????计数器分类
????按触发器动作分类
1.同步计数器
2.异步计数器
????同步计数器特点

????按编码数值增减分类
1.递增计数器
2.递减计数器
3.可逆计数器
????重要概念
模:计数器运行时,从某一状态开始,依次遍历不同的各个状态后完成一次循环,所经历的状态总数称为模

????例题
经历了六个不同的状态,所以模为6

????计数器设计
????注意:
计数器中需要一个置零端:RS,接在每一个计数器的R接口上

2.如何确定需要几个触发器:我们可以先确定电路中需要几个状态,比如需要3种状态的时候,就需要两位2进制位进行表示,而一个触发器可以表示一个二进制位,所以3种状态用两个触发器进行表示即可
????例题1

和时序逻辑电路的设计思路类似
????1.根据功能画出状态转换真值表(或者是转换图)

????2.结合卡诺氏图,根据次态为1时推出公式


????3.根据所选择的触发器特性方程,得出触发器的各个输入,画图


????4.检查自启动
肯定可以自启动,因为用三个触发器能表示8个状态,而所设计的器件就是一个8进制计数器,所以肯定能满足自启动
????例题2

同理就不说了
????检测自启动时
一直有一个无关项01,可以直接将01代入状态方程中,看转换出来的状态在不在三种状态之中
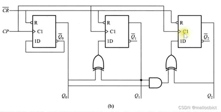
????计数器分析
????例题

????1.写表达式
????先写输出y
此题没有输出
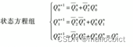
????再写驱动方程

????最后根绝驱动方程,带入触发器特征方程,写状态方程

????根据q,画出q的状态表(下图不太完善,应该再在右边加一个q)

????画状态转移图和波形图(略)
所以是一个5进制计数器
????计数器芯片

????接口含义
1.d0——d3是数据端
2.q0——q3是输出端
3.计数器记录的就是cp端口的脉冲数量
4.两个ct端口称为控制端,高电平有效,如果相与=0的话表示不工作,输出端保持不变
5.co称为进位端
6.cr称为清零端
7.LD置数端,放置的是d0——d3的数据

????需掌握的方法
????同步置数方法
????步骤:
1.两个控制端接1
2.cr接1,使清零端不工作
3.使d0——d3接地
4.将转换为n进制中的n减去1,即n-1用二进制的方法表示在q1——q3上(比如十进制的话,就是1001)
然后再把为1的值接入一个与非门后,连接到LD
????原理
首先,输入应该是0000(q3——q1),每次cp进行脉冲时,q3——q1+1,变为0001,与非过后LD依然为1,不工作,知道q3——q0=1001,即=9时,与非过后LD=0,置数端工作进行置数,但是置数是同步的,所以不会立即置数,而是要等到下一次时钟脉冲到来时才会置数,即变成0000
所以此器件每10个状态置数1次,所以可以实现十进制计数器功能
同步的意思是:十个状态都是稳定的

注意:数据端并不全是0000 ,做题时记得相应改变输出端
????进位输出置最小数法
和同步置数是一样的,进位端为1的话表示的意思就是Q0——Q1全部为1,然后加一个与非到LD

????步骤
1.置使能端为1
2.置CR为1
3.将进位端CO的输出加一个与非门连到LD
4.将D0——D3(置数)设置为1111-(n-1)
????原理
开始的时候Q0——Q3是0110,到1111刚好经历了10种状态,1111过后再遇到脉冲就进1位,即co=1,所以LD=0,此时置数端工作,使Q0——Q3变为0110
????异步清零法
为什么叫异步:因为当CR=0时,无论其他端口是什么都会被清零
????步骤

????原理
异步:假如取0——9的话,即参与与非运算的是1001(9),这时当输出为9的时候,CR清零端为0,开始工作,由于是异步的,所以当CR为0的一瞬间所有的输出都变成了0,所以这时计数器就只有8个状态,即0——8,所以计数器是不稳定的,所以最后一个状态不会取到,只会取到1001那个状态就返回0000

????例题:下图使几进制的计数器

因为使161使异步清零的,而且LD接的是1,所以该计数器使用的使清零方法
所以接入与非门的都是1,并且左边为低位,右边为高位,所以表示的二进制数为00110010=32+16+2=50,又因为50是异步不稳定的,所以此计数器是一个50进制的计数器
当芯片改为163时,其清零是同步清零,是稳定的,所以时51进制的计数器
????级联

最后
以上就是无心牛排最近收集整理的关于数电期末笔记????计数器分类????重要概念????计数器设计????计数器分析????计数器芯片的全部内容,更多相关数电期末笔记内容请搜索靠谱客的其他文章。
发表评论 取消回复