教育
-模拟电子技术基础-章节资料考试资料-华中科技大学【】
绪论测验题
1、【单选题】当输入信号频率为fL或fH时,放大电路电压增益的幅值约下降为通带内水平增益的 。
A、0.5倍
B、0.7倍
C、0.9倍
D、1倍
参考资料【 】
2、【单选题】某放大电路在负载开路时的输出电压为4V,接入3kW的负载电阻后,输出电压为3V。说明放大电路的输出电阻为 。
A、10 kW
B、2 kW
C、1kW
D、0.5kW
参考资料【 】
3、【单选题】已知某信号源内阻为1kW,未接放大电路时测得信号源电压为10mV,接入放大电路后测得放大电路输入端口电压为8mV,说明放大电路的输入电阻为 。
A、5 kW
B、4 kW
C、2kW
D、1kW
参考资料【 】
4、【单选题】已知某放大电路的最大不失真输出电压范围是-10V~+10V,若放大电路的通带电压增益是40dB,则放大电路不失真放大时的输入电压范围是 。
A、-0.1V~+0.1V
B、-0.25V~+0.25V
C、-0.5V~+0.5V
D、-1.0V~+1.0V
参考资料【 】
5、【判断题】信号不失真的放大在时域中表现为任何一点的幅值放大的程度完全相同。
A、正确
B、错误
参考资料【 】
6、【判断题】只要放大电路的传输特性曲线是线性的,就不会出现失真现象。
A、正确
B、错误
参考资料【 】
7、【判断题】用放大电路放大正弦波信号时,只有可能出现非线性失真,不可能出现频率失真。
A、正确
B、错误
参考资料【 】
8、【判断题】放大电路的增益只能保证在一定频率范围内与频率无关。
A、正确
B、错误
参考资料【 】
9、【判断题】放大电路中的符号“^”表示接大地的“地”。
A、正确
B、错误
参考资料【 】
10、【判断题】放大电路输出信号增加的能量来自放大电路的工作电源。
A、正确
B、错误
参考资料【 】
11、【判断题】同一个放大电路对不同信号源或带不同负载时,实际的放大能力常常是不同的。
A、正确
B、错误
参考资料【 】
12、【判断题】放大电路只有电压增益、电流增益、互阻增益和互导增益四种增益形式。
A、正确
B、错误
参考资料【 】
运算放大器测验题
1、【单选题】理想运算放大器的参数是开环电压增益Avo = ,输入电阻ri = ,输出电阻ro = 。
A、0,∞,∞
B、∞,0,∞
C、∞,0,0
D、∞,∞,0
参考资料【 】
2、【单选题】 放大电路中,运算放大器的反相输入端为虚地,而 放大电路中,运算放大器的两个输入端对地电压是不为零的。
A、同相,反相
B、反相,同相
C、同相,同相
D、反相,反相
参考资料【 】
3、【单选题】欲将方波电压转换为三角波电压,应选用 。
A、反相输入式放大电路
B、同相输入式放大电路
C、积分运算电路
D、微分运算电路
E、加法运算电路
参考资料【 】
4、【单选题】欲将方波电压转换为尖脉冲电压,应选用 。
A、反相输入式放大电路
B、同相输入式放大电路
C、积分运算电路
D、微分运算电路
E、加法运算电路
参考资料【 】
5、【单选题】欲将输入电压信号放大-100倍,应选用 。
A、反相输入式放大电路
B、同相输入式放大电路
C、积分运算电路
D、微分运算电路
E、同相加法运算电路
参考资料【 】
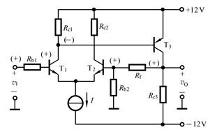
6、【单选题】电路如图8所示,假设运算放大器是理想的,则图(a)Av = vO/vI = ,Ri = ;图(b)Av = vO/vI = ,Ri = 。
A、图(a)Av =11,Ri =1 kΩ;图(b)Av=1;Ri =1 kΩ
B、图(a)Av = -10,Ri =1 kΩ;图(b)Av=1;Ri =1 kΩ
C、图(a)Av = 11,Ri =1 kΩ;图(b)Av=1;Ri =∞
D、图(a)Av = -10,Ri =1 kΩ;图(b)Av=1;Ri =∞
参考资料【 】
7、【单选题】电路如图9所示,假设运算放大器为理想的,那么vO = f(vI) = 。<img src="http://nos.netease.com/edu-image/C48CC12C3E86B711FAC1FE2C084150CF.jpg?imageView
A、
B、
C、
D、
参考资料【 】
8、【单选题】理想运算放大器构成的电路如图10所示,<img src="http://nos.netease.com/edu-image/8A6BDF9063CEC7592D7B017765D775F2.jpg?imageView<img src="http://nos.netease.com/edu-image/E29AE0F8A69692B23B4E3822328315B9.jpg?imageView
A、
B、
C、
D、
参考资料【 】
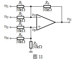
9、【单选题】加减法运算电路如图11所示,设运算放大器是理想的,则输出电压和输入电压的关系式为 。
A、
B、
C、
D、
参考资料【 】
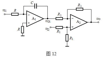
10、【单选题】电路如图12所示,假设运算放大器均为理想的,则
= 。
A、
B、
C、
D、
参考资料【 】
11、【单选题】电路如图13所示,开关S闭合时电路增益<img src="http://nos.netease.com/edu-image/D6E150D542EDA96B41E551D331860E95.jpg?imageView<img src="http://nos.netease.com/edu-image/4A8ABBDC354D5188E4735B4314B5617D.jpg?imageView
A、
B、
C、
D、
参考资料【 】
12、【判断题】在运算放大器构成的线性运算电路中一般均引入负反馈。
A、正确
B、错误
参考资料【 】
13、【判断题】在线性运算电路中,集成运放的反相输入端均为虚地。
A、正确
B、错误
参考资料【 】
14、【判断题】集成运放在开环情况下一般都工作在非线性区。
A、正确
B、错误
参考资料【 】
15、【判断题】放大电路中的运算放大器只要是理想的,就一定存在虚短和虚断。
A、正确
B、错误
参考资料【 】
16、【判断题】电压跟随器的电压增益为1,所以其对信号放大没有贡献。
A、正确
B、错误
参考资料【 】
二极管及其基本电路测验题
1、【单选题】半导体中空穴的移动实际上反映了半导体中 的移动。
A、自由电子
B、共价键中价电子
C、正离子
D、负离子
参考资料【 】
2、【单选题】N型半导体中的多数载流子是 ,而P型半导体中的多数载流子是 。
A、自由电子,空穴
B、空穴,自由电子
C、自由电子,正离子
D、空穴,负离子
E、空穴,正离子
F、自由电子,负离子
