, 一个仿射变换就是线性变换加上平移, 显然,可以用相反的量“撤销”平移部分。 所以问题变为一个线性变换是否可逆。
● 因为任意线性变换都能表达为矩阵, 所以求逆变换等价于求矩阵的逆。
●如果矩阵是奇异的, 则变换不可逆; 可逆矩阵的行列式不为零。
等角变换
● 如果变换前后两向量夹角的大小和方向都不改变,改变换是等角的。 只有平移, 旋转和均匀缩放是等角变换。 等角变换将会保持比例不变。 镜像并不是等角变换, 因为尽管两向量夹角的大小不变,但夹角的方向改变了。 所有等角变换都是仿射和可逆的。
正交变换
● 正交变换的基本思想是轴保持互相垂直, 而且不进行缩放变换。 正交变换很有意思, 因为很容易求出 它的逆
● 平移、旋转和镜像是仅有的正交变换。 长度、角度、面积和体积都保持不变。(尽管如此,但因为镜像变换被认为是正交变换,所以一定要密切注意角度、面积和体积的准确定义)。
● 所以正交矩阵都是仿射和可逆的。
刚体变换
● 刚体变换只改变物体的位置和方向, 不包括形状。 所有长度、角度、面积和体积都不变。平移和旋转是仅有的刚体变换, 镜像并不被认为是刚体变换
● 刚体变换也被称作正规变换。所以刚体变换都是正交、等角、可逆和仿射的。
● 某些刚体变换旋转矩阵的行列式为1。
最后
以上就是明理板栗最近收集整理的关于第8章 矩阵和线性变换的全部内容,更多相关第8章内容请搜索靠谱客的其他文章。
发表评论 取消回复