我是靠谱客的博主 发嗲小蘑菇,这篇文章主要介绍线性系统频域校正-校正必读,现在分享给大家,希望可以做个参考。

【自控笔记】5.7线性系统频域校正

一、三频段划分

为了更方便地研究对数幅频特性与系统性能指标的关系,通常将 L ( ω ) L(ω) L(ω)人为地分成三个频段:低频段、中频段和高频段,如下图所示:

低频段主要是指第一个转折频率以左的频段。这一频段的特性完全是由积分环节和开环增益决定,其对应的传递函数为 K s v frac{K}{s^v} svK

中频段是指截止频率 ω c ω_c ωc附近的频段。这一频段集中反映了闭环系统动态响应的平稳性和快速性,一般希望对数幅频特性曲线以-20dB/dec的斜率穿过0dB线,这样的系统就获得较长的带宽,从而相角裕度较大,系统超调量较小,系统性能越好。

高频段是指频率远大于截止频率 ω c ω_c ωc的频段。高频段特性是由小时间常数环节构成的,斜率越陡,幅值衰减得越快,系统抗高频干扰性能越好。

三频段理论为系统的校正提供了原则和方向。熟练掌握校正装置各个转折频率之间的倍频比,是解决校正问题的关键所在

二、串联超前校正

串联超前校正,实质上就是利用超前网络相角超前特性提高系统的相角裕度

无源超前网络的电路图如下所示:

根据电路图写出超前校正装置的传递函数可得:
G ( s ) c = a G c ′ ( s ) = a T s + 1 T s + 1 G(s)_c=aG^{'}_c(s)=frac{aTs+1}{Ts+1} G(s)c=aGc(s)=Ts+1aTs+1
其中 a = R 1 + R 2 R 2 > 1 a=frac{R_1+R_2}{R_2}>1 a=R2R1+R2>1 T = R 1 R 2 C R 1 + R 2 T=frac{R_1R_2C}{R_1+R_2} T=R1+R2R1R2C。于是就确定了超前网络的零极点关系,转折频率亦容易得知,它的对数频率特性曲线如下:

观察它的对数频率特性,超前网络最大能使原系统的幅值抬高20lga dB,且该高度只和转折频率有关。超前网络最大的相角 φ m φ_m φm在两个转折频率的中点处,超前校正就是将这一点处的频率特性补到原系统中,使系统的相角提升 φ m φ_m φm(实际上补不到 φ m φ_m φm,因为校正后的系统由于截止频率后移,相角还会衰减几度。),幅值提升10lga。

那么,最大该超前网络的 φ m φ_m φm最大能有多少呢?

G ( s ) c G(s)_c G(s)c表达式可以知道它的相角为:
φ c ( ω ) = a r c t a n a T ω − a r c t a n T ω φ_c(ω)=arctanaTω-arctanTω φc(ω)=arctanaTωarctanTω
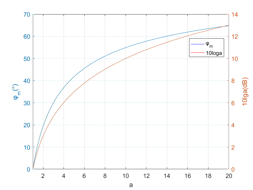
φ c ( ω ) φ_c(ω) φc(ω)求导并令其为0,可以算得 φ m = a r c s i n a − 1 a + 1 φ_m=arcsinfrac{a-1}{a+1} φm=arcsina+1a1,利用matlab绘制 φ m φ_m φm与a的关系曲线(代码附文末),如下图:

通过这个关系图,就能够看出 a ∈ ( 4 , 10 ) a∈(4,10) a(4,10)范围内的超前校正最有效,既能高效抬高系统的相角裕度 γ γ γ,又使得幅值增加不至于过大;而当a=14时, φ m = 60 ° φ_m=60° φm=60°,故一般认为一阶超前网络的最大超前角为60°。

三、串联滞后校正

串联滞后校正,实质上就是利用滞后网络幅值衰减特性挖掘系统自身的相角储备。也就是找到系统中满足相角要求的频率,并在该频率处使用滞后校正,使得系统幅值衰减,以该频率穿越0dB线。

无源滞后网络的电路图如下所示:

同样可以根据电路图得出滞后校正装置的传递函数:
G ( s ) c = b T s + 1 T s + 1 G(s)_c=frac{bTs+1}{Ts+1} G(s)c=Ts+1bTs+1
其中 b = R 2 R 1 + R 2 < 1 b=frac{R_2}{R_1+R_2}<1 b=R1+R2R2<1 T = ( R 1 + R 2 ) C T=(R_1+R_2)C T=(R1+R2)C

于是滞后网络的零极点关系和转折频率都容易获得,它的对数频率特性曲线如下:

一般来讲,相角裕度越大,系统越稳定,所以使用滞后校正装置时既希望它能使系统幅值衰减,又要避免相角裕度的损失。观察它的对数幅频特性曲线,可以知道在1/bT处之后的频率特性幅值得到最大程度的衰减,而相角损失也不大。在实际使用过程中,常常选取10b/T处的频率特性进行校正,也就是滞后校正装置第二个转折频率往后十倍频处。

