前言
在上篇文章中我们介绍了下通信系统,按照信道中传输的是模拟信号还是数字信号,通信系统可分为模拟通信系统和数字通信系统;此外我们还介绍了广播、点-点、单工通信、半双工通信、全双工通信、并行传输、串行传输这些通信方式。在这篇文章里,
上文链接:《通信原理》(1):初识通信原理
1.信息的度量:信息量
通信的目的在于传输信息,传输信息的多少可用“信息量”来进行衡量,信息量是对消息中“不确定性”的度量。
我们先来看个例子:
中国男子乒乓球队获得冠军
中国男子足球队获得冠军
显然,这两条信息发生的概率完全不同,一个接近1,一个几乎为0(狗头保命),那么哪条信息包含的信息量大呢?答案是第二条
消息中信息量与消息发生的概率相关,消息出现的概率越小,消息中包含的信息量就越大,且概率为零时(不可能发生事件)信息量为无穷大,概率为1时(必然事件)信息量为0。所以大家知道为什么第二条信息量更大了吧
现在我们用函数的方式来表示信息量I与消息出现概率P(x)之间的关系:

消息出现的概率越小,所含信息量越大,反之信息量越小:

若干个互相独立事件构成的消息,其所含信息量等于各独立事件信息量的和

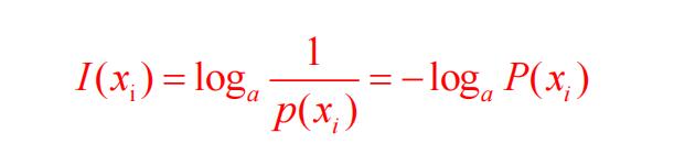
信息量I与消息出现的概率P(x)之间的关系为:

其中,信息量的单位与对数底数a有关:
- a=2时, 信息量的单位为比特(bit)
- a=e时, 信息量的单位为奈特(nit)
- a=10时,信息量的单位为叫哈特莱(hartley)
来看一道例题:
例:设不同进制离散信源,试计算二进制符号等概率(以相等的概率发送数字0或1)和多进制(M进制)等概率时每个符号的信息量

由此可以得到:
- 传送等概率的二进制波形之一的信息量为1比特
- 传送等概率的四进制波形之一的信息量为2比特
- 传送等概率的八进制波形之一的信息量为3比特
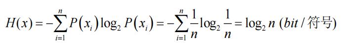
2.平均信息量
平均信息量等于各个符号信息量乘以各自出现的概率之和,描述每个符号所含信息量的统计平均值
设离散信源是一个由n个符号组成的符号集,每个符号xi(i=1,2,…,n)出现概率为P(xi),且ΣP(xi)=1, 则平均信息量为:

与热力学中的熵形式一样,所以称它为信息源的熵,单位为bit/符号
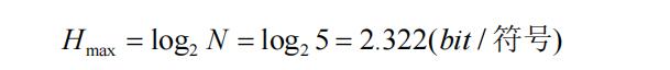
当离散信息源中的每个符号等概率出现时,而且各符号的出现为统计独立时,该信息源的信息量最大,此时最大熵(平均信息量)为:

下面来看两道例题:
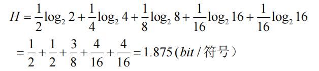
例1:设由5个符号组成的信息源,其相应概率为

试求信源的平均信息量
解:利用平均信息量公式得:

如果5个符号等概率出现时,平均信息量为:

可以看到平均信息量的确更大
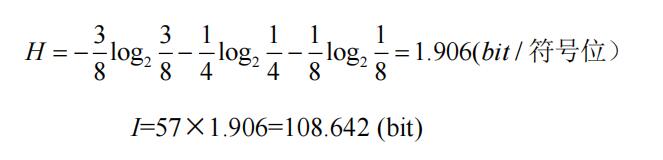
例2:设一离散信源由0, 1, 2, 3四个符号组成,它们出现的概率分别为3/8, 1/4, 1/4, 1/8,且每个符号的出现都是独立的。试求某消息201020130213001203210100321010023102002010312032100120210的信息量以及每个符号的平均信息量
解:
方法1:求消息中每个符号的个数,然后再乘以其信息量,最后求和

很明显,当符号数目巨大时,这种方法并不合适,一个一个的数工作量太大了
方法2:先求平均信息量,再乘以符号总数

可见,两种算法结果有一定误差,但当消息很长时,用熵的概念来计算比较方便,随着消息序列长度的增加,两种计算误差将趋于零
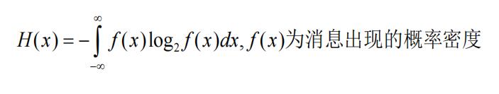
3.连续信号的信息量和信源熵
对于连续消息,信息论中有一个重要结论,就是任何形式的待传信息都可以用二进制形式表示而不失主要内容。
抽样定理告诉我们:一个频带受限的连续信号,可以用每秒一定数目的抽
样值代替,而每个抽样值可以用若干个二进制脉冲序列来表示。
因此,以上信息量的定义和计算同样适用于连续信号
信源熵(平均信息量):

最后
以上就是稳重小懒虫最近收集整理的关于《通信原理》(2):信息量及平均信息量前言1.信息的度量:信息量2.平均信息量3.连续信号的信息量和信源熵的全部内容,更多相关《通信原理》(2):信息量及平均信息量前言1.信息内容请搜索靠谱客的其他文章。
发表评论 取消回复