我是靠谱客的博主 着急咖啡,这篇文章主要介绍带通滤波器中心频率计算公式中R是哪个值_手把手教系列之IIR数字滤波器设计实现...,现在分享给大家,希望可以做个参考。

33eeafbe7baabafe32e3432fbe57ef1f.png

喜欢就本文就点个赞吧~~

版权声明:所有文章版权归嵌入式客栈所有,如商业使用,须嵌入式客栈授权。欢迎关注微信公众号,内容更丰富。

275e39a195d4116df65dc274b5ddc883.png

【导读】:在嵌入式系统中经常需要采集模拟信号,采集模拟信号的信号链中难免引入干扰,那么如何滤除干扰呢?今天就来个一步一步描述如何设计部署一个IIR滤波器到你的系统。写这篇文章考虑到很多粉丝是做单片机系统开发的,经常会需要采集模拟信号,系统中往往存在各种各样的干扰,干扰常常让人一筹莫展,所以花了一周时间整理出IIR滤波器设计部署的干货文章,照此一步一步做,你必会解决大部分干扰问题。

编外语:文章写作过程虽谈不上呕心沥血,但也可算绞尽脑汁。在此也呼吁粉丝朋友积极参与互动,或点在看,或分享,或留言评论!如果大家对此类话题感兴趣,我会写出系列信号处理文章以答谢各位的厚爱,如果大家对此类话题不感兴趣,就不在花过多时间整理发布了。在此感谢各位关注厚爱

何为IIR滤波器?

无限冲激响应(IIRInfinite Impulse Response)是一种适用于许多线性时不变系统的属性,这些系统的特征是具有一个冲激响应h(t),该冲激响应h(t)不会在特定点上完全变为零,而是无限期地持续。这与有限冲激响应(FIRFinite Impulse Response)系统形成对比,在有限冲激响应(FIR)系统中,对于某个有限T,在时间t> T时,冲激响应确实恰好变为零。线性时不变系统的常见示例是大多数电子和数字滤波器。具有此属性的系统称为IIR系统或IIR滤波器。对于什么叫冲激响应,这里就不展开解释了,有兴趣的可以查阅相关书籍。

这是常见的教科书式数学严谨定义,很多人看到这一下就蒙了,能说人话吗?

线性时不变系统理论俗称LTI系统理论,源自应用数学,直接在核磁共振频谱学、地震学、电路、信号处理和控制理论等技术领域运用。它研究的是线性、非时变系统对任意输入信号的响应。虽然这些系统的轨迹通常会随时间变化(例如声学波形)来测量和跟踪,但是应用到图像处理和场论时,LTI系统在空间维度上也有轨迹。因此,这些系统也被称为线性非时变平移,在最一般的范围理论给出此理论。在离散(即采样)系统中对应的术语是线性非时变平移系统。由电阻、电容、电感组成的电路是LTI系统的一个很好的例子。比如一个运放系统在一定频带范围内满足信号的时域叠加,输入一个100Hz和200Hz正弦信号,输出频率是这两种信号的线性叠加。

用数学对LTI系统描述:

线性:输入x1(t),产生响应 y1(t),而输入x2(t),产生相应y2(t) , 那么放缩和加和输入 ax1(t)+bx1(t), 产生放缩、加和的响应ay1(t)+by1(t),其中a和b是标量,对于任意的有:

输入

095e2ed9b0b116e9d08e18f0e678f98a.png

产生响应为:

702089b4ab1c0b88fda25178b741125e.png

时不变性:指如果将系统的输入信号延迟δ秒,那么得到的输出响应也相应延时δ秒。用数学描述,也即如果输入x1(t),产生响应y1(t) ,而输入x1(t+δ) ,产生响应 y1(t+δ)。
这么描述还是不易懂,来个图,有图有真相:

ebf3cb5b2afc8f47457927b5eb441a67.png

假定一个信号放大电路对100Hz正弦信号放大2倍:则输出为:

f75284768c09a26c340ae9ad1b6c6fcc.png

而对200Hz的正弦信号,假定其放大倍数为1.7倍。(做过运放电路设计的朋友应该有经验,在其同频带其放大倍数往往并不平坦,也即幅频响应在频带内不平坦,这是比较常见的)。也即输入为:

8dabb71232e2a221b6af49848adc0036.png

则输出波形为:

68410d1898a43b8570b1a36553b9a0e0.png

那么如果输入100Hz和200Hz的时域叠加信号,则其输入为:

e7cde4d713a1a1ef772c6890715c0881.png

则其响应为:

6471f6176549acd9a53692c83de15644.png

上面这么多文字只是为了描述在什么场合可以使用IIR滤波器对信号进行数字滤波。总结而言,就是在线性时不变系统中适用。换言之,在大多数电路系统中我们都可以尝试采用IIR滤波器进行数字滤波。