参考资料【 】
3、【单选题】PN结内电场方向是由 。
A、N区指向P区
B、P区指向N区
C、不确定
D、与外加电压有关
参考资料【 】
4、【单选题】PN结正偏是指 。
A、N区电位高于P区
B、P区电位高于N区
C、P区和N区电位相等
D、与外加电压无关
参考资料【 】
5、【单选题】二极管正偏时应重点关注 ,反偏时应重点关注 。
A、导通电流和耗散功率,最大反向电压
B、最高工作频率,最大反向电压
C、最高工作频率,导通电流和耗散功率
D、结电容,最高工作频率
E、最大反向电压,结电容
参考资料【 】
6、【单选题】齐纳二极管正常稳压时,工作在 状态。
A、正向导通
B、反向截止
C、反向击穿
D、放大
参考资料【 】
7、【单选题】点亮发光二极管应加 ,光电二极管正常工作时应加 ,变容二极管正常工作时应加 。
A、正偏电压,反偏电压,反偏电压
B、正偏电压,反偏电压,零偏压
C、反偏电压,正偏电压,正偏电压
D、反偏电压,正偏电压,反偏电压
E、正偏电压,正偏电压,反偏电压
参考资料【 】
8、【单选题】已知某二极管处于正向导通状态,其导通电流为0.5 mA,那么,此时二极管在室温(300K)下的小信号模型参数rd = 。
A、19.2 kΩ
B、1 kΩ
C、52 kΩ
D、52 Ω
参考资料【 】
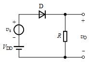
9、【单选题】设简单硅二极管基本电路如图所示,已知R = 1kW。当VDD =10V时,分别应用理想模型和恒压降模型,求得的电流ID分别为 和 ;当VDD =1V时,再分别应用理想模型和恒压降模型,求得的电流ID分别为 和 。
A、10mA,9.3mA; 1mA,0.3mA
B、10mA,1mA;9.3mA,3mA
C、1mA,0.93mA;0.1mA,0.03mA
D、10mA,0.93mA;1mA,0.03mA
参考资料【 】
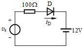
10、【单选题】12V电池的充电电路如图所示,用二极管理想模型分析,若vs是振幅为24V的正弦波,则二极管流过的峰值电流为 ,二极管两端的最大反向电压为 。
A、240mA,24V
B、120mA,12V
C、120mA,36V
D、360mA,36V
参考资料【 】
11、【单选题】电路如图所示,若vs是有效值为220V的正弦波电压,RL = 100W,二极管采用理想模型分析,则二极管的最高反向工作电压为 ,整流电流应为 。
A、220V,0.99A
B、220V,2.2A
C、
D、
参考资料【 】
12、【单选题】电路如图所示,D1,D2为硅二极管,当vs = 6sinwt V时,用恒压降模型分析电路时,输出电压vO的波形是 。
A、
B、
C、
D、
参考资料【 】
13、【单选题】二极管电路如图所示。输入电压只有0V或5V两个取值。利用二极管理想模型分析,在vI1和vI2电压的不同组合情况下,输出电压vO的值是 。<img src="http://nos.netease.com/edu-image/273E9BA1EA912445FD5463A68960164D.jpg?imageView
A、vO的a列
B、vO的b列
C、vO的c列
D、vO的d列
参考资料【 】
14、【单选题】电路如图所示,D为硅二极管,若VDD = 2 V,R = 1 kW,正弦信号vs=50sin(2p´50t) mV。则静态(即vs= 0)时,二极管中的静态电流为 ,vO的静态电压 ;动态时,vO的交流电压振幅为 。
A、2mA,2V;0.05V
B、1.3mA,1.3V;0.05V
C、2mA,2V;0.049V
D、1.3mA,1.3V;0.049V
参考资料【 】
15、【单选题】稳压电路如图所示。若VI =10V,R =100W,齐纳二极管的VZ =5V,IZ(min)=5mA,IZ(max)=50mA,那么负载RL的变化范围是 。<img src="http://nos.netease.com/edu-image/AB2994D7862B32F3600B8E1CB57E98DF.jpg?imageView
A、大于111W
B、小于111W
C、大于111kW
D、小于111kW
参考资料【 】
16、【判断题】半导体二极管温度升高时,将明显增大由本征激发出的少数载流子的浓度,因此对二极管反向截止特性会产生更明显的影响。
A、正确
B、错误
参考资料【 】
17、【判断题】对于实际的二极管,只要正偏电压大于零,二极管就导通。
A、正确
B、错误
参考资料【 】
18、【判断题】二极管简化模型将二极管的I-V非线性特性近似成了线性或分段线性的关系。
A、正确
B、错误
参考资料【 】
19、【判断题】通常硅二极管的反向饱和电流小于锗二极管的反向饱和电流,正向管压降低于锗二极管的正向管压降。
A、正确
B、错误
参考资料【 】
20、【判断题】在使用齐纳二极管时,必须加限流电阻。
A、正确
B、错误
参考资料【 】
场效应管及其放大电路测验题
1、【单选题】场效应管利用外加电压产生的_______来控制漏极电流的大小,因此它是_______控制器件。
A、电流,电场
B、电场,电压
C、电流,电压
D、电压,电流
参考资料【 】
2、【单选题】N沟道场效应管的漏极电流由_______的漂移运动形成。
A、空穴
B、电子
C、电子和空穴
D、正离子
E、负离子
参考资料【 】
3、【单选题】P沟道增强型MOS管的阈值电压是________。
A、正值
B、负值
C、零值
D、不确定的
参考资料【 】
4、【单选题】一个MOS场效应管的转移特性如图所示(其中漏极电流iD的方向是它的实际方向),它是_______场效应管。<img src="http://nos.netease.com/edu-image/39422F4840021351FAE64C4F5C2F048E.jpg?imageView
A、N沟道耗尽型
B、N沟道增强型
C、P沟道增强型
D、P沟道耗尽型
参考资料【 】
5、【单选题】在共源、共漏和共栅三种放大电路组态中,放大电路电压增益小于1但接近于1,输入输出电压同相,有电压跟随作用;放大电路电压增益较高,输入输出电压反相;放大电路输入输出电压同相,有电流跟随作用;放大电路输出电阻小;放大电路输入电阻小。
A、共漏,共源,共栅,共漏,共栅
B、共源,共漏,共栅,共漏,共栅
C、共漏,共栅,共源,共漏,共栅
D、共漏,共栅,共漏,共源,共栅
参考资料【 】
6、【单选题】用两个放大电路A和B分别对同一个电压信号进行放大。当输出端开路时,A和B的输出电压相等;当都接入负载电阻RL时,测得A的输出电压小于B的输出电压,由此说明,电路A的输出电阻比电路B的输出电阻。
A、大
B、小
C、相等
D、不能确定
参考资料【 】
