文章目录
- 一、决策树
- 1.信息熵
- 1)熵
- 2)联合熵与条件熵
- 3)相对熵
- 4)互信息
- 总结
- 2.决策树学习算法
- 1)信息增益-ID3
- 2)信息增益率-C4.5
- 3)CART-gini系数
- 总结
- 4)决策树的评价
- 5)决策树过拟合
- 二、Bagging与随机森林
- 1.Bagging
- 2.随机森林
- 3.样本不均衡的常用处理方法
- 4.样本间相似度
- 5.特征重要度
- 6.异常检测
一、决策树
1.信息熵
1)熵

2)联合熵与条件熵



3)相对熵

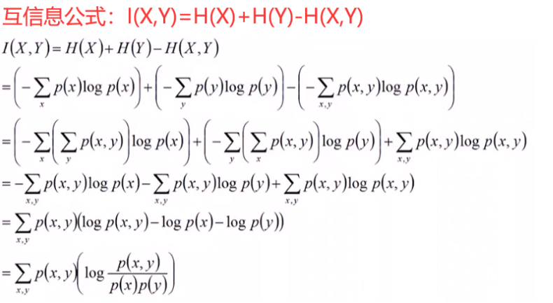
4)互信息


总结

互信息的另一种表述方式


2.决策树学习算法


1)信息增益-ID3



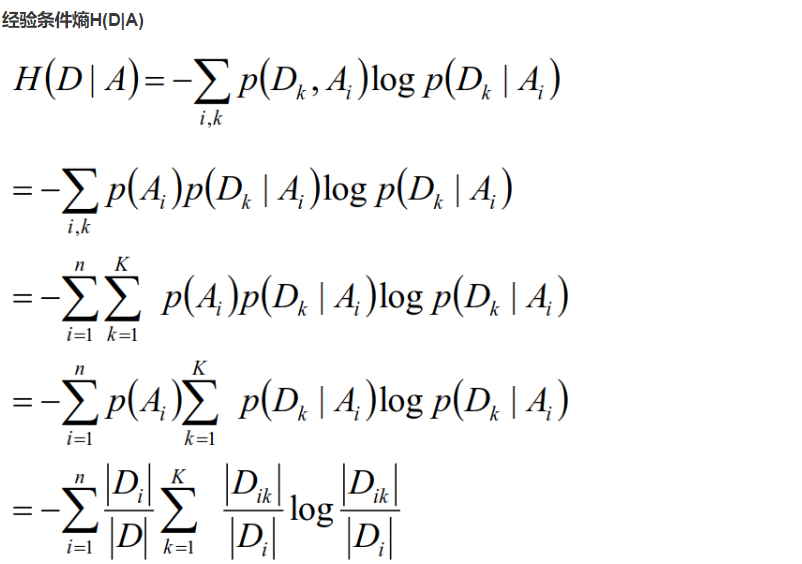
符号含义

2)信息增益率-C4.5


3)CART-gini系数
见上
总结

4)决策树的评价

5)决策树过拟合




二、Bagging与随机森林
1.Bagging



2.随机森林




3.样本不均衡的常用处理方法

4.样本间相似度

5.特征重要度

6.异常检测

最后
以上就是甜美棉花糖最近收集整理的关于机器学习基础算法16- 决策树与随机森林-理论部分的全部内容,更多相关机器学习基础算法16-内容请搜索靠谱客的其他文章。
本图文内容来源于网友提供,作为学习参考使用,或来自网络收集整理,版权属于原作者所有。
发表评论 取消回复