
我,菜拐拐,今天又来了!今天的笔记是关于非正交多址技术(NOMA),就大体康康>==<啊!
5G中非正交多址接入技术(NOMA)是什么?
- NOMA的简要介绍?
- 由频分多址到NOMA的发展(原理)?
- *给定例子来说明功率分配对每一个用户的吞吐量的影响*
- NOMA的分类(大类单载波和多载波)?
- NOMA中的关键技术?
- 参考?
NOMA的简要介绍?
- 在正交多址技术中,只能为一个用户分配单一的无线资源,例如按频率分割或按时间分割。然而,非正交多址技术(NOMA)方式可将一个资源分配给多个用户。在某些场景中,比如远近效应场景和广覆盖多节点接入的场景,特别是上行密集场景,采用功率复用的非正交接入多址方式较传统的正交接入有明显的性能优势,更适合未来系统的部署。
- 其优点是可以提高频谱效率和接入量,这恰好符合了即将到来的5G时代的爆炸性的数据增长和接入需求。目前已经有研究验证了在城市地区采用NOMA的效果,并已证实,采用该方法可使无线接入宏蜂窝的总吞吐量提高50%左右。非正交多址复用通过结合串行干扰消除能取得容量极限,因此技术实现的难点在于是否能设计出低复杂度且有效的接收机算法。
- 其解决的问题是:频谱短缺。
由频分多址到NOMA的发展(原理)?

- 正交频分复用技术(OFDM)是在频分复用(FDMA)的基础上进一步压缩频带,提高频谱利用率。

- LTE系统的视频资源结构,时间上每个单位叫做一个OFDM符号,频域上每个单位叫做一个子载波。LTE系统可以同时利用时域和频域进行区分用户。

- NOMA跟以往的多址接入技术不同,NOMA采用非正交的功率域来区分用户。所谓非正交就是说用户之间的数据可以在同一个时隙,同一个频点上传输,而仅仅依靠功率的不同来区分用户。
- NOMA在发送端采用非正交发送(叠加编码),主动引入干扰信息,在接收端通过串行干扰删除技术实现正确解调。借此,在相同的时频资源块上,通过不同的功率级在功率域实现多址接入。
- NOMA在发送端根据对信道传输质量的评估来分配用户发射功率的非正交发送,主动引入干扰信息。对信噪比高的信道分配较小的功率,对信噪比低的信道分配较大的功率。在接收端通过SIC接收机消除干扰,实现正确解调。
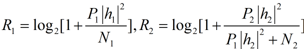
给定例子来说明功率分配对每一个用户的吞吐量的影响

- 看下行链路中串行干扰删除接收机采用NOMA方案的示意图,有一台发射机,两台接收机,并且每个接收机有一个接收天线。系统带宽1hz,基站发送一个信号x,给两个用户发送的功率为x1,x2,采用叠加编码即 x = P 1 x 1 + P 2 x 2 x = sqrt {{P_1}} {x_1} + sqrt {{P_2}} {x_2} x=P1x1+P2x2。
- 每个用户收到的信号为: y i = h i x + w i {y_i}={h_i}x+{w_i} yi=hix+wi。
- 在下行链路,SIC由用户接收机完成,当其他用户解码后,便可以将对本用户的干扰消除,本用户便可以成功解码。以两个用户为例子在满足:

- 先解调出第二个用户的信号,使用y1减去第二个用户的成分,因此,第一个用户可成功解码。信息速率在这里代表吞吐量,则可以表示为:

- 由此可见,功率分配对对于每一个用户的吞吐量都有着很大的影响。
NOMA的分类(大类单载波和多载波)?
单载波非正交多址技术指的是较早提出的,利用单个载波传输多个用户信号的非正交多址技术,包括传统的功率叠加非正交多址和认知无线非正交多址。功率叠加非正交多址和认知无线非正交多址利用功率的不平衡分配来区分用户,实现多用户并行传输。
-
功率叠加非正交多址