7、【单选题】在图示电路中,已知各MOS管的阈值电压çVT ç=0.5V,MOS管处于截止状态的电路是。
A、图(a)
B、图(b)
C、图(c)
D、图(a)和图(b)
E、图(b)和图(c)
F、图(a)和图(c)
参考资料【 】
8、【单选题】当栅源电压为0V时,MOS管存在导电沟道,在正的栅源电压作用下,可以有更大的漏极电流。
A、N沟道耗尽型
B、N沟道增强型
C、P沟道耗尽型
D、P沟道增强型
参考资料【 】
9、【单选题】试分析图示各电路,能正常放大交流信号的电路是(设各电容对交流信号的容抗可忽略)。
A、图(a)
B、图(b)
C、图(c)
D、图(d)
参考资料【 】
10、【单选题】 设图(a)电路中各电容很大对交流信号均可视为短路,则其小信号等效电路为。
A、图(b)
B、图(c)
C、图(d)
D、图(b)和图(d)
参考资料【 】
11、【单选题】已知电路参数如图(a)所示,FET工作点上的互导gm=1mA/V,设rds>>Rd,则该电路的小信号等效电路是,电压增益为,输入电阻为_______。<img src="http://nos.netease.com/edu-image/E7A3F4F83523EFA5D3EC96C9B5867C48.jpg?imageView
A、图©,-10,2075 kW
B、图(b),-3.3,2075 kW
C、图(b),-10,2075 kW
D、图©,-3.3,2075 kW
参考资料【 】
12、【单选题】电路如图所示。设电流源电流I=0.5mA、VDD=VSS=5V,Rd=9kΩ,CS很大,对信号可视为短路。场效应管的VT=0.8V,Kn=1<img src="http://nos.netease.com/edu-image/04C200F698809E2E738B2C138CDFFF24.jpg?imageView<img src="http://nos.netease.com/edu-image/3E68B649248412C264FEEAA84DA23006.jpg?imageView
A、1.42 mA/V,12.78
B、3.02 mA/V,-27.2
C、1.42 mA/V,-12.78
D、3.02 mA/V,-12.78
参考资料【 】
13、【单选题】源极跟随器电路如图所示,场效应管参数为Kn=1<img src="http://nos.netease.com/edu-image/E1C8DAE5846D0CBA5D5E30983D712C1A.jpg?imageView<img src="http://edu-image.nosdn.127.net/EA5378B9C04FCF7C466A24AECA78A802.png?imageView
A、8,0.5kW
B、0.89,0.5kW
C、0.89,2W
D、1,2W
参考资料【 】
14、【单选题】图示电路参数为I=0.5mA,VDD=VSS=5V,Rg=100 kΩ,Rd=10kΩ, Rsi=1kΩ。场效应管参数为VTN=1V,Kn=0.5<img src="http://nos.netease.com/edu-image/DE39E41BDE5FC353D8E8A4E59F1E36FB.jpg?imageView<img src="http://nos.netease.com/edu-image/634F318E93C8AE914D2199A08D1B5CF9.jpg?imageView
A、2 kW,5,10kW
B、0.5kW,-5,10kW
C、1 kW,-5,10kW
D、1 kW,5,10kW
参考资料【 】
15、【判断题】放大电路的静态是指输入端短路时的状态。
A、正确
B、错误
参考资料【 】
16、【判断题】小信号模型中所研究的电压、电流都是变化量,因此,不能用小信号模型来求静态工作点Q,模型参数大小也与Q点位置无关。
A、正确
B、错误
参考资料【 】
17、【判断题】在组合放大电路中,它的输入电阻就是第一级放大电路的输入电阻,而放大电路的输出电阻等于最后一级(输出级)的输出电阻。
A、正确
B、错误
参考资料【 】
18、【判断题】MOSFET放大电路的三种组态中只有共源电路有功率放大作用。
A、正确
B、错误
参考资料【 】
19、【判断题】作为放大器件工作时,耗尽型N沟道MOSFET的栅源电压能用正向偏置。
A、正确
B、错误
参考资料【 】
20、【判断题】MOSFET的低频跨导gm是一个常数。
A、正确
B、错误
参考资料【 】
21、【判断题】增强型MOS管工作在恒流区(放大区)时,其栅源电压必须大于零。
A、正确
B、错误
参考资料【 】
22、【判断题】场效应管仅靠一种载流子导电。
A、正确
B、错误
参考资料【 】
23、【判断题】设MOS管的VTN=1V,当测量到它在电路中的电压值为:VDS=3V,VGS=2V时,可以断定该MOS管工作在恒流区。
A、正确
B、错误
参考资料【 】
24、【判断题】设MOS管的VTN=-2V,当测量到它在电路中的电压值为:VDS=3V,VGS=-1V时,可以断定该MOS管工作在恒流区。
A、正确
B、错误
参考资料【 】
25、【判断题】设MOS管的VTP=-1V,当测量到它在电路中的电压值为:VDS=-3V,VGS=-2V时,可以断定该MOS管工作在截止区。
A、正确
B、错误
参考资料【 】
双极结型三极管及其放大电路测验题
1、【单选题】BJT具有放大作用的外部电压条件是发射结_______,集电结_______。
A、正偏,反偏
B、反偏,正偏
C、零偏,正偏
D、反偏,零偏
参考资料【 】
2、【单选题】当温度升高时,BJT集电极电流______。
A、增大
B、减小
C、不变
D、不确定
参考资料【 】
3、【单选题】BJT放大电路共有三种组态的放大电路,它们分别是共射极、和_______放大电路。
A、功率,共集电极
B、共集电极,反馈
C、反馈,功率
D、共集电极,共基极
参考资料【 】
4、【单选题】NPN型BJT共射极放大电路的交流电压输出波形上半周失真时为,此时应该_______基极电流。
A、饱和失真,增大
B、截止失真,减小
C、交越失真,减小
D、截止失真,增大
E、饱和失真,减小
参考资料【 】
5、【单选题】用直流电压表测得放大电路中某BJT各管脚电位分别是2V、6V、2.7V,则三个电极分别是_______,该管是________型。
A、b、c、e;NPN
B、c、b、e;NPN
C、e、c、b;NPN
D、b、c、e;PNP
E、f、b、e;PNP
F、e、c、b;PNP
参考资料【 】
6、【单选题】复合管如图所示,等效为一个BJT时,2端是 ,3端是 。
A、基极,集电极
B、集电极,发射极
C、发射极,集电极
D、发射极,基极
参考资料【 】
