伯德图(Bode Plot)
是表示频率响应的一种图示方法
matlab中可以用“Bode()”函数对伯德图进行绘制
Eg:

绘制出来的图像则为:
单位:dB(分贝)


了解关于伯德图的相关对数关系后,以上讲的示例为例:

伯德图为:

在其中,以下式子能有效的将复杂的系统进行拆分从而简化难度。

即以伯德图的形式为:
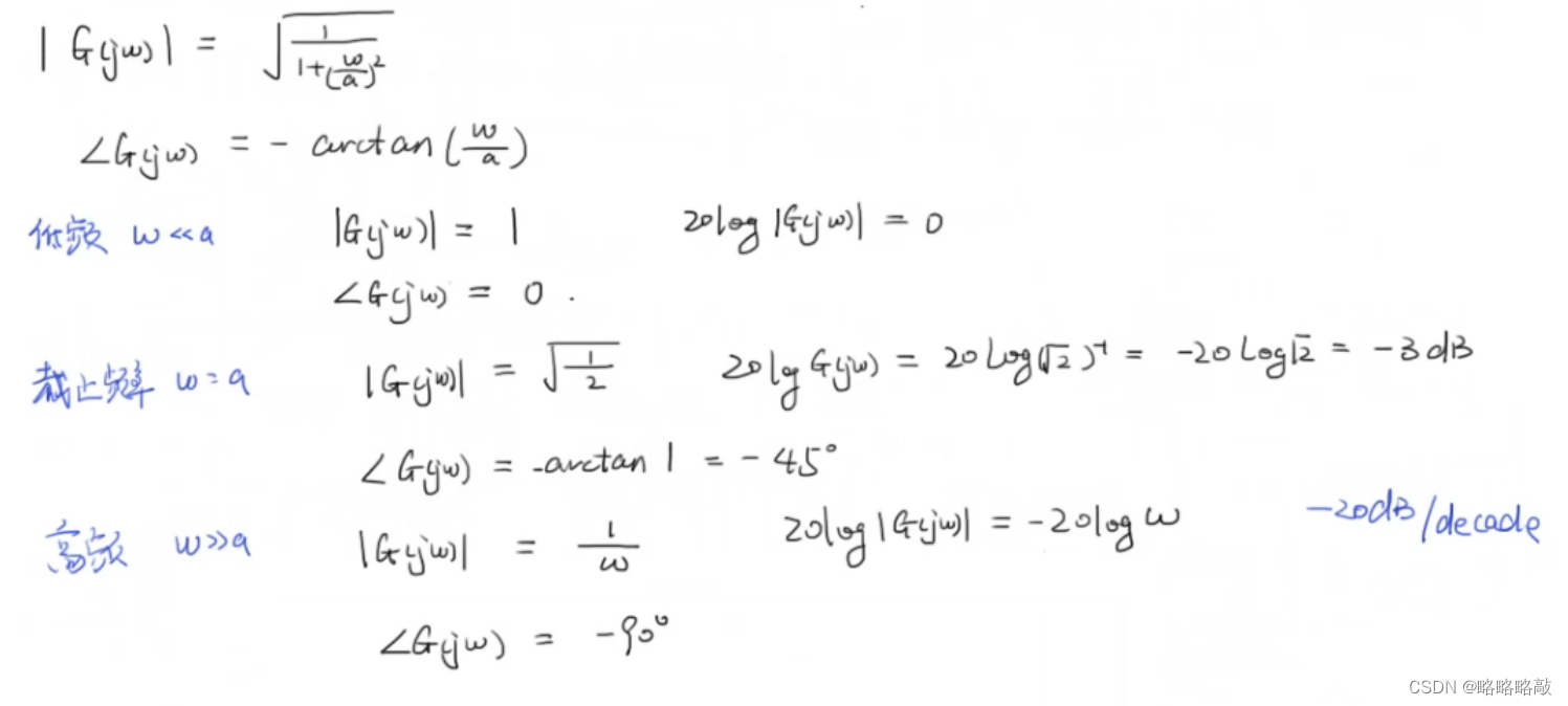
三个重要的基础式:



能够通过以上的基础图样进行组合,形成新的系统以伯德图进行表示。
最后
以上就是冷艳电灯胆最近收集整理的关于动态系统建模与分析_伯德图的全部内容,更多相关动态系统建模与分析_伯德图内容请搜索靠谱客的其他文章。
本图文内容来源于网友提供,作为学习参考使用,或来自网络收集整理,版权属于原作者所有。
发表评论 取消回复