基于multisim的zcs电路仿真
今天学弟毕业设计,要求仿真模拟电路,于是就把大学学过的multisim软件拿出来用用,介绍一下multisim吧,Multisim是美国国家仪器(NI)有限公司推出的以Windows为基础的仿真工具,适用于板级的模拟/数字电路板的设计工作。它包含了电路原理图的图形输入、电路硬件描述语言输入方式,具有丰富的仿真分析能力。
工程师们可以使用Multisim交互式地搭建电路原理图,并对电路进行仿真。Multisim提炼了SPICE仿真的复杂内容,这样工程师无需懂得深入的SPICE技术就可以很快地进行捕获、仿真和分析新的设计,这也使其更适合电子学教育。通过Multisim和虚拟仪器技术,PCB设计工程师和电子学教育工作者可以完成从理论到原理图捕获与仿真再到原型设计和测试这样一个完整的综合设计流程。
软件的安装
我是在网上下载的multisim12加汉化版,网上都有教程安装。
软件使用
1.软件的主要界面,我们只要新建一个flie->new->Desgin(ctrl+N)就可以开始我们模拟的电路的仿真了。

2。在软件的右侧有各种示波器、波形测量、波形发生器(如图为4通道示波器)。
.


3.鼠标右键,然后点击第一个place component就可以放置我们的元件了。(如图)

sources为电源,basic里面有capacitor(电容)inductor(电感)resistor(电阻)transistors里面有IGBT、mos管,三极管,mcu是芯片。其他可以自己去百度,这里就简单介绍下。
zcs电路
电源是各类电子设备的重要组成部分,没有一部高质量的电源,难以保证电子设备的正常工作。由于高频开关电源在重量、体积和效率等方面是线性电源无可比拟的,因此在许多领域中得到广泛应用。BUCK型变换器是一种单开关非隔离变换器,其电路组成如图1-1所示,它由一个电子开关S,二极管D,电感L,电容C和一个基本负载R构成。如果让开关S周期性导通、关断,对输入电压进行斩波,在二极管的两端可以得到一连串方波电压VA,。经过串联电感滤波电路的滤波,在输出端就可以得到平稳的输出电压VO了。控制开关S开通和断开的比例,就可以控制输出电压VO的高低了。


零电流开关变换器也是通过增加辅助开关的办法在主电路中引入谐振元件实现的(图1-4)。不同的是串联的谐振电感在主电路开关通道上,而谐振电容是串联在辅开关管的通道上。

ZCS PWM 变换器工作过程

开关阶段1:t0-t1
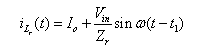
在此之前主开关和辅助开关都处于关断状态,负载电流由电感电流通过二极管D续流提供。当t0时刻主开关S导通,电压Vi加在谐振电感Lr上,由于存在电感Lr电流从零开始增加,故S是零电流开通。随着这个电流的增加,续流二极管的电流将逐渐下降,当续流二极管电流下降到零时,谐振电感电流也就是输入电流等于负载电流,该阶段完成。在这个阶段中,谐振电感电流为
(1.19)
持续时间为:
t01=LrIo/Vin (1.20)
开关阶段2:t1-t2
此阶段开始辅助开关上的反并联二极管导通,谐振电容和谐振电感开始谐振工作。谐振电容被充电到2倍的输入电压。在此期间,谐振电流经历了从负载电流值到最大值,然后重新又减小返回到负载电流值的过程。这个电流最大值与谐振特征阻抗Zr有关。此阶段谐振电流和谐振电容表达式为
(1.21)
(1.22)
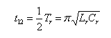
经历时间为半个谐振周期:
(1.23)
开关阶段3:t2-t3
所有开关保持原来状态,谐振电流等于负载电流不变,是呈现恒流特性的恒流阶段,这个阶段的长短可以根据占空比的变化而变化,是自由时间段。
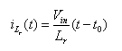
开关阶段4:t3-t4
在即将关断主开关之前,开通辅助开关Sa,既是这个阶段的开始。由于谐振电容的加入导致发生谐振。谐振电容通过谐振电感向输入电源放电导致谐振电感电流下降,负载电流中因谐振电感电流减少的部分由谐振电容的放电电流补充。此阶段的谐振电感电流和谐振电感的电压表达式为:
(1.24)
(1.25)
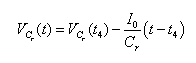
当谐振电感电流由正变负后主开关上的反并联二极管导通,此时主开关的电流为零,并且同时也给主开关提供了零电压关断条件。此时关断主开关既是零电流关断也是零电压关断。次阶段维持在谐振电感电流再次回到零之前。这个阶段结束时,谐振电容电压为:
(1.26)
另外,此阶段中电容放电电流时堵在电流与谐振电流之和。此阶段的维持时间为:
(1.27)
开关阶段5:t4-t5
这个阶段开始时谐振电容不应放电完毕,谐振电容谐振放电电流等于负载电流。此时,电容电压的变化规律为:
(1.28)
当电容电压等于零时,在负载电流作用下,续流二极管D1导通,给辅助开关创造了零电流关断条件(同时也是零电压)。
开关阶段6:t5-t0
在续流二极管导通之后,就进入了开关阶段6。在此之后任意时间里关断辅助开关都能实现零电流(同时也是零电压)关断。就是这个阶段的时间也是可也任意调节的,直到下一个工作周期主开关在此导通。
由上面的介绍可以看出,主开关和辅助开关都可以具有良好的开关条件,尤其是关断条件最为优越。
Multisim进行电路仿真

如图为ZCS-pwm buck简单电路的multisim仿真。

这里测得电压和电流得波形图可以看出在过0得时候电压和电流都为0,电路的开通和关断时电流和电压都为0,电压、电流重叠程度很小。
平均功耗低。


从图3-13中看出采用零电流软开关技术的BUCK变换器开关在开通、关断过程中消耗的平均功率为(3.9597+0.36)W,对比图3-12中BUCK变换器开关消耗平均功率5.9076W,可以知道采用软开关技术后,开关消耗功率大约减小了1/4。

ZCS-PWM BUCK变换器效率η=(102.8/115.9)×100%=88.7%
最后
以上就是不安大门最近收集整理的关于基于multisim的zcs电路仿真的全部内容,更多相关基于multisim内容请搜索靠谱客的其他文章。
发表评论 取消回复