由于图片无法直接粘贴,还是转成整幅图片吧

也就说一个点可以得到两个方程,而x有9个参数8个自由度,也就是只需要求解8个参数。
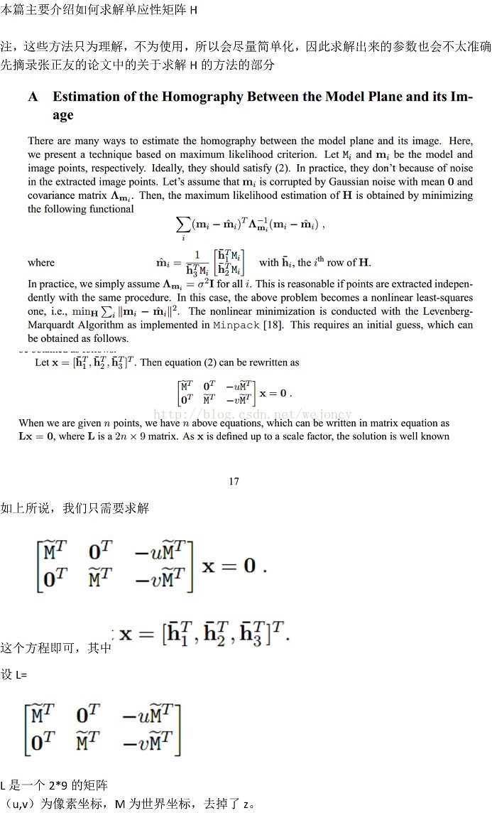
因此至少需要4个点,才能解出一个H,一般标定板上的点比较多,其他的点是为了优化H的,本文不谈。
Matlab 代码表示
SS(1:2:2*Np,1:3) = M';
SS(2:2:2*Np,4:6) = M';
SS(1:2:2*Np,7:9) =-((ones(3,1)*x1(1,:)).* M)';
SS(2:2:2*Np,7:9) =-((ones(3,1)*x1(2,:)).* M)';
Np表示几个点
那如何求解形如Ax=0的矩阵呢?
A是n*m的矩阵n<m;一般来说是无解的,或者只有零解
因此无法用求解线性方程组的方法来求解
最小二乘法就是来求这种方程的一种方法,求出来的解不可能完全满足方程,因此我们只能使得方程的误差尽量小
于是
[U,D,V] = svd(A);
%Extract homography
H = reshape(V(:,9),3,3)';
H就此求出
当然,在后面还需要对H进行优化,比如最大似然,等。
最后
以上就是强健唇膏最近收集整理的关于homography单应性求解的全部内容,更多相关homography单应性求解内容请搜索靠谱客的其他文章。
本图文内容来源于网友提供,作为学习参考使用,或来自网络收集整理,版权属于原作者所有。
发表评论 取消回复