上次基本上提到的动态范围调整的一些基本概念,模块图等,这次继续说它的原理。
如果简单的说一个DRC,应该很快就可以说完,但随着分析的深入,如果考虑 soft knee,attack time,release time,RMS peak detect
这些细节问题,DRC就变得一个较为复杂的事情了.....
不过相对于音频算法的其他模块,AEC,NR来讲,这个算是最简单模块了,因为至少它处理的还只是 线性域
接着上次也提到了,DRC的增益调整基本上是三段:对底噪,中等幅度信号,幅度较大的信号的三段不同的处理,比如:
底噪~Cutoff,attenuation
中等幅度信号:Expander
幅度较大,防止削顶的:Limiter
左图: OutPut level vs Input level ,右图:Weighting level vs input level ,X轴Y轴的dB可以简单的理解为 dBFs

上图用到的几个阈值做下说明
LT~ Limiter threshold
CT~Compressor threshold
ET~ Expander threshold
NT~Noise Gate
如果从实际使用角度出发,所以我觉得一个合适的DRC三段就可以了,不能太复杂,用于语音信号的典型的一个DRC如下:

稍微复杂的DRC要求拐点部分能平滑过渡。。。所以上面描述的只能称之为 Hard Knee 硬拐点

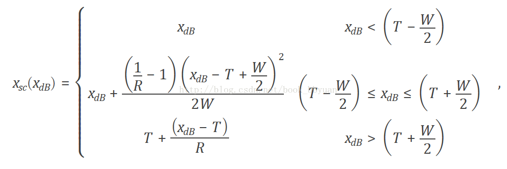
matlab (https://cn.mathworks.com/help/audio/ug/dynamic-range-control.html) 官网给出这个可以参考

估计大家看到这也就明白了,用一个二次曲线去连接两端的直线。连接是有要求的,
1、连接两个线段需要光滑链接
2、需要连接点处导数也一致
显然对于noise gate那端的曲线链接方式,自己都可以推导出来是:

按照这两个公式可以写出对应的代码,我们将soft和hard knee的两个图叠在一起: 下图是W=6的情况

Soft和hard knee的问题解决下,下一次再讨论一下 attack 和 release的问题。
这里面补充几个主流音频分析软件的DRC,GUI让大家感受下:
AuditionDRC

AudacityDRC.png

GoldWaveDRC.png

最后
以上就是明亮小土豆最近收集整理的关于动态范围规划(调整)Dynamic Range Control的一些心得(二)的全部内容,更多相关动态范围规划(调整)Dynamic内容请搜索靠谱客的其他文章。
发表评论 取消回复