- 功率叠加非正交多址技术的本质是将更多的发送功率分配给信道条件更差的用户。检测时,用户1将用户2视为噪声,首先检测出自己的信号。用户2则利用串行干扰抵消技术,先检测出用户1的信号,再将它从原始接收信号中减去,最后得到自身信号。
-
认知无线非正交多址
- 传统功率叠加非正交多址技术为了保障用户的公平性,为信道条件较差的用户分配更多的功率。然而,它并不能严格保证每个用户预期的服务质量。认知无线非正交多址CR-NOMA技术对功率叠加非正交多址技术进行了优化和改进,严格确保所有用户的QoS需求得到满足。其思想是将非正交多址看作认知无线的特例,设计相应的功率分配策略去满足用户预定的QoS需求。其主要优势体现在能尽可能满足所有用户的QOS需求。假设用户1是一个物联网设备,速率需求相对较低,而用户2却有很高的速率需求,传统的正交多址接入系统(如OFDMA)会为每个用户分配一个相同带宽的子载波。这样,用户1所分配到的带宽比它的实际需求大,而用户2分配的带宽则不足以满足其需求。使用CR-NOMA技术则不仅可以使用户1的目标QoS需求得到满足,还尽可能地将剩余的频带资源与额外用户(用户2)共享,从而提高整个系统的吞吐量。满足所有用户的QoS需求。
多个子载波并行传输各用户信号以提高系统容量,并利用对传统多用户信号检测算法的改进,提升整个系统的性能。
-
交织多址接入技术

- 它基于不同的码片交织器来区分每个用户,以此获得分集增益,抵抗深度衰落。如图所示,在发送端,其先对每个用户的编码比特依次进行扩频、码片交织和符号调制,最后将所有用户的调制符号叠加在同一物理资源块上。在接收端,先利用高斯近似算法对接收信号进行低复杂度检测,然后将得到的各用户编码比特的软信息进行解交织和解扩频,最后通过译码器进行译码,得到原始信息比特。
-
稀疏码多址接入技术

- 将用户信息按组稀疏地叠加到有限的物理资源块上,同组用户共享相同的时频资源。也正因为这样,SCMA相较于传统的正交多址接入系统拥有更高的吞吐量,能够同时服务于更多用户,满足5G大连接的需求。
- 如图2-6所示,在发送端,SCMA系统先将每个用户的二进制编码比特直接映射成复数域上的码字,再根据预定好的用户分组将这些码字以稀疏的方式叠加到相应的时频资源上。由图可知,同一物理资源块将复用多个用户的码字信息,这也正是SCMA提高吞吐率的关键。在接收端,利用消息传递或串行干扰抵消等低复杂度非线性检测算法对叠加信号进行检测,并结合译码器恢复出每个用户的信息比特序列。
-
图分多址接入技术
-
PDMA在相同时频域资源块内,对每个用户的信号在编码域、空域和功率域进行联合或单独的编码传输,能够有效提高频谱效率,增加接入用户数,进而提高整体系统性能。
-
在发送端,PDMA先将用户分组,然后确定扩频图样,最后将用户按组叠加在有限时频资源块上进行传输。在接收端,PDMA通过串行干扰抵消技术逐一检测用户信息,并将得到的编码比特信息送入译码器进行译码,最终恢复原始信息比特序列。与其他非正交多址技术相同,PDMA也能有效提高系统的频谱效率,提升用户接入数量,扩大系统的吞吐量。与SCMA不同,PDMA的扩频图样更具有灵活性。一方面,每一个物理资源块上叠加的用户数可以不同;另一方面,每个用户信息传输时所连接的时频资源块也并未受到稀疏特性的限制,负载度相对更高。PDMA多用户编码矩阵为例,表示在三个时频资源单位上传输五个用户的信息,映射关系为:

-
由式可知,PDMA多用户编码矩阵不同列之间的汉明重量和稀疏特性不同,不同行之间的多用户数目应尽量一致,但并未做严格要求。

-
NOMA中的关键技术?
串行干扰删除(SIC)
在接收信号中对用户逐个进行判决,进行幅度恢复后,将该用户信号产生的多址干扰从接收信号中减去,并对剩下的用户再次进行判决,如此循环操作,直至消除所有的多址干扰。
功率复用
SIC在接收端消除多址干扰(MAI),需要在接收信号中对用户进行判决来排出消除干扰的用户的先后顺序,而判决的依据就是用户信号功率大小。基站在发送端会对不同的用户分配不同的信号功率,来获取系统最大的性能增益,同时达到区分用户的目的,这就是功率复用技术。功率复用技术在其他几种传统的多址方案没有被充分利用,其不同于简单的功率控制,而是由基站遵循相关的算法来进行功率分配。
参考?
知网文章《非正交多址系统信号叠加与检测技术研究》
拐拐????愿大家天天顺利。Happy!!!

最后
以上就是潇洒发夹最近收集整理的关于5G中非正交多址接入技术(NOMA)是什么?NOMA的简要介绍?由频分多址到NOMA的发展(原理)?NOMA的分类(大类单载波和多载波)?NOMA中的关键技术?参考?的全部内容,更多相关5G中非正交多址接入技术(NOMA)是什么?NOMA内容请搜索靠谱客的其他文章。
发表评论 取消回复