7、【单选题】图示各电路中,能正常放大正弦交流信号的电路是_______ (设各电容的容抗可忽略)。
A、图(a)
B、图(b)
C、图©
D、图(d)
参考资料【 】
8、【单选题】测量若干硅NPN型BJT各电极对地的电压值如下,工作在放大区的BJT是________。
A、VC=6V,VB=2V,VE=1.3V
B、VC=6V,VB=6V,VE=5.6V
C、VC=6V,VB=4V,VE=3.6V
D、VC=3.6V,VB=4V,VE=3.4V
参考资料【 】
9、【单选题】设原理图中各电容容抗均可忽略,其小信号等效电路为________。<img src="http://nos.netease.com/edu-image/9C08F17D60EE9546691C561F14EF7D2E.jpg?imageView<img src="http://nos.netease.com/edu-image/98074856780EFBB30069FEACB396AF45.jpg?imageView
A、图(a)
B、图(b)
C、图©
D、图(d)
参考资料【 】
10、【单选题】电路如图(a)所示,若vo中的交流成分出现图(b)所示的失真现象,为消除此失真,又基本不改变输出电阻,应调整电路中的________元件,将其________。<img src="http://nos.netease.com/edu-image/5C22D7B3A4238E85F6730ABE15414B66.jpg?imageView
A、Rb,调小
B、Rc,调小
C、Rb,调大
D、Rc,调小
E、Cb1,调大
F、Cb2,调大
参考资料【 】
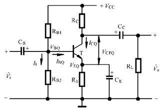
11、【单选题】射极偏置电路如图所示,已知b = 60。该电路的电压增益约为________。
A、-90
B、-103
C、-110
D、-120
参考资料【 】
12、【单选题】在图示电路中,已知Rb=260kW,Re=RL=5.1kW,Rsi=500W,VEE=12V,b=50,|VBE|=0.2V,则电路的输入电阻约为________,输出电阻约为________。
A、87.3W,36W
B、87.3 kW,36W
C、110.3 kW,33 kW
D、87.3 kW,33 kW
参考资料【 】
13、【单选题】共基极电路如图所示。设b=100,Rs=0,RL=¥,则电路的电压增益约为_______,输入电阻约为________,输出电阻约为________。<img src="http://nos.netease.com/edu-image/E93E1B5CDE8127A5338F3A666F2718A2.jpg?imageView
A、268,28W,7.5kW
B、288,5.5kW,7.5kW
C、288,5.5kW,28W
D、268,5.5kW,20W
参考资料【 】
14、【判断题】NPN型BJT只能在正电源电压下工作,而PNP型BJT只能在负电源电压下工作。
A、正确
B、错误
参考资料【 】
15、【判断题】同一只BJT,无论在什么情况下,它的b 值始终不变。
A、正确
B、错误
参考资料【 】
16、【判断题】BJT放大电路在不失真地放大动态信号时,其三个电极的实际电流方向始终不变。
A、正确
B、错误
参考资料【 】
17、【判断题】在阻容耦合放大电路中,信号源和负载电阻会影响电路的Q点。
A、正确
B、错误
参考资料【 】
18、【判断题】直接耦合放大电路可以放大频率很低的信号甚至直流信号。
A、正确
B、错误
参考资料【 】
19、【判断题】BJT的小信号模型只能用于分析放大电路的动态情况,不能用来分析静态工作点。
A、正确
B、错误
参考资料【 】
20、【判断题】可以用万用表的“W”挡测量出BJT的H参数rbe电阻。
A、正确
B、错误
参考资料【 】
21、【判断题】BJT组成复合管时最重要的特性是极大地提高了电流放大倍数。
A、正确
B、错误
参考资料【 】
放大电路频率响应测验题
1、【单选题】某放大电路中<img src="http://nos.netease.com/edu-image/78594490CDFD94E28B6A5E928EDDAABF.jpg?imageView<img src="http://nos.netease.com/edu-image/E1CD6793EAA4E5B5037EE942C8A1A7B3.jpg?imageView
A、1000,100MHz,100Hz
B、60dB,100Hz,100MHz
C、60,1Hz,10GHz
D、60,10GHz,1Hz
参考资料【 】
2、【单选题】某放大电路增益的幅频响应波特图如图示。当输入信号的频率等于下限截止频率或上限截止频率时,该电路的实际增益是_________(dB)。
A、60
B、57
C、40
D、63
参考资料【 】
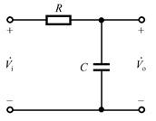
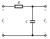
3、【单选题】图示一阶RC电路,其电压传递函数为_________。
A、
B、
C、
D、RC
参考资料【 】
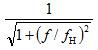
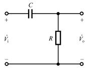
4、【单选题】图示一阶RC高通电路,当输入信号的频率等于
时,电路的
。
A、0dB
B、3dB
C、-3dB
D、-20dB
参考资料【 】
5、【单选题】图示一阶RC电路,设R=1KW,为了对高于1MHz信号的衰减能达到3dB以上,只要电容C值________就可以。
A、大于1pF
B、大于160pF
C、大于1mF
D、大于10mF
参考资料【 】
6、【单选题】电路如图所示,其中+VDD=5V,Rsi = 1kW,Rg1= 30kW,Rg2 = 20kW,Rd = 4kW,gm= 0.8mS,l = 0,Cgs=1pF,Cgd=0.5pF。那么该电路源电压增益的上限截止频率约为 。
A、55.7MHz
B、5.57MHz
C、28.4MHz
D、557kHz
参考资料【 】
7、【单选题】电路如图示,已知该电路在室温(300K)下运行,且BJT的VBEQ=0.6V,rbb¢=100W,b0=100,Cb¢c=0.5pF,fT =400MHz;VCC=12V,Rb1=100kW,Rb2=16kW,Re=1kW,Rc=RL=5.1kW,Rs=1kW,那么该电路的上限截止频率约为 。<img src="http://nos.netease.com/edu-image/AFC34C02E6C9525D749BDADF1EB9A78C.jpg?imageView
A、3.45MHz
