数字电路基础知识——数字逻辑代数(逻辑代数公式、卡洛图的运用、Q-M法化简(列表法))
本节主要介绍逻辑代数的公式、及逻辑函数的化简、包括公式法化简、卡洛图化简、Q-M列表法化简。重点需要知道前面两种的方法,第三种可以了解,能够帮助自己更深的了解逻辑相邻项的理解
一、逻辑代数的三个基本运算
逻辑代数中最基本的三个运算:与、或、非
基本的函数关系如下:

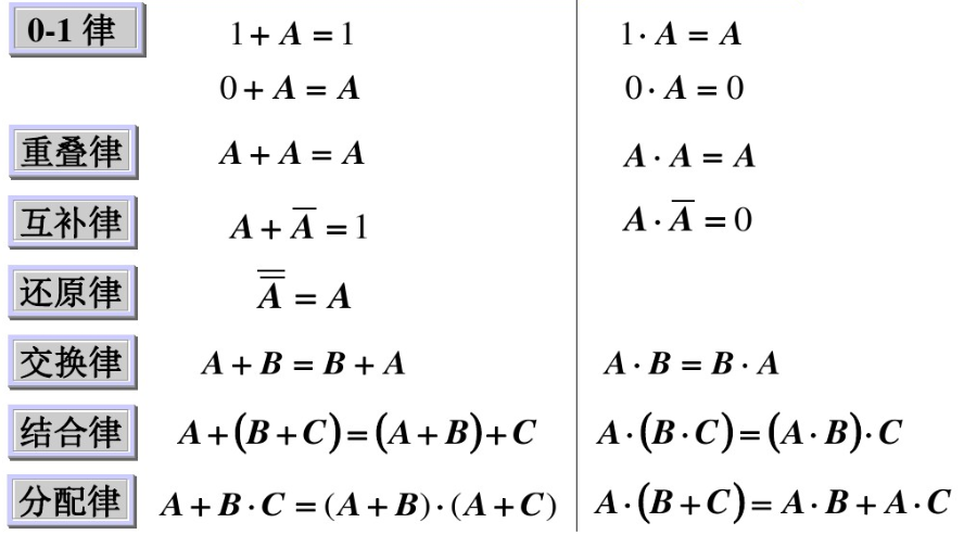
二、逻辑代数的基本定律
1. 基本公式


比较重要的是后面三个定律:
- 反演律(德摩根律)
使用此定律可以将乘积项或和项打开。
具体规则是 × 变+,+变×;原变量变反变量,反变量变原变量 - 吸收律
重点知道这个:A+A’B=A+B、A+AB=A、A(A+B)=A
A+A’B
=A+AB+A’B
=A+B(A+A’)
=A+B - 冗余律
AB+A’C+BC=AB+A’C
AB+A’C+BC
=AB+A’C+(A+A’)BC
=AB+A’C+ABC+A’BC
=AB+ABC+A’C+A’BC
=AB(1+C)+A’C(1+B)
=AB+A’C
2. 基本定理
-
代入定理
任何一个逻辑式代入原来式中所有的相同变量的位置,等式仍然成立。 -
反演定理
-
对偶定理
若两逻辑等式相等,则他们的对偶式也相等
对偶定理主要在某些情况下,证明某式成立时,可以通过证明其对偶式成立来简化证明。
如:
Y=A(B+C),则YD=A+BC
Y=(AB+CD)’,则YD=((A+B)(C+D))’
Y=AB+(C+D)’,则YD=(A+B)(CD)’

三、逻辑函数的两种标准式
-
最小项
n个变量的最小项是含n个变量的与项,其中每个变量都是以原变量或反变量的形式出现一次。
通常用mi表示各项。


如:对于下面的逻辑表达式:

