线性代数方程组的迭代解法
- 1. 迭代法的基本概念
- 1.1 向量序列和矩阵序列的极限
- 1.2 迭代公式的构造
- 2. Jacobi迭代法和Gauss-Seidel迭代法
- 2.1 Jacobi迭代法
- 2.2 Gauss-Seidel迭代法
- 2.3 J法和GS法的收敛性
- 3. 超松弛迭代法
- 3.1 逐次超松弛迭代公式
- 3.2 SOR迭代法的收敛性
- 3.3 最优松弛因子
1. 迭代法的基本概念
前一章讲述了线性代数方程组的直接解法,本质上还是矩阵运算,只是用了一些技巧让计算简单(在计算复杂度上可能并没有改善)。而本章讲述的是线性方程组的迭代解法,从一个初始解出发,迭代求解,逐渐收敛到目标真解。
1.1 向量序列和矩阵序列的极限
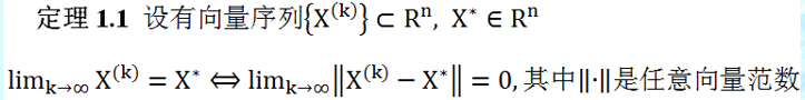
- 向量序列的极限是根据向量中每个元素的极限来定义的,如果向量中每个元素的序列都收敛,那么向量序列收敛。
向量序列的极限还可以根据向量范数(注意是任意向量范数,不一定要是二范数)收敛到0来定义,即:

- 矩阵序列的极限是根据矩阵中每个元素的极限来定义的,如果矩阵中每个元素的序列都收敛,那么矩阵序列收敛。
矩阵序列的极限还可以根据矩阵范数(注意是任意矩阵范数,不一定要是二范数)收敛到0来定义,即:

- 矩阵收敛和向量收敛的关系:

上式本质上说明了如果矩阵序列
A
(
k
)
A^{(k)}
A(k)收敛到矩阵
A
A
A,那么向量
A
(
k
)
x
A^{(k)}x
A(k)x会收敛到向量
A
x
Ax
Ax
- 下面讨论一种与迭代法有关的矩阵序列的收敛性,这种序列由矩阵的幂构成,即
{
B
k
}
{B^k}
{Bk}.
一个矩阵 B B B的k次方收敛到0等价于它的谱半径小于1,即:

此外还有两种重要的定理:

1.2 迭代公式的构造
对于线性方程组:
A
x
=
b
Ax=b
Ax=b
可以用迭代方式求解,即将非奇异矩阵
A
A
A拆解:
A
=
M
−
N
A=M-N
A=M−N
接着:

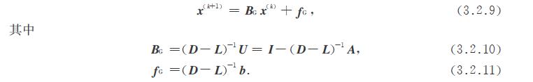
因此上式就是 迭代公式,重新整理一下记号就得:

可以构造解此方程组的迭代法:

其中矩阵B称为 迭代矩阵.
迭代法何时收敛?

上式实际上是说解向量序列是收敛的,那么同样地,只要将上式移项,然后收敛到0向量,也是一个意思。通过上面的定义,可以证明如下定理:

如何评价收敛的速度?

显然,矩阵的谱半径越小,收敛速度越快。
2. Jacobi迭代法和Gauss-Seidel迭代法
2.1 Jacobi迭代法
此迭代法思路很简单,将系数矩阵A拆解成 对角线元素为0的上三角矩阵,对角矩阵, 对角线元素为0的下三角矩阵。然后将对角矩阵保留在等式左边,两个三角矩阵移到等式右边,再求逆即可。即:


值得注意的是,矩阵
B
J
B_J
BJ是完全可以口算的,即:系数矩阵对角线元素变为0,然后矩阵所有元素取相反数,最后每一行除以对角元素。
2.2 Gauss-Seidel迭代法
我们先看Jacobi迭代法:

如果把上面那一项
x
j
(
k
)
x^{(k)}_j
xj(k)换成
x
j
(
k
+
1
)
x^{(k+1)}_j
xj(k+1),就得到了Gauss-Seidel迭代法:

那么写成矩阵形式就是:

2.3 J法和GS法的收敛性
有四条判别定理:




3. 超松弛迭代法
3.1 逐次超松弛迭代公式
GS法比J法好,因为它每次迭代能用最新的值总是用最新的值 x j ( k + 1 ) x^{(k+1)}_j xj(k+1)。但是将GS法做进一步推广,可以进一步加快收敛速度。

可以看到,迭代思路就是,用GS法的解和上一次的迭代解做一个线性组合,达到“中庸”的效果,进一步整理

可以看到GS法就是SOR法的一种特例。
用矩阵表示:

其中:

3.2 SOR迭代法的收敛性
由第二节的理论可知,SOR迭代法收敛的充分必要条件是 ρ ( L w ) < 1 rho(L_w)<1 ρ(Lw)<1,其中矩阵 L w L_w Lw就是式(3.3.3)所示的形式。
对于矩阵
L
w
L_w
Lw的谱半径,有如下定理:

那么,如果 SOR迭代法收敛 则有:
∣
w
−
1
∣
<
1
|w-1|<1
∣w−1∣<1,因此:
0
<
w
<
2
0<w<2
0<w<2是收敛的 必要条件,如果这个条件不满足,SOR迭代法必定不收敛。
以下定理是关于
0
<
w
<
2
0<w<2
0<w<2与SOR收敛关系的一个充分必要条件。

3.3 最优松弛因子
SOR迭代法的收敛速度与谱半径有关,而谱半径又与松弛因子 w w w有关.我们希望选取最优的松弛因子 w w w,使得迭代矩阵谱半径最小,即收敛速度最快。
对于一个矩阵
A
A
A,如果满足 对称、正定、三对角,那么它有如下三条性质:

如果矩阵满足 对称、正定、三对角,那么
ρ
(
L
w
)
rho(L_w)
ρ(Lw)作为
w
w
w的函数,其图形如下所示:

参考文献:
关治,陆金甫《数值方法》
最后
以上就是健康面包最近收集整理的关于数值分析(3):线性代数方程组的迭代解法1. 迭代法的基本概念2. Jacobi迭代法和Gauss-Seidel迭代法3. 超松弛迭代法的全部内容,更多相关数值分析(3):线性代数方程组的迭代解法1.内容请搜索靠谱客的其他文章。
发表评论 取消回复