今天来讲下柯西分布,它的概率密度函数如下(摘自百度百科):

当
x
0
x_0
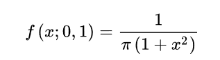
x0=0,
γ
gamma
γ=1,就得到了标准柯西分布:

柯西分布的均值、方差都不存在,真的是很神奇。我们使用numpy对它进行抽样,具体感受下。作为对比,我使用了标准正态分布。
import numpy as np
from matplotlib import pyplot as plt
cnt=1000 #抽样1000个样本点
x=np.random.standard_cauchy(cnt)
y=np.random.randn(cnt)
plt.figure()
plt.subplot(2,1,1)
plt.hist(x,100,density=True)
plt.legend(['Cauchy'])
plt.subplot(2,1,2)
plt.hist(y,100,density=True)
plt.legend(['Gauss'])
plt.show()
结果如下:

能够看出,柯西分布的取值范围非常广,很大的值也有一定概率取到,因而柯西分布也称为heavy-tail distribution。并且相比于gaussian,概率密度的最大取值只有0.1
25左右,就是x=0的那个地方。而高斯分布的取值就集中很多,0处的概率密度为0.6左右。
为了进一步验证柯西分布取值范围很大这一点,我们使用isolation forest检查一下它的异常点。
from sklearn.ensemble import IsolationForest
clf=IsolationForest(contamination=0.01,random_state=66)
#Cauchy
x=np.expand_dims(x,axis=1)
clf.fit(x)
x_pred = clf.predict(x)
#Gauss
y=np.expand_dims(y,axis=1)
clf.fit(y)
y_pred = clf.predict(y)
#打印异常点
print(x[x_pred==-1])
print(y[y_pred==-1])
柯西分布的异常点:
[[ 30.69826717]
[ 80.6436644 ]
[191.76900491]
[-33.12623108]
[ 48.05771579]
[-50.74298487]
[ 95.56422102]
[ 31.65199471]
[492.45628768]
[ 54.08139074]]
高斯分布的异常点:
[[ 2.86236466]
[-2.89916881]
[ 2.85901616]
[-3.17533096]
[ 2.69596821]
[-3.26238662]
[ 2.66074621]
[ 2.57826264]
[-3.30816191]
[ 2.73796603]]
所以,柯西分布的神奇之处就是取值分布非常宽广。这个神奇之处有什么用处呢,下回再跟大家聊~~
最后
以上就是务实小丸子最近收集整理的关于神奇的柯西分布的全部内容,更多相关神奇内容请搜索靠谱客的其他文章。
发表评论 取消回复