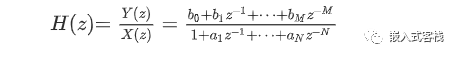
那么究竟什么是IIR滤波器呢?从数字信号处理的书籍中我们能看到这样的Z变换信号流图:

50cc5729ed275caf5dce9c1be724ee87.png

Z的-1次方表示延迟一拍,在数字系统中表示对于输入信号而言,即为上一次采样值,对于输出而言,即为上一次的输出值。

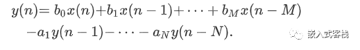
在时域中对于上述流图,用时域描述即为:

1307f7fe27ffd709d3d5b7b565ed6bfd.png

上述数字滤波器,如果从编程的角度来看,x(n-1),表示上一次的信号,可能是来

如果熟悉Z变换,则Z变换传递函数为:

0bd3e892bbf41962a074e81b375a89be.png

上述数字滤波器,如果从编程的角度来看,x(n-1),表示上一次的信号,可能是来自ADC的上次采样,而y(n-1)则为上一次滤波器的输出值,对应就比较好理解x(n-N)就表示前第n次输入样本信号,而y(n-M)则为前第M次滤波器的输出。

说了这么多,只是为了更好的理解概念,只有概念理解正确,才能使用正确。概念理解这对工程师而言,非常之重要。

如何设计呢?

MATLAB提供了非常容易使用的FDATool帮助我们设计数字滤波器,真正精彩的地方开始了,让我们拭目以待究竟如何一步一步设计并实施一个IIR滤波器。首先打开MATLAB,在命令行中敲fdatool,然后敲回车

23ee6fea24d33fd6d2862568c636ad21.png

弹出窗体就是fdatool了,如下:

f79d65c709951481f52a2e0ffd9590b7.png

在设计具体,有几个相关概念需要澄清:Fs:采样率,单位为Hz,真实部署在系统中,请务必确保样本是按照恒定采样率进行采样,否则将得不到想要的效果。Fpass: 通频带,单位为Hz,即系统中期望通过的最高频率。Fstop: 截至频率,即幅频响应的-3dB处的频率,这个如不理解,请自行查阅相关书籍。分贝dB: 这是一个无单位反应输出与输入倍数的一个术语。电学中分贝与放大倍数的转换关系为:

  • A(V)(dB)=20lg(Vo/Vi);电压增益,Vo 为输出电压,Vi为输入电压
  • A(I)(dB)=20lg(Io/Ii);电流增益,Io 为输出电流,Ii为输入电流
  • A(p)(dB)=10lg(Po/Pi);功率增益,Po 为输出功率,Pi为输入功率

滤波器类型:这里有Butterworth(巴特沃斯)、Chebyshev Type I,Chebyshev Type II、(切比雪夫)、Elipic 等可选。

3141e18a3bfa4d8ffa5b2ea86f792120.png
  • 巴特沃斯 Butterworth,也被称作最大平坦滤波器。巴特沃斯滤波器的特点是通频带内的频率响应曲线最大限度平坦,没有纹波。
  • 切比雪夫 Chebyshev,是在通带或阻带上频率响应幅度等波纹波动的滤波器。切比雪夫滤波器在过渡带比巴特沃斯滤波器的衰减快,但频率响应的幅频特性不如后者平坦。
  • 椭圆 Elliptic,椭圆滤波器是在通带和阻带等波纹的一种滤波器。
  • …这里就不一一介绍了,有兴趣可以去查信号处理书籍。

就其特点,这里对其中几种略作介绍:

  • 巴特沃斯具有最平坦的通带。
  • 椭圆滤波器衰减最快,但是通带、阻带都有波纹。
  • 切比雪夫滤波器衰减比巴特沃斯快,但比椭圆滤波器慢,波纹区域可选择。

假设我们需要设计一个IIR滤波器,采样率为32000Hz, 有用信号频率在10000Hz内,设计IIR滤波器对信号进行数字滤波。这里为节省算力,我们指定滤波器的阶数,也即传递函数中N/M中的最大值,一般而言N大于M。

这里指定阶数为8阶,类型指定为巴特沃斯型IIR滤波器,输入阶数8阶,采样率32000Hz,然后点击Design Filter如下图所示:

f51434539a78a91e91a98f9e709a89af.png

其相频响应曲线如下:

21087923a49295224dc9184ab7d6b181.png

除此之外,我们还可以将幅频与相频曲线放在一个频率坐标上去看设计结果:

010b21fd498197ea8da63c75fb838530.png

导出滤波器参数,这里我们选择,然后就得到了一个文件,保存2KHz_LPF.fcf,文件名随你喜欢。

a1b1371892c15c4891eadf524e0a8881.png

215a9c25e2d962a9788e897d451eef4a.png

文件内容如下:

