我是靠谱客的博主 多情白猫,这篇文章主要介绍高斯分布函数实现及绘图挑战:参考高斯分布公式,使用 Python 实现高斯分布函数。实现高斯分布函数之后,我们可以使用 Matplotlib 绘制出不同参数下的高斯分布图像。,现在分享给大家,希望可以做个参考。
挑战:参考高斯分布公式,使用 Python 实现高斯分布函数。
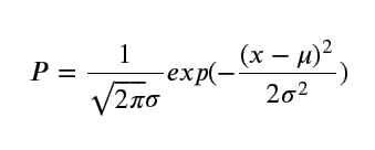
高斯分布公式

代码:
"""实现高斯分布函数
"""
import numpy as np
def Gaussian(x, u, d):
"""
参数:
x -- 变量
u -- 均值
d -- 标准差
返回:
p -- 高斯分布值
"""
### 代码开始 ### (≈ 3~5 行代码)
d_2 = d * d * 2
zhishu = -(np.square(x - u) / d_2)
exp = np.exp(zhishu)
pi = np.pi
xishu = 1 / (np.sqrt(2 * pi) * d)
p = xishu * exp
return p
### 代码结束 ###
运行测试
x = np.linspace(-5, 5, 100)
u=3.2
d=5.5
g = Gaussian(x, u, d)
len(g),g[10]
输出
(100, 0.030864654760573856)
实现高斯分布函数之后,我们可以使用 Matplotlib 绘制出不同参数下的高斯分布图像。
规定:
绘制 4 组高斯分布线形图像, ?μ 和 ?σ 分别为:(0, 1), (-1, 2), (1, 0.5), (0.5, 5)。
4 组高斯分布图像的线形颜色分别为红色、蓝色、绿色、黄色。
绘制图例,并以 ?=?u=σ 样式呈现。
代码:
from matplotlib import pyplot as plt
%matplotlib inline
#写了这个,就不需要plt.show()
### 代码开始 ### (≈ 5~10 行代码)
y_1 = Gaussian(x, 0, 1)
y_2 = Gaussian(x, -1, 2)
y_3 = Gaussian(x, 1, 0.5)
y_4 = Gaussian(x, 0.5, 5)
plt.figure(figsize=(8,5))#控制画布的大小
plt.plot(x, y_1, c='r', label="u=0, d=1")
plt.plot(x, y_2, c='b', label="u=-1, d=2")
plt.plot(x, y_3, c='g', label="u=1, d=0.5")
plt.plot(x, y_4, c='y', label="u=0.5, d=5")
plt.legend()
### 代码结束 ###

最后
以上就是多情白猫最近收集整理的关于高斯分布函数实现及绘图挑战:参考高斯分布公式,使用 Python 实现高斯分布函数。实现高斯分布函数之后,我们可以使用 Matplotlib 绘制出不同参数下的高斯分布图像。的全部内容,更多相关高斯分布函数实现及绘图挑战:参考高斯分布公式,使用内容请搜索靠谱客的其他文章。
本图文内容来源于网友提供,作为学习参考使用,或来自网络收集整理,版权属于原作者所有。
发表评论 取消回复