B、345kHz
C、221kHz
D、457kHz
参考资料【 】
8、【单选题】放大电路在高频信号作用时放大倍数下降的主要原因是________。
A、耦合电容和旁路电容的影响
B、三极管极间电容和分布电容的影响
C、三极管的非线性特性影响
D、放大电路的静态工作点不合适
参考资料【 】
9、【单选题】放大电路在低频信号作用时放大倍数下降的主要原因是________。
A、耦合电容和旁路电容的影响
B、三极管极间电容和分布电容的影响
C、三极管的非线性特性影响
D、放大电路的静态工作点不合适
参考资料【 】
10、【单选题】在两级放大电路中,已知各自单级20lg|AVM1| = 40dB,fL1 = 4Hz,fH1 = 20kHz;20lg|AVM2| = 30dB,fL2 = 400Hz,fH2 = 150kHz。则两级放大电路的电压增益为 ,上限截止频率约为 ,下限截止频率约为 。
A、70dB,20kHz,400Hz
B、10dB,20kHz,150Hz
C、12dB,,44kHz,400Hz
D、40dB,170kHz ,4Hz
参考资料【 】
11、【单选题】在共源极和共射极电路的高频等效电路中,分别由 和 引入了密勒效应。
A、栅-源极电容Cgs,基-射极电容Cb¢e
B、栅-漏极电容Cgd,基-集极电容Cb¢c
C、漏-源极电容Cds,基-射极电容Cb¢e
D、漏-源极电容Cds,基-集极电容Cb¢c
参考资料【 】
12、【多选题】某放大电路的通频带是50Hz~50kHz,中频电压增益<img src="http://nos.netease.com/edu-image/C566DD83B624C239B3922A308035C4C6.jpg?imageView10%)的是 。
A、幅度为10mv,频率为4kHz的方波
B、幅度为20mv,频率为50kHz的方波
C、30sin(4p´
t) mV
D、40sin(4p´25´
t)mV
参考资料【 】
13、【多选题】为降低图示电路的下限截止频率但又不改变通带增益,可采取的措施是________。
A、增大Cb1, Cb2
B、增大Ce
C、增大RC
D、增大RL
参考资料【 】
14、【判断题】在分析放大电路频率响应时,通过等效RC高通电路分析高频响应,而通过等效RC低通电路分析低频响应。
A、正确
B、错误
参考资料【 】
15、【判断题】无旁路电容的直接耦合放大电路区别于阻容耦合放大电路的特点是,它在低频区的增益不会衰减。
A、正确
B、错误
参考资料【 】
16、【判断题】通常情况下,对共源极放大电路低频特性影响更大的是源极旁路电容。
A、正确
B、错误
参考资料【 】
17、【判断题】可以通过选择极间电容小的三极管来降低放大电路的下限频率。
A、正确
B、错误
参考资料【 】
18、【判断题】可以通过降低放大电路的增益来增大带宽。
A、正确
B、错误
参考资料【 】
19、【判断题】通常共栅极和共基极放大电路的通频带要宽于共源极和共射极放大电路。
A、正确
B、错误
参考资料【 】
模拟集成电路测验题
1、【单选题】当差分式放大电路两输入端电压为vi1=250mV,vi2= 150mV,则vid= mV,vic= mV。
A、100,200
B、100,400
C、200,100
D、50,200
参考资料【 】
2、【单选题】双端输出的理想差分放大电路,已知|Avd | = 40,|Avc | = 0。若vi1=20mV,vi2= -5mV 。则|vo |为 mV。
A、1000
B、600
C、-200
D、800
参考资料【 】
3、【单选题】电流源电路如图所示,VDD = VSS =5V,T1~T3的VTN = 2V,l = 0,而Kn1 = Kn3 = 0.25
,则IREF = mA和IO = mA。<img src="http://nos.netease.com/edu-image/4D9474539272AB2ED76F5CD9855B71CF.jpg?imageView
A、2.25,0.9
B、22.5,0.9
C、1,0.1
D、5,0.2
参考资料【 】
4、【单选题】电流源电路是一个___________,其交流等效电阻___。
A、双口网络,恒定
B、单口网络,很小
C、单口网络,很大
D、双口网络,很小
参考资料【 】
5、【单选题】放大电路产生零点漂移的主要原因是 。
A、采用了直接耦合方式
B、采用了阻容耦合方式
C、采用了正负双电源供电
D、增益太大
参考资料【 】
6、【单选题】差分放大电路共模抑制比的大小反映了__________。
A、差模增益的大小
B、共模增益的大小
C、抑制零漂的能力
D、带负载能力
参考资料【 】
7、【单选题】差分式放大电路最重要的特点是 。
A、较高的差模增益和很低的共模增益
B、零点漂移严重
C、频带很宽
D、输入电阻很小
参考资料【 】
8、【单选题】在差分式放大电路中,源极或发射极公共支路上采用电流源进行直流偏置,带来的好处是 。
A、提高输入电阻
B、提高差模电压增益
C、提高共模电压增益
D、提高共模抑制比
参考资料【 】
9、【单选题】集成运算放大器的输入级采用差分放大电路的主要原因之一是它的 能力强。
A、电压放大
B、电流放大
C、带负载
D、抑制零点漂移
参考资料【 】
10、【单选题】设在差分式放大电路中输入信号为vi1=1050uV,vi2=950uV,若电路的| Avd | = 100,| Avc | = 2。则最大输出电压| vo|=。
A、12mV
B、10mV
C、200mV
D、120mV
E、100mV
参考资料【 】
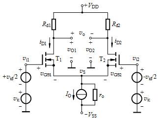
11、【单选题】在电路图示的源极耦合差分式放大电路中,VDD = VSS =5V,IO = 0.2mA,电流源输出电阻ro=100kW,Rd1 =Rd2 =Rd = 10kW,FET的Kn= 1.5m<img src="http://nos.netease.com/edu-image/C623BC97A5A034864692BDA5654C10B2.jpg?imageViewrds Rd,那么T2漏极单端输出时的差模电压增益Avd2 =,共模抑制比KCMR =。
A、3.85, 77
B、3.85, 110
C、-3.85, 77
D、-3.85, 110
参考资料【 】
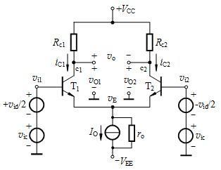
12、【单选题】在图示的射极耦合差分式放大电路中,VCC=VEE=10V,IO=1mA,ro=25kW,Rc1=Rc2=10kW,BJT的β=200,VBE=0.7V。当vi1=vi2=0时,VCE1=VCE2=;由T1集电极单端输出时的差模电压增益Avd1»,共模抑制比KCMR »。
