文章目录
一、名词概念
二、二极管门电路
三、CMOS门电路
一、名词概念
集成电路(Integrated Circuits,简称IC)
小规模集成电路(Small Scale Integration,简称SSI)
中规模集成电路(Medium Scale Integration,简称MSI)
大规模集成电路(Large Scale Integration,简称LSI)
超大规模集成电路(Very Large Scale Integration,简称VLSI)
二、二极管门电路
2.1 二极管与门电路
最简单的与门电路

上述电路逻辑电平与真值表

缺点:输出的高、低电平与输入的高、低电平数值不相等,差一个二极管的正向导通压降,如果把这个输出作为下一级门的输入信号,将发生信号高、低电平的偏移;另外,当输出端对地接上负载电阻,负载电阻的改变有时会影响输出的高电平。
![]()
以上的缺点可以回答这个问题。
2.2 二极管或门电路
最简单的二极管或门电路

上述电路逻辑电平与真值表

三、CMOS门电路
CMOS集成电路中,以金属-氧化物-半导体场效应晶体管(Metal-Oxide-Semiconductor Field-Effect Transistor,简称MOS管)作为开关器件。
3.1 MOS管的结构和工作原理
用P型衬底(图中B),制作两个高掺杂浓度的N型区,形成MOS管的源极S(Source)和漏极D(Drain),另外一个电极栅极G(Gain),通常用金属铝或多晶硅制作。

在D和S极上加上电压Vds,设置Vgs=0,D和S之间不导通,Id=0;
在D和S极上加上电压Vds,设置Vgs>Vgs(th),由于栅极和衬底之间的电场吸引,使衬底中的少数载流子-电子聚集到栅极下面的衬底表面,形成一个N型的反型层,这个反型层就构成了D和S之间的导电沟道,于是就有ID流通,这个Vgs(th)成为MOS管的开启电压。
随着Vgs的增大,导电沟道的截面积增大,所以Id会增大,也就是可以通过Vgs控制Id的大小。
为防止有电流从衬底流到S极和导电沟道,一般将衬底和源极接在一起,或者接到系统最低电位上。
3.2 MOS管的输入输出特性
如下是MOS管的共源接法,GS作为输入,DS作为输出。

右边的图称为MOS的输出特性曲线,也叫MOS管的漏极特性曲线,有三个工作区域,截止区,可变电阻区,恒流区。
1、截止区,Vgs<Vgs(th)时,D和S之间没有导电沟道,Id=0,DS之间的内阻非常大,可达Ω以上,曲线上Vgs<Vgs(th)的区域称为截止区。
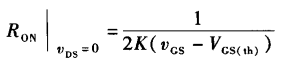
2、当Vgs>Vgs(th)后,D和S之间出现导电沟道,有ID产生,可以分为两个区,一个是可变电阻区,见上图虚线左边区域,在这个区域内,当Vgs一定时,ID和Vds之比近似等于一个常数,类似于线性电阻。等效电阻的大小和Vgs的大小有关,当Vds≈0时,ID和Vgs有如下的关系:
这个公式表面,Vgs>>Vgs(th)时,Ron近似于Vgs成反比。
3、在虚线的右边,叫作恒流区。恒流区的ID由Vgs决定,Vds变化对ID影响很小。此时ID和Vgs有如下的关系:
其中IDS是Vgs=2Vgs(th)时ID的值,这个公式表明,Vgs>>Vgs(th)时,ID与Vgs的平方成正比。
表明ID与Vgs关系的曲线叫MOS管的转移特性曲线。

3.3 MOS管的基本开关电路

当Vi<Vgs(th)时,MOS管工作在截止区, 负载电阻RD远远小于MOS管的截止内阻Roff,输出端即为高电平Voh,Voh≈VDD;
当Vi>Vgs(th)并且Vds在较高的情况下,MOS管工作在恒流区,随着Vi增加,ID增加,Vo减小,这时候电路工作在放大状态。
随着Vi的继续增大,MOS管的导通电阻Ron变的很小(一般在1KΩ以内,小的可以到mΩ级别),RD>>Ron时,输出端为低电平Vol,Vol≈0。
![]()
在MOS管关闭状态,即Vi<Vgs(th)时,MOS管截止内阻Roff需要足够大,Roff>>RD;
在MOS管开启状态,一个是Vi>>Vgs(th)(Vi不能超过MOS管Vgs最大值),MOS管的导通内阻Ron足够小,Ron≪RD;
3.4 MOS管的开关等效电路

3.5 MOS管的4种类型
NMOS和PMOS管各有增强型和耗尽型,所以共有4种类型。目前在电子产品中,使用最多的是增强型NMOS,其次是增强型PMOS,耗尽型几乎不用。
对于耗尽型NMOS管,Vgs=0时,D和S之间就有导电沟道,Vgs为正时,导电沟道变宽,ID增大;Vgs为负时,导电沟道变窄,ID减小,当Vgs小于某一个负电压值Vgs(off)时,导电沟道才消失,MOS管截止关闭。Vgs(off)称为耗尽型NMOS管的夹断电压。
对于耗尽型PMOS,Vgs=0时,D和S之间就有导电沟道,Vgs为负时,导电沟道变宽,ID增大;Vgs为正时,导电沟道变窄,ID变小,当Vgs的正电压大于夹断电压Vgs(off)时,导电沟道消失,MOS管截止。
综上,一般开启电压是对增强型NMOS和增强型PMOS来说的,夹断电压是针对耗尽型NMOS和耗尽型PMOS来说的。

最后
以上就是优雅皮卡丘最近收集整理的关于数字电路(2)门电路(一)的全部内容,更多相关数字电路(2)门电路(一)内容请搜索靠谱客的其他文章。
发表评论 取消回复