子句集中子句之间是合取关系,只要有一个子句不可满足, 则子句集就不可满足。
鲁宾逊归结原理(消解原理)的基本思想:
检查子句集 S 中是否包含空子句,若包含,则 S 不可满足。
若不包含,在 S 中选择合适的子句进行归结,一旦归结出空子句,就说明 S 是不可满足的。
1. 命题逻辑中的归结原理(基子句的归结)
定义3.1(归结):设C1与C2是子句集中的任意两个子句,如果 C1中的文字L1与 C2中的文字L2互补,那么从C1和 C2中分别消去L1和L2,并将二个子句中余下的部分析取,构成一个新子句C12 。




定理3.2:归结式C12是其亲本子句C1与C2的逻辑结论。即如果 C1与C2为真,则C12为真。
推论1:设C1与C2是子句集S中的两个子句,C12是它们的归结式,若用C12代替C1与C2后得到新子句集S1,则由S1不可满足性可推出原子句集S的不可满足性,即:

推论2:设C1与C2是子句集S中的两个子句,C12是它们的归结式,若C12 加入原子句集S,得到新子句集S1,则S与S1在不可满足的意义上是等价的,即:

2. 谓词逻辑中的归结原理(含有变量的子句的归结)
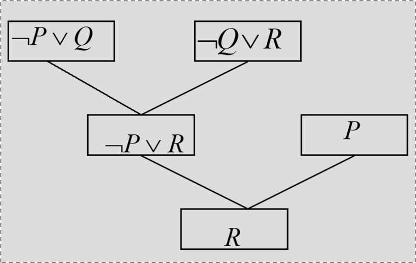
例:





对于谓词逻辑,归结式是其亲本子句的逻辑结论。
对于一阶谓词逻辑,即若子句集是不可满足的,则必存在一个从该子句集到空子句的归结演绎;若从子句集存在一个到空子句的演绎,则该子句集是不可满足的。
如果没有归结出空子句,则既不能说 S 不可满足,也不能说 S 是可满足的。
欢迎大家加我微信交流讨论(请备注csdn上添加)

最后
以上就是碧蓝橘子最近收集整理的关于鲁宾逊归结原理的全部内容,更多相关鲁宾逊归结原理内容请搜索靠谱客的其他文章。
本图文内容来源于网友提供,作为学习参考使用,或来自网络收集整理,版权属于原作者所有。
发表评论 取消回复