能量信号和功率信号
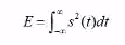
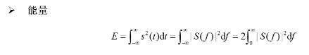
信号能量公式:

信号平均功率定义:

能量信号:

功率信号:

不存在既是能量信号也是功率信号的信号,但存在既不是能量信号也不是功率信号的信号
能量谱密度

S(f)是信号s(t)的傅里叶变换也就是频谱(频谱密度),信号的能量等于|S(f)|的平方在负无穷到正无穷的积分(帕塞瓦尔定理),所以有能量谱密度的定义:

功率谱密度
由于功率信号的能量是无穷的,或者说是信号持续时间是无限的,所以计算功率与功率谱时将信号进行截断或者取中期信号中的一个周期进行分析,故其与能量、能量谱差一个常数T或采样点数N

与能量谱密度相似

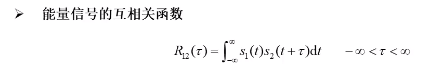
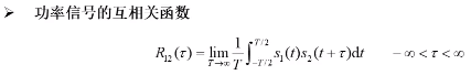
相关函数
自相关函数表示同一函数在不同时刻的相关性大小,互相关函数表示不同函数在不同时刻的相关性大小。
能量信号的自相关函数:


由性质可知:
能量信号在零时刻的自相关函数就等于信号的能量;
自相关函数是偶函数;
能量信号的自相关函数与信号能量谱密度是傅里叶变换对。
功率信号的自相关函数:


由性质可知:
功率信号在零时刻的自相关函数就等于信号的平均功率;
功率信号的自相关函数与信号功率谱密度是傅里叶变换对。
互相关函数



一些疑惑和没解决的问题
1.关于功率谱和功率谱密度的区别,网上搜着这两者是不一样的,但是经常会将功率谱简称为功率谱密度。
2.根据宋知用老师的解答,即:功率谱和功率谱密度是不同的。若能量为E,时间为T,频带为F,则功率谱是表示为E/T;而功率谱密度是表示为E/T/F。所以它们的量纲和单位是不同的,表示了不同的物理量。但又由有常把功率谱当作功率谱密度的简称,所以经常容照耀混淆。
在FFT变换中常用abs(fft(x)).^2/N来表示为功率谱。
3.但是再看视频的时候会将求功率谱密度的公式与宋老师提到的功率谱的公式相同,也就是开头所说的公式。
4.计由于自(互)功率谱密度和功率谱差一个常数所以在根据互相关函数求延迟量时选用功率谱密度还是功率谱应该不会有影响,这一点我还没去验证;
5.功率谱的两种求法 abs(fft(x)).^2/N 跟
结果的差值是很小的
MATLAB代码如下
clear all;clc;close all;
N1 = 14001;
N2 = 38000;
% N = N2-N1+1; %取样点数lcf_sound1_19.98kHz
[x,Fs] = audioread('lcf_sound1_19.98kHz.wav',[N1,N2]); % sampling frequency Fs
x=x-mean(x); %%% clear DC component
x=x/max(abs(x)); %%% amplitude normalization
L=length(x); %%% the sampling length x is N
N=L; %%% the Fourier transform of N
T=1/Fs; %%% sampling period
time=(0:N-1)/Fs; %%% time scale of speech signal
f=(0:N-1);
subplot 211;
plot(time,x); %%% The waveform of pure speech signal
X1_fn=fft(x,N); %%% Fourier tranform
X1J_fn=conj(X1_fn); %%% get conjugate
X12_GCC_fn=X1_fn.*X1J_fn;
plot(f,X12_GCC_fn,'k');
X2=abs(X1_fn).^2;
subplot 212;
plot(f,X2,'k');
Y=X12_GCC_fn-X2;
figure(2);
plot(f,Y,'k');
结果图如下:

这俩图分别是用两种方式求出的功率谱图
俩差值图如下:

可以看出差值很小,这两种方式应该区别不大。
6.pwelch和cpsd函数是MATLAB自带的两个计算自(互)功率谱密度的函数,不知道这俩函数具体是如何求的。
7.用FFT来计算功率谱密度可以参看以下网页:
http://ww2.mathworks.cn/help/sig … tml?w.mathworks.com
此网址是宋老师提供的还没看
最后
以上就是狂野人生最近收集整理的关于【能量信号、功率信号、能量谱、功率谱、相关函数的关系,MATLAB如何求功率谱】的全部内容,更多相关【能量信号、功率信号、能量谱、功率谱、相关函数内容请搜索靠谱客的其他文章。
发表评论 取消回复