MATLAB线性方程组的迭代求解法
作者:凯鲁嘎吉 - 博客园
http://www.cnblogs.com/kailugaji/
一、实验目的
1. 借助矩阵按模最大特征值,判断解方程组的Jacobi迭代法所得迭代序列的敛散性。
2. 会在Jacobi迭代法所得迭代序列收敛时,用修改后的Gauss-Seidel迭代法。
3. 会逐次超松驰迭代法。
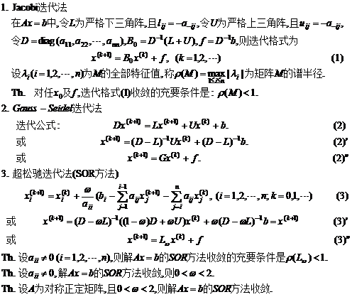
二、实验原理

三、实验程序

四、实验内容
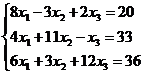
用上面前二种方法求解4元线性方程组的近似解,所选方程组尽可能可以用多种方法求得收敛解。
注:要注意判断迭代法收敛性,方法之一就是用程序求矩阵的按模最大特征值。
五、解答
1.(程序)
(1)Jacobi迭代法源程序:
function x=jacobi(a,b,x0,n,tol,m) x=zeros(n,1); for k=0:m for i=1:n s=0; for j=1:n if j~=i s=s+a(i,j)*x0(j,1); end end x(i,1)=(b(i,1)-s)/a(i,i); if norm(x-x0,inf)<tol break; end x0(i,1)=x(i,1); end end
(2)Gauss-Seidel迭代法源程序:
function x=gauss_seidel(a,b,x0,n,tol,m) x=zeros(n,1); for k=0:m for i=1:n s=0;s2=0; for j=1:i-1 s2=s2+a(i,j)*x(j,1); end for j=i+1:n s=s+a(i,j)*x0(j,1); end x(i,1)=(b(i,1)-s-s2)/a(i,i); if norm(x-x0,inf)<tol break; end x0(i,1)=x(i,1); end end
2.(运算结果)
(1)求解线性方程组

>> a=[8 -3 2;4 11 -1;6 3 12];b=[20 33 36]';x0=[0 0 0]'; >> x=jacobi(a,b,x0,3,1e-6,50) x = 3.0000 2.0000 1.0000
(2)Gauss-Seidel迭代法
>> a=[8 -3 2;4 11 -1;6 3 12];b=[20 33 36]';x0=[0 0 0]'; >> x=gauss_seidel(a,b,x0,3,1e-6,50) x = 3.0000 2.0000 1.0000
3.(拓展(方法改进、体会等))
逐次超松驰迭代法源程序:
function x=SOR(a,b,x0,n,w,tol,m) x=zeros(n,1); for k=0:m for i=1:n s=0;s2=0; for j=1:i-1 s2=s2+a(i,j)*x(j,1); end for j=i+1:n s=s+a(i,j)*x0(j,1); end x(i,1)=(1-w)*x0(i,1)+w*(b(i,1)-s-s2)/a(i,i); if norm(x-x0,inf)<tol break; end x0(i,1)=x(i,1); end end
运算结果:
>> a=[-4 1 1 1;1 -4 1 1;1 1 -4 1;1 1 1 -4];b=[1 1 1 1]';x0=[0 0 0 0]'; >> x=SOR(a,b,x0,4,1,1e-6,20) x = -1.0000 -1.0000 -1.0000 -1.0000
转载于:https://www.cnblogs.com/kailugaji/p/6932399.html
最后
以上就是舒适招牌最近收集整理的关于MATLAB线性方程组的迭代求解法MATLAB线性方程组的迭代求解法的全部内容,更多相关MATLAB线性方程组内容请搜索靠谱客的其他文章。
本图文内容来源于网友提供,作为学习参考使用,或来自网络收集整理,版权属于原作者所有。
发表评论 取消回复