我是靠谱客的博主 简单小蘑菇,这篇文章主要介绍计算单应性矩阵 python_巧用python的矩阵运算来进行电路的计算和分析多元一次方程组矩阵运算,现在分享给大家,希望可以做个参考。

多元一次方程组

早在初中时,我们就学习过多元一次方程组的求程。

所谓多元一次组指的是含有有个未知数,并且含有未知数的项的次数都是1方程组。

一个简单的例子:

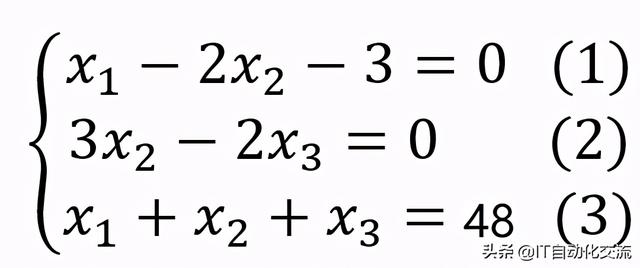
学校的篮球数比排球数的2倍多3个,足球数与排球数的比是2:3,三种球共48个,求三种球各有多少?

假设篮球个数为x1,排球个数为x2,足球个数为x3,

根据题目有以下的关系式成立:

8f5157409017bd52a352b9c7de6e43fd.png

图1. 多元一次方程组

对于多元一次方程组,最常用消元法来进行求解。

思路是经过各个方程组之间的线性运算,消去一些未知数,最终得到一个未知数的方程。

根据该方程解出未知数,再代回其它方程得到其它未知数的值。

整个过程非常繁琐,一不小心就会出错;

矩阵运算

在学习了矩阵运算之后,这一求解过程可以化为矩阵运算而大大简化;

跟初等数学里面学习的加、减、乘、除运算规则一样,伟大的数学家们也为矩阵运算制定了一些规则。

对于矩阵的加、减,限于文章篇幅,在此不作赘述。

对于矩阵的乘法,有以下的规则:

设有一个m行s列的矩阵表示为

最后

以上就是简单小蘑菇最近收集整理的关于计算单应性矩阵 python_巧用python的矩阵运算来进行电路的计算和分析多元一次方程组矩阵运算的全部内容,更多相关计算单应性矩阵内容请搜索靠谱客的其他文章。

本图文内容来源于网友提供,作为学习参考使用,或来自网络收集整理,版权属于原作者所有。
点赞(209)

评论列表共有 0 条评论

立即
投稿
返回
顶部