本次讨论取材于中南大学《科学计算与matlab语言》内容为常微分方程数值解法
- 常微分方程数值求解的一般概念
- 常微分方程数值求解函数
- 刚性问题
常微分方程数值求解的一般概念
求解常微分方程初值问题就是寻找函数y(t)使之满足如下方程:

所谓其数值解法,就是求y(t)在离散结点t0处的函数近似值y0的方法
- 单步法:在计算Yn+1时只用到前一步的Yn,因此在有了初值之后就可以逐步往下计算,其代表是龙格–库塔(Runge-Kutta)法.
- 多步法:在计算Yn+1时,除了用到前一步的值Yn之外,还要用到Yn-p(p=1,2,…,k,k>0)的值,即前面的k步,其代表就是亚当斯(Adams)法。
常微分方程的求解函数
函数调用格式为:
[t,y]=solver(filename,tspan,y0,option)
其中,t和y分别给出时间向量和相应的数值解;solver为求常微分方程数值解的函数;filename是定义f(t,y)的函数名,该函数必须返回一个列向量;tspan形式为[t0,tf],表示求解区间;y0是初始状态向量;Option是可选参数,用于设置求解属性.
常微分方程数值求解函数的统一命名格式:
odennxx
其中ode是Ordinary Differential Equation的缩写,是常微分方程的意思;nn是数字,代表所用方法的阶数;xx是字母,用于标注方法的专门特征。

>> f=@(t,y) (y^2-t-2)/4/(t+1);
>> [t,y]=ode23(f,[0,10],2);
>> y1=sqrt(t+1)+1;
>> plot(t,y,'b:',t,y1,'r');
>>

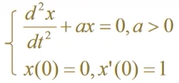
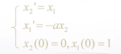
例2 已知一个二阶线性系统的微分方程为:

取a=2,绘制系统的时间响应曲线和相平面图。
令x2=x,x1=x’,则得到系统的状态方程:

f=@(t,x) [-2,0;0,1]*[x(2);x(1)];
[t,x]=ode45(f,[0,20],[1,0]);
subplot(2,2,1);plot(t,x(:,2));
subplot(2,2,2);plot(x(:,2),x(:,1));

刚性问题
有一类常微分方程,其解的分量有的变化很快,有的变化很慢,且相差悬殊,这就是所谓的刚性问题(Stiff)
例3 假如点燃一个火柴,火焰球迅速增大直至某个临界体积,然后,维持这一体积不变,其原因是火焰球内部燃烧耗费的氧气和从球表面所或氧气达到平衡。

主要观看λ值得大小,是否会真正影响问题模型!
>> lamda=0.01;
>> f=@(t,y) y^2-y^3;
>> tic;[t,y]=ode45(f,[0,2/lamda],lamda);toc
Elapsed time is 0.034000 seconds.
>> disp(['ode45计算的点数' num2str(length(t))]);
ode45计算的点数157
>>
时间已过0.034000秒
ode45计算的点数157
>> lamda=1e-5;
>> f=@(t,y) y^2-y^3;
>> tic;[t,y]=ode45(f,[0,2/lamda],lamda);toc
Elapsed time is 5.690000 seconds.
>> disp(['ode45计算的点数' num2str(length(t))]);
ode45计算的点数120565
>>
不同的λ值,式子所用的秒数不同,问题瞬间变成刚性,直接换用ode15s,再去计算!直接秒出答案!
>> tic;[t,y]=ode15s(f,[0,2/lamda],lamda);toc
Elapsed time is 0.348000 seconds.
>> disp(['ode15s计算的点数' num2str(length(t))]);
ode15s计算的点数98
>>


>> f=@(t,x) [-8/3*x(1)+x(2)*x(3);-10*x(2)+10*x(3);-x(2)*x(1)+28*x(2)-x(3)];
>> [t,x]=ode45(f,[0,50],[0,0,10^(-10)]);
>> plot(t,x)
最后
以上就是害怕薯片最近收集整理的关于[MATLAB]常微分方程数值求解(ode45 ode15s ode23 solver)的全部内容,更多相关[MATLAB]常微分方程数值求解(ode45内容请搜索靠谱客的其他文章。
本图文内容来源于网友提供,作为学习参考使用,或来自网络收集整理,版权属于原作者所有。
发表评论 取消回复