% Generated by MATLAB(R) 8.4 and the Signal Processing Toolbox 6.22.
% Generated on: 27-Mar-2020 21:27:06

% Coefficient Format: Decimal

% Discrete-Time IIR Filter (real)                            
% -------------------------------                            
% Filter Structure    : Direct-Form II, Second-Order Sections
% Number of Sections  : 4                                    
% Stable              : Yes                                  
% Linear Phase        : No                                   


SOS Matrix:                                                  
1  2  1  1  -1.7193929141691948  0.8610574795347461          
1  2  1  1  -1.5237898734101736  0.64933827386370635         
1  2  1  1  -1.4017399331200424  0.51723237044751591         
1  2  1  1  -1.3435020629061745  0.45419615396638446         

Scale Values:                                                
0.035416141341387819                                         
0.031387100113383172                                         
0.028873109331868367                                         
0.027673522765052503                                          

至此设计工作就结束了,马上进入滤波器的部署测试阶段。

这里有个概念需要略作解释:什么叫直接II型 SOS 二阶块

9e6ce247b268d4cb647453d39b10e134.png

所谓直接II型,SOS(second order section)理解很简单,本质是将IIR Z传递函数分解为上述二阶块的级联形式。

部署测试滤波器

到这里,没有经验的朋友可能会说,这么一堆参数我该咋用呢?

需要自己去写前面描述的计算公式吗?当然你也可以这么做,这里就不写了,ARM的CMSIS库已经帮大家设计好了种类繁多的数字信号处理函数实现了,而且经过了测试,这里直接拿来用即可。有兴趣自己写也不难,只要理解Z传递函数概念内涵,非常容易实现。这里我们采用32位浮点实现函数:

arm_biquad_cascade_df1_f32。该函数位于:

CMSISDSPSourceFilteringFunctionsarm_biquad_cascade_df1_init_f32.c中

以及CMSISDSPSourceFilteringFunctionsarm_biquad_cascade_df1_f32.c

我们来看一看这个函数:

arm_biquad_cascade_df1_init_f32.c:

/*

arm_math.h 定义了须用到的结构体,对于本例相关的结构体为arm_biquad_casd_df1_inst_f32

typedef 

滤波器具体滤波函数为arm_biquad_cascade_df1_f32

/**

开始测试:

#include 

利用csv文件,将模拟数据存储,直接用excel打开,将行数据生成曲线图如下:

b8dd015e593bb568310e81898ae3bf8a.png

670e133c038f60d9796b07e22761ae1a.png

304e88cc76a4b4d8a5ffe092c576e067.png

bd7ac49c1f10cbc9762f5d19834d4201.png

7a4bd839e4cc91df52bd06c2e425cc3a.png
  • 第一幅图,为800Hz信号混入随机噪声的波形
  • 第二幅图,为4000Hz信号,对假定系统为无用干扰信号
  • 第三幅图, 为800Hz 混入随机噪声过滤后,已经很好的还原有用信号频率
  • 第四幅图, 为800Hz信号混入随机噪声,同时叠加4000Hz干扰的波形,对系统而言,从时域中,明显可见,有用信号已经完全扭曲
  • 第五幅图,为800Hz信号混入随机噪声,同时叠加4000Hz干扰的输入,经过该低通滤波器后的波形,与第三幅图基本一样,已经非常好的滤除了干扰信号。

总结

  • IIR滤波器在线性时不变系统中可以很好的解决工程中一般噪声问题
  • 如果需要设计带通、高通滤波器其步骤基本类似,只是滤波器的参数以及SOS块个数可能不一样而已
  • 需要提醒的时,IIR的相频响应不线性,如果系统对相频响应有严格要求,就需要采用其他的数字滤波器拓扑形式了
  • 实际应用中,如果阶数不高时,现在算力强劲的单片机或者DSP以及可以直接使用浮点处理。
  • 如果对处理速度有严格的实时要求,需要在极短时间进行滤波处理,可以考虑降低阶数,或采用定点IIR滤波算法实现。也或者将文中函数进行汇编级优化。

版权声明:所有文章版权归嵌入式客栈所有,如商业使用,须嵌入式客栈授权。

如喜欢本文就点个关注,或者微信扫一扫,关注公众号

275e39a195d4116df65dc274b5ddc883.png

最后

以上就是着急咖啡最近收集整理的关于带通滤波器中心频率计算公式中R是哪个值_手把手教系列之IIR数字滤波器设计实现...的全部内容,更多相关带通滤波器中心频率计算公式中R是哪个值_手把手教系列之IIR数字滤波器设计实现内容请搜索靠谱客的其他文章。

本图文内容来源于网友提供,作为学习参考使用,或来自网络收集整理,版权属于原作者所有。
点赞(211)

评论列表共有 0 条评论

立即
投稿
返回
顶部