同样的,使用matlab绘制频率为 10 b T frac{10}{bT} bT10处的相角衰减(代码附文末),可以看出,相角损失最大不超过-6°。在使用滞后装置进行校正时,应该要考虑到该相角损失。

四、串联滞后-超前校正

串联滞后-超前校正,实质上就是综合利用滞后网络幅值衰减、超前网络相角超前的特性,改造开环频率特性,提高系统性能。

根据电路图,可以的得到滞后-超前校正网络的传递函数
G ( s ) c = ( R 1 C 1 s + 1 ) ( R 2 C 2 s + 1 ) R 1 C 1 R 2 C 2 s 2 + ( R 1 C 1 + R 2 C 2 + R 1 C 2 ) s + 1 G(s)_c=frac{(R_1C_1s+1)(R_2C_2s+1)}{R_1C_1R_2C_2s^2+(R_1C_1+R_2C_2+R_1C_2)s+1} G(s)c=R1C1R2C2s2+(R1C1+R2C2+R1C2)s+1(R1C1s+1)(R2C2s+1)

G ( s ) c = ( T a s + 1 ) ( T b s + 1 ) T a T b s 2 + ( T a + T b + T a b ) s + 1 G(s)_c=frac{(T_as+1)(T_bs+1)}{T_aT_bs^2+(T_a+T_b+T_{ab})s+1} G(s)c=TaTbs2+(Ta+Tb+Tab)s+1(Tas+1)(Tbs+1)

a T a + T b a = T a + T b + T a b aT_a+frac{T_b}{a}=T_a+T_b+T_{ab} aTa+aTb=Ta+Tb+Tab可得
G ( s ) c = ( T a s + 1 ) ( a T a s + 1 ) ⋅ ( T b s + 1 ) T b a s + 1 G(s)_c=frac{(T_as+1)}{(aT_as+1)}·frac{(T_bs+1)}{frac{T_b}{a}s+1} G(s)c=(aTas+1)(Tas+1)aTbs+1(Tbs+1)

又因为 a > 1 , T a / T b = a 2 a>1,T_a/T_b=a^2 a>1Ta/Tb=a2,所以各环节系数大小关系为
a T a > T a > T b > T b / a aT_a>T_a>T_b>T_b/a aTa>Ta>Tb>Tb/a

由此便可以得到转折频率以及零极点关系,滞后-超前的对数频率特性如下所示:

为了综合利用滞后超前网络幅值衰减,相角超前的特性,将校正后系统的截止频率选在 1 / T b 1/T_b 1/Tb a / T b a/T_b a/Tb处,此处所获得的相角为最大值 φ m φ_m φm,幅值衰减10lga。

附录

φ m φ_m φm与a的关系曲线绘制matlab代码:

clear;clc  

a=1:0.1:20;
for i = 1 :length(a)
    phim(i)=asin((a(i)-1)/(a(i)+1))*180/pi;
    L(i)=10*log10(a(i));
end

h=plotyy(a,phim,a,L);
grid on;
xlabel('a')
ylabel(h(1),'{φ_m}(°)')
ylabel(h(2),'10lga(dB)')
set(h(1),'xlim',[1,20])
set(h(2),'xlim',[1,20])
set(h(1),'ylim',[0,70])
set(h(2),'ylim',[0,14])
legend('{φ_m}','10loga');

滞后网络关系曲线绘制matlab代码:

clear;clc;close all

b=0.01:0.0001:1.0;
for i = 1 :length(b)
    Lgb(i)=20*log10(b(i));
    phiw(i)=atan(0.1*(b(i)-1))*180/pi;
end

figure(1)
h1=axes('position',[0.1,0.12,0.8,0.8]);
semilogx(b,Lgb,'b-'); grid on
hold on
semilogx(b,phiw*10,'r-');
legend('10logb','{φ_c(ω_c)}');
set(h1, 'yaxislocation', 'left')
xlabel('b');
ylabel('20lgb(dB)');

h2 = axes('position', [0.899 0.12 0.001 0.8]); 
set(h2, 'ycolor', 'r');
set(h2, 'yaxislocation', 'right', 'xtick', []);
ylabel('{φ_c(ω_c)°}');
set(h2,'ylim',[-6,0]);

最后

以上就是发嗲小蘑菇最近收集整理的关于线性系统频域校正-校正必读的全部内容,更多相关线性系统频域校正-校正必读内容请搜索靠谱客的其他文章。

本图文内容来源于网友提供,作为学习参考使用,或来自网络收集整理,版权属于原作者所有。
点赞(198)

评论列表共有 0 条评论

立即
投稿
返回
顶部