A、5.7V, -93.5, 467.5
B、5V, -93.5, 467.5
C、5.7V, 93.5, 467.5
D、5V, 93.5, 767.5
参考资料【 】
13、【单选题】通用型集成运算放大器高频区的电压增益幅频响应在0dB以上的斜率一般是 。
A、3dB/十倍频
B、 -20dB/十倍频
C、20dB/十倍频
D、40dB/十倍频
E、-40dB/十倍频
参考资料【 】
14、【单选题】运放的单位增益带宽fT=1MHz,转换速率SR=1V/μs,当运放构成反相放大电路时的闭环增益Av=-10,则小信号闭环带宽fH=______;当输出电压不失真最大幅度Vom=10V时,那么全功率带宽BWP=______。
A、100kHz, 15.9kHz
B、10kHz, 15.9kHz
C、100kHz, 159kHz
D、100Hz, 159Hz
E、100kHz, 159Hz
参考资料【 】
15、【单选题】交流放大电路如图所示。电容对信号来说可视为短路。其交流电压增益表达式为________。<img src="http://nos.netease.com/edu-image/56568DDA8588A5780579781BFF0D9495.jpg?imageView
A、
B、
C、
D、
参考资料【 】
16、【单选题】运放单电源阻容耦合放大电路如图所示,其交流电压增益表达式为_______。
A、
B、
C、
D、
参考资料【 】
17、【单选题】图示电路中,已知运放741的IIO=20nA,IIB=100nA,VIO=5mV,且R2=R1//Rf ,那么电路的输出直流误差电压VO =。<img src="http://nos.netease.com/edu-image/560795BE958F4920944D436CEEF3463C.jpg?imageView
A、507mV
B、505mV
C、517mV
D、515mV
参考资料【 】
18、【判断题】差分式放大电路与单管放大电路相比,增加了大约一倍的元器件,但获得了抑制零点漂移的能力。
A、正确
B、错误
参考资料【 】
19、【判断题】共模抑制比是衡量放大电路电压放大能力的指标。
A、正确
B、错误
参考资料【 】
20、【判断题】差分式放大电路中源极或射极公共支路上的电流源动态电阻ro对共模输入信号来说相当于短路。
A、正确
B、错误
参考资料【 】
21、【判断题】差分式放大电路的漏极或集电极带镜像有源负载时,可以使单端输出等效为双端输出。
A、正确
B、错误
参考资料【 】
22、【判断题】因为集成运放内部电路是直接耦合放大电路,所以它只能放大直流信号,不能放大交流信号。
A、正确
B、错误
参考资料【 】
23、【判断题】当希望集成运放尽可能接近理想运放时,要求Avo、rid、KCMR越大越好。
A、正确
B、错误
参考资料【 】
24、【判断题】当希望集成运放尽可能接近理想运放时,要求ro、IIB、IIO、VIO、DIIO/DT、DVIO/DT越小越好。
A、正确
B、错误
参考资料【 】
25、【判断题】当希望集成运放尽可能接近理想运放时,要求BW(fH) 、SR越小越好。
A、正确
B、错误
参考资料【 】
26、【判断题】运放的开环差模电压增益下降3分贝所对应的频率fH是较低的,一般通用型运放的fH约为几赫兹至几十赫兹。
A、正确
B、错误
参考资料【 】
27、【判断题】在设计运放构成的交流放大电路时,需要特别关注运放输入端的直流通路。
A、正确
B、错误
参考资料【 】
28、【判断题】在单电源工作的运放电路中,输出静态电压的设置都与输入信号无关。
A、正确
B、错误
参考资料【 】
29、【判断题】IIB、IIO、VIO的影响只会产生输出静态误差,不会导致运放工作异常。
A、正确
B、错误
参考资料【 】
30、【判断题】轨到轨运算放大器消除了失调电压和失调电流的影响。
A、正确
B、错误
参考资料【 】
31、【判断题】图示电路是可以正常工作的交流电压跟随器电路。
A、正确
B、错误
参考资料【 】
反馈放大电路测验题
1、【单选题】对于放大电路,所谓开环是指 。
A、无电源
B、无信号源
C、无反馈通路
D、无负载
参考资料【 】
2、【单选题】对于放大电路,所谓闭环是指 。
A、有信号源
B、有反馈通路
C、接入了电源
D、接入了负载
参考资料【 】
3、【单选题】温度升高时,若想稳定放大电路的静态工作点,应当引入 负反馈。
A、交流
B、直流
C、电压
D、电流
参考资料【 】
4、【单选题】在输入量不变的情况下,若引入反馈后 ,则说明引入的反馈是负反馈。
A、输入电阻增大
B、输出量增大
C、净输入量增大
D、净输入量减小
参考资料【 】
5、【单选题】为了稳定放大电路的输出电压,应引入 负反馈。
A、电压取样
B、电流取样
C、串联输入
D、并联输入
参考资料【 】
6、【单选题】为了减小放大电路的输入电阻,应引入 负反馈。
A、电压
B、电流
C、串联
D、并联
参考资料【 】
7、【单选题】为了增大放大电路的输出电阻,应引入 负反馈。
A、电压取样
B、电流取样
C、串联输入
D、并联输入
参考资料【 】
8、【单选题】图示电路级间引入了 反馈,该反馈属于 反馈。<img src="http://nos.netease.com/edu-image/C43975FB9197F7B592D81548EFB06D4D.jpg?imageView
A、正,直流
B、负,交流
C、负,直交流
D、正,直交流
参考资料【 】
9、【单选题】图示电路级间引入了 反馈,该反馈属于 反馈。
A、正,直流
B、负,交流
C、负,直交流
D、正,直交流
参考资料【 】
10、【单选题】图示电路级间引入了 反馈,该反馈属于 反馈。
A、正,直流
B、负,交流
C、负,直交流
D、正,直交流
参考资料【 】
11、【单选题】图示电路中级间的交流反馈属于_。<img src="http://nos.netease.com/edu-image/A532AAF96A9BED82B68BD9A96C5411DD.jpg?imageView
A、电流串联正反馈
B、电流串联负反馈
C、电压串联负反馈
D、电流并联负反馈
E、电压并联负反馈
F、电压并联正反馈
参考资料【 】
12、【单选题】图示电路中级间的交流反馈属于__________。
A、电压串联正反馈
B、电流串联负反馈
C、电压串联负反馈
D、电流并联负反馈
E、电压并联负反馈
F、电流并联正反馈
参考资料【 】
13、【单选题】图示电路中级间的交流反馈属于_________。<img src="http://nos.netease.com/edu-image/5B35BE67DB67C9A3F013C03F65CD6FE8.jpg?imageView
A、电压串联正反馈
B、电流串联负反馈
