在NR的下行同步过程中,UE要先盲检到SSB,然后根据SSB找到对应的CORESET0,然后在CORESET0内盲检PDCCH,进而可以得到DCI信息,从而找到承载SIB1的PDSCH。
那如何根据SSB找到对应CORESET0?是通过MIB来指示RB对齐后的SSB和CORESET0频域下边界的偏移offset来实现的。具体是MIB中的PDCCH-ConfigSIB1来指示一个表格的index,例如下表,表中最后一列就是offset:

一直很好奇这些offset的取值为什么要定为这些,就去研究了一下当时的提案,发现这个offset的取值是三星主导的,具体的取值三星在RAN1 91会议上提交的提案中给出了解释:
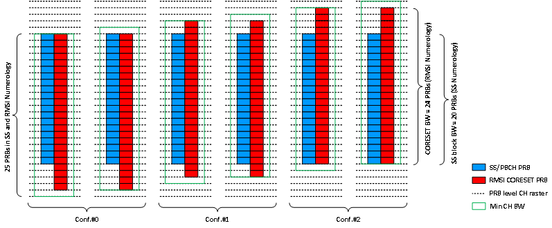
以下图为例,图中给出上表对应的情况:{SS/PBCH block, PDCCH} SCS is {15, 15} kHz for frequency bands with minimum channel bandwidth 5 MHz or 10 MHz。其中蓝色表示RB对齐后的SSB(并不是真正的SSB位置,因为SSB要和sync raster对齐,这里只是表示经过kssb之后RB对齐的SSB),红色表示24RB配置的CORESET0,绿色的方框表示5M带宽的位置,虚线表示RB对齐的channel raster。对于某一个固定频域位置的SSB,带宽的配置要保证可以将CORESET0和SSB包含在内,那么对于该SSB,遍历所有带宽可以配置的位置,offset的取值就要保证在任何SSB与带宽的频域位置组合情况下,都要可以有效指示出一个CORESET0。比如在左边第一个组合下,offset可以取4,第二个组合可以取3,4,第三个可以取2,3,…然后找尽量少但可以保证任何情况都可以指示的offset取值,所以就决定是0,2,4。这三个取值都是必要存在的。其余的情况下分析原理类似。

最后
以上就是帅气耳机最近收集整理的关于5G NR 决定CORESET0频域位置的offset取值由来的全部内容,更多相关5G内容请搜索靠谱客的其他文章。
发表评论 取消回复