文章目录
- 冲激响应与阶跃响应
- 1 冲激响应的定义和求法
- 2 阶跃响应的定义和求法
冲激响应与阶跃响应

1 冲激响应的定义和求法
定义
冲激响应是由单位冲激函数
δ
(
t
)
δ(t)
δ(t)所引起的零状态响应,记为
h
(
t
)
h(t)
h(t)。
h
(
t
)
h(t)
h(t)隐含的条件:

基本信号:冲激函数
δ
(
t
)
δ(t)
δ(t)
基本响应:冲激响应
h
(
t
)
h(t)
h(t)
求法
描述二阶LTI系统的微分方程的一般形式为:
y
”
(
t
)
+
a
1
y
’
(
t
)
+
a
0
y
(
t
)
=
b
2
f
”
(
t
)
+
b
1
f
’
(
t
)
+
b
0
f
(
t
)
y”(t) + a_1 y’(t) + a_0 y(t) = b_2 f”(t) + b_1 f’(t) + b_0 f(t)
y”(t)+a1y’(t)+a0y(t)=b2f”(t)+b1f’(t)+b0f(t)
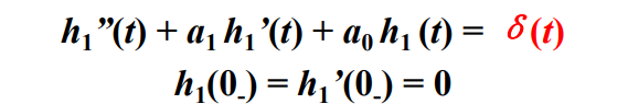
求解系统的冲激响应 可分两步进行:
(1)选新变量
h
1
(
t
)
h_1(t)
h1(t),使它满足

采用经典法求解
h
1
(
t
)
h_1(t)
h1(t)
(2)根据LTI系统零状态响应的线性性质和微分特性,则冲激响应:



t
>
0
t>0
t>0时方程式右边为0,因此特解也应为0.

说明:结合零状态响应的线性性质和微分性质,来简化求解过程;若直接进行求解,方程右端将会出现冲激函数的各阶导数。
t
≥
0
tge 0
t≥0与
ε
(
t
)
varepsilon(t)
ε(t)区别:
t
≥
0
tge 0
t≥0没有告诉你
t
<
0
t<0
t<0是多少;而
ε
(
t
)
varepsilon(t)
ε(t)则告诉你
t
<
0
t<0
t<0是值为0
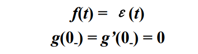
2 阶跃响应的定义和求法
定义
阶跃响应是由单位阶跃函数
ε
(
t
)
ε(t)
ε(t)所引起的零状态响应,记为
g
(
t
)
g(t)
g(t)。
g
(
t
)
g(t)
g(t)隐含的条件:

基本信号:阶跃函数
ε
(
t
)
ε(t)
ε(t)
基本响应:阶跃响应
g
(
t
)
g(t)
g(t)
求法




2p=1,特解p为0.5

《工程信号与系统》作者:郭宝龙等
国家精品课程:信号与系统 ,中国大学MOOC,郭宝龙,朱娟娟
最后
以上就是坚强招牌最近收集整理的关于【信号与系统】(六)连续系统的时域分析 ——冲激响应与阶跃响应冲激响应与阶跃响应的全部内容,更多相关【信号与系统】(六)连续系统的时域分析内容请搜索靠谱客的其他文章。
发表评论 取消回复