C、电压串联负反馈
D、电流并联负反馈
E、电压并联负反馈
F、电流并联正反馈
参考资料【 】
14、【单选题】图中最适合用于电流到电压转换的电路是 。
A、
B、
C、
D、
E、
参考资料【 】
15、【单选题】已知放大电路的开环增益为2000,反馈系数为0.01,则闭环增益为 ,反馈深度为 。
A、95.2,21
B、100,21
C、95.2,20
D、100,20
参考资料【 】
16、【单选题】已知放大电路输入信号电压为1mV,输出电压为1V,加入负反馈后,为达到同样输出时需要加的输入信号为50mV,那么电路的反馈深度为 ,反馈系数为 。
A、50,0.049
B、20,0.05
C、50,0.001
D、20,0.01
参考资料【 】
17、【单选题】由运放组成的同相放大电路中,已知运放的开环增益为
,Rf =51kW,R1 =5.1kW,那么反馈系数约为 ,闭环电压增益约为 。
A、0.098,10.2
B、0.091,11
C、0.1,-10
D、10,-10
参考资料【 】
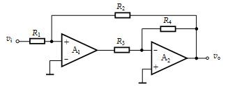
18、【单选题】设图示电路满足深度负反馈条件,则其闭环电压增益为 。
A、
B、
C、
D、
参考资料【 】
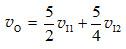
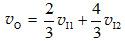
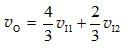
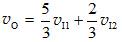
19、【单选题】设图示电路满足深度负反馈条件,则它的反馈系数为________,闭环增益约为________,闭环电压增益约为________。
A、
,
,
B、
,
,
C、
,
,
D、
,
,
参考资料【 】
20、【单选题】设图示电路满足深度负反馈条件,则它的闭环电压增益
。
A、
B、
C、
D、
参考资料【 】
21、【单选题】某负反馈放大电路的高频区频率响应如图示。反馈网络由纯电阻组成。若要求电路稳定工作(保证45°相位裕度),则要求反馈系数。
A、小于等于0.001
B、大于等于0.001
C、小于等于0.1
D、大于等于0.1
E、小于等于0.01
F、大于等于0.01
参考资料【 】
22、【多选题】图示电路中级间的交流反馈属于_________,(电路中的电容对交流信号均可视为短路)。<img src="http://nos.netease.com/edu-image/5FA7BC5F9E7AEDBE0CB36EC2CE1D45DA.jpg?imageView
A、正反馈
B、负反馈
C、电压反馈
D、电流反馈
E、串联反馈
F、并联反馈
参考资料【 】
23、【多选题】图示电路中的交流反馈属于_________,(电路中的电容对交流信号均可视为短路)。
A、正反馈
B、负反馈
C、电压反馈
D、电流反馈
E、串联反馈
F、并联反馈
参考资料【 】
24、【多选题】图示电路中级间的交流反馈属于_________。<img src="http://nos.netease.com/edu-image/D4D814267987DEE815DCCCE06710AADE.jpg?imageView
A、正反馈
B、负反馈
C、电压反馈
D、电流反馈
E、串联反馈
F、并联反馈
参考资料【 】
25、【多选题】图示电路中级间的交流反馈的作用是________。<img src="http://nos.netease.com/edu-image/BD0E9453C4358D33A78765EA74BC39D9.jpg?imageView
A、稳定输出电压
B、稳定输出电流
C、增大输入电阻
D、减小输入电阻
E、增大输出电阻
F、减小输出电阻
参考资料【 】
26、【多选题】图示电路中级间的交流反馈的作用是_________。<img src="http://nos.netease.com/edu-image/43AD05A3F82824FDA52A11732A925F0E.jpg?imageView
A、稳定输出电压
B、稳定输出电流
C、增大输入电阻
D、减小输入电阻
E、增大输出电阻
F、减小输出电阻
参考资料【 】
27、【多选题】图示电路中级间的交流反馈的作用是_________。
A、稳定输出电压
B、稳定输出电流
C、增大输入电阻
D、减小输入电阻
E、增大输出电阻
F、减小输出电阻
参考资料【 】
28、【判断题】由于引入负反馈后,放大电路的增益会明显下降,所以引入负反馈对放大电路没有好处。
A、正确
B、错误
参考资料【 】
29、【判断题】环路增益就是闭环增益。
A、正确
B、错误
参考资料【 】
30、【判断题】负反馈只能改善环路内的放大电路性能,对反馈环外的电路无效。
A、正确
B、错误
参考资料【 】
31、【判断题】放大电路的增益-带宽积在任何情况下都是一个常数。
A、正确
B、错误
参考资料【 】
32、【判断题】无论在什么情况下,分析运算放大器组成的电路时,都可以运用虚短和虚断的概念。
A、正确
B、错误
参考资料【 】
33、【判断题】为了改善反馈放大电路的性能,引入的负反馈深度越深越好。
A、正确
B、错误
参考资料【 】
34、【判断题】只要反馈放大电路由负反馈变成了正反馈,就一定会产生自激。
A、正确
B、错误
参考资料【 】
35、【判断题】只要基本放大电路的幅频响应在0dB以上的衰减斜率只有-20dB/十倍频,那么由电阻网络引入任何深度的负反馈时,都不会产生自激振荡。
A、正确
B、错误
参考资料【 】
36、【判断题】某负反馈放大电路的高频区频率响应如图示,那么该电路由电阻网络引入任何深度的负反馈时都能稳定工作。
A、正确
B、错误
参考资料【 】
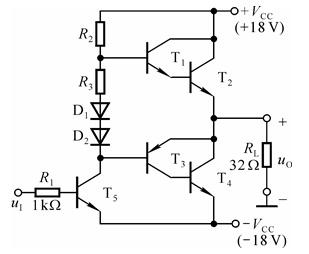
功率放大电路测验题
1、【单选题】为了使负载获得尽可能大的功率,对功率放大电路的基本要求是 。
A、输出信号电压尽可能大
B、输出信号电流尽可能大
C、输出信号的电压和电流都尽可能大
D、输出信号的电压大电流小
参考资料【 】
2、【单选题】放大电路的工作方式有甲类、乙类和甲乙类等,其中甲乙类放大器中放大管的导通角 。
A、π
B、2π
C、大于π小于2π
D、小于π
参考资料【 】
3、【单选题】以下放大电路中,效率最高的是 。
A、甲类放大器
B、乙类放大器
C、甲乙类放大器
D、差分式放大器
参考资料【 】
4、【单选题】功率管2N6078室温下的参数为,VCE(max)=250V,IC(max)=7A,PC(max)=45W,若电路工作时VCE=20V,则IC的最大电流为 。
A、7A
B、3.5A
C、2.25A
D、无限制
参考资料【 】
5、【单选题】电路如图示,设VCC=12V,RL=8Ω,输入信号vi为正弦波,若BJT的饱和压降为2V,负载可得到的最大的输出功率为 。
A、12.5W
B、6.25W
C、18W
D、9W
参考资料【 】
6、【单选题】电路如图所示,设RL=8Ω,输入信号vi为正弦波,若BJT的饱和压降可忽略不计,负载可得到的最大不失真的输出功率为9W时,电源电压VCC至少应该为 。<img src="http://nos.netease.com/edu-image/7D07CD6844EA97F8CA4AD39F85BA8FB5.jpg?imageView
A、大于等于12V
B、大于等于24V
C、大于等于6V
D、大于等于18V
参考资料【 】
7、【单选题】图示电路属于 。<img src="http://nos.netease.com/edu-image/9E0BC93976FBDC9A2CCA7C93410A1502.jpg?imageView
A、甲类放大器
B、乙类放大器
C、甲乙类放大器
D、丙类放大器
参考资料【 】
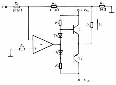
8、【单选题】在图示电路中,二极管D1、D2和R3的作用是 。
A、整流
B、克服交越失真
C、滤波
D、限幅
参考资料【 】
9、【单选题】设计一个输出功率为100W的功率放大电路,则该功放电路的每个功放管的最大管耗至少应该为 。
A、20W
B、30W
C、40W
D、50W
参考资料【 】
10、【单选题】乙类互补对称功率放大电路如图所示,采用双电源供电,若忽略BJT的饱和压降,则功率管承受的最大反向电压为 。<img src="http://nos.netease.com/edu-image/C6AAD1D9767277B38A35FDD358D62686.jpg?imageView
A、VCES
B、2VCC
C、2VCC-VCES
D、2(VCC-VCES)
参考资料【 】
11、【判断题】图示MOSFET功率放大器,当输入为正弦交流信号时,输出会有交越失真。<img src="http://nos.netease.com/edu-image/8498E6CD530D1E605DD188E75A81C15A.jpg?imageView
A、正确
B、错误
参考资料【 】
12、【判断题】为了克服功率放大电路的交越失真,图中(a)电路更好。
A、正确
B、错误
参考资料【 】
13、【判断题】图示电路工作时,会产生明显的交越失真。
A、正确
B、错误
参考资料【 】
信号处理与信号产生电路测验题
1、【单选题】若信号频率低于20Hz,应选用______滤波器。
A、低通
B、高通
C、带通
D、带阻
参考资料【 】
2、【单选题】希望抑制50Hz的交流电源干扰,应选用______滤波器。
A、低通
B、高通
C、带通
D、带阻
参考资料【 】
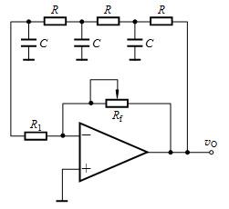
3、【单选题】信号频率覆盖500Hz~50kHz,应选用______滤波器。
A、低通
B、高通
C、带通
D、带阻
参考资料【 】
4、【单选题】单门限比较器只有______个门限值,而迟滞比较器则有______个门限电压值。
A、1,2
B、2,3
C、2,1
D、1,1
参考资料【 】
5、【单选题】若希望在输入电压小于-3V时,输出电压为高电平;而在输入电压大于+3V时,输出电压为低电平。可采用________电压比较器。
A、反相迟滞
B、同相迟滞
C、反相单门限
D、同相单门限
参考资料【 】
6、【单选题】电路如图示。已知<img src="http://nos.netease.com/edu-image/C4BEECC8F6E9D07F38225A63362870E9.jpg?imageView<img src="http://nos.netease.com/edu-image/201067C8D13EE63F9468CF0A492C15EB.jpg?imageView
A、318.5W,
B、318.5kW,
C、3.18kW,
D、318.5kW,
参考资料【 】
7、【单选题】电路如图示,为了使电路能够起振,R3至少应该 。电路的振荡频率约为 。<img src="http://nos.netease.com/edu-image/8895F549480C4EA4212897B78BCFEDC4.jpg?imageView
A、大于1.3kW,1kHz
B、大于2.7kW,1kHz
C、小于1.3kW,1kHz
D、小于1.3kW,100Hz
E、大于1.3kW,10kHz
F、大于2.7kW,10kHz
参考资料【 】
8、【单选题】图示电压比较器的门限电压为 。(图中VZ=9V)。
A、0V
B、+3V和-3V
C、+5V和-5V
D、+6V和-6V
参考资料【 】
9、【单选题】方波-三角波产生电路如图示,但是该电路有错误,其错误是 。
A、电容参数不合适
B、C1的两个输入端接反了
C、A2的两个输入端接反了
D、不能用D2
参考资料【 】
10、【判断题】有源滤波电路通常由集成运放和电阻、电容组成。
A、正确
B、错误
参考资料【 】
11、【判断题】带通滤波器的Q值越大,它的通带宽度就越窄(设它的中心频率远大于带宽)。
A、正确
B、错误
参考资料【 】
12、【判断题】低通滤波器的通带上限截止频率一定低于高通滤波器的通带下限截止频率。
A、正确
B、错误
参考资料【 】
13、【判断题】在采用正反馈方框图的条件下,如果正弦波振荡电路反馈网络的相移为jf,放大电路的相移为ja,那么只有
,才能满足相位平衡条件。
A、正确
B、错误
参考资料【 】
14、【判断题】只要满足相位平衡条件,且
,就能产生自激振荡。
A、正确
B、错误
参考资料【 】
15、【判断题】在放大电路中,只要具有正反馈,就会产生自激振荡。
A、正确
B、错误
参考资料【 】
16、【判断题】在RC桥式正弦波振荡电路中,实现稳幅的指导思想通常是,使负反馈随着输出电压幅值的增加而加强(即电压增益下降)。
A、正确
B、错误
参考资料【 】
17、【判断题】图示电路满足正弦波振荡的相位平衡条件。
A、正确
B、错误
参考资料【 】
18、【判断题】图示电路满足正弦波振荡的相位平衡条件。
A、正确
B、错误
参考资料【 】
19、【判断题】非正弦波产生电路的振荡条件与正弦波振荡电路的振荡条件相同。
A、正确
B、错误
参考资料【 】
20、【判断题】用于电压比较器的运放总是工作在开环状态或正反馈状态下。
A、正确
B、错误
参考资料【 】
最后
以上就是开心篮球最近收集整理的关于[渝粤教育] 华中科技大学 模拟电子技术基础 参考 资料的全部内容,更多相关[渝粤教育]内容请搜索靠谱客的其他文章。
发表评论 取消回复