-
最大项
n个变量的最大项是含n个变量的或项,其中每个变量都是以原变量或反变量的形式出现一次。
通常用Mi表示各项。 -
最大项和最小项的性质:
n变量的全部最小项之和恒为1,全部最大项之积恒为0.
任意两个最小项之积恒为0,任意两个最大项之和恒为1.
n变量的每一个最小项或者最大项有n个相邻项(相邻项是指两个最小项只有一个因子互为反变量,其余因子均相同,又称逻辑相邻项)
四、逻辑函数的卡洛图化简
公式法化简逻辑函数其实就是用上面的公式来化简。
主要介绍一下卡洛图化简。
- 相邻项
首先需要知道相邻项的概念,即两个最小项只有一个因子互为反变量,其余因子均相同,又称逻辑相邻项 - 卡洛图
把任意两个逻辑上相邻的最小项变为几何中的相邻,做到逻辑相邻和几何相邻
2变量卡洛图:由代表四个最小项的四个方格组成:

三变量卡洛图由8个最小项组成,需要注意的是最小项编码和格雷码的编码类似,即相邻位置或者首尾是逻辑相邻。:

四变量如下(一般卡洛图的化简至多四-五个变量):

- 逻辑函数在卡洛图的表示

如:

- 卡洛图最小项合并规则
任何两个为一的相邻最小项可以合并为一项,并消去一个变量(消去的是互为反变量的因子,保留公因子)

任何四个为一的相邻最小项(可以是循环相邻)可以合并为一项,并消去两个变量


- 图形法化简的基本步骤
第一、将函数化为最小项之和的形式,然后做函数的卡洛图,确定卡洛图方格矩阵
第二、画卡洛圈(要遵循卡洛圈最少,最大的原则)
第三、写逻辑表达式(相同变量留下,不同变量去掉)
五、Q-M法化简逻辑函数(奎恩-麦克拉斯基),也叫列表化简法
卡洛图法化简虽然比较直观,简单,但是也有自身的缺点,如当逻辑变量大于五个之后,会变得很困难。
而公式法化简虽然虽然不受变量数量的影响,但是化简过程并没有固定、通用的步骤。所以也很难借助计算机辅助进行化简。
本节介绍一下Q-M法化简,本质上也是通过相邻最小项消去多余因子,来求逻辑函数的

先将函数表达式用最小项之和的形式表示:
如下面的函数表达式:
- Y=Σm(0,3,4,5,6,7,8,10,11)
- 将其按照一个个数一次排列分组,如下:

- 合并相邻的最小项
即将上表中每一组的每一个最小项与相邻组所有的最小项逐一比较,若仅有一个因子不同,则可以合并,并消去不同的因子。如下,例如罪域m0和m4仅尤一位不一样,所以这一位可以合并为0-00,同时将上表中可以合并的用“对号”表示,不能合并的用Pi表示。
按照同样的方法,可以在次合并下面左边的一列,可以合并的用“对号”表示,不能合并的用Pi表示。

因此经过以上的并向合并,留下了没有合并过的最小项Pi,所以就包含了函数Y的全部最小项,因此,可以表示为:
Y=P1+P2+P3+P4+P5+P6+P7
需要注意的是上面的表达式并不一定是最简结果,将所有Pi列成如下表格。

上表格中的m5、m6、m8都是只在Pi中只出现了一次所以最小项一定包含P1和P4,所以选取了这两项之后,以及包含了m4、m5、m6、m7、m8、m10这六个,除去之后剩下的m0、m3、m11如下表所示:
| mi | 0 | 3 | 11 |
|---|---|---|---|
| P2 | × | ||
| P3 | × | ||
| P5 | × | ||
| P6 | × | × | |
| P7 | × |
现在就是化简上面的结果了,因为P2和P3都有m0,因此可以去任何一项作为最简项。
对于P5、P6、P7,由于P5和P7行的所有项均包含在P6中,因此P6包含了P5、P7的所有最小项,故将P5、P7删掉。因此最终的结果是:
Y=P1+P4+P3+P6
最后
以上就是发嗲保温杯最近收集整理的关于数字电路基础知识——数字逻辑代数(逻辑代数基本定理及常用公式,最大项、最小项,公式法、卡洛图法及Q-M法化简(列表法)化简逻辑函数)的全部内容,更多相关数字电路基础知识——数字逻辑代数(逻辑代数基本定理及常用公式内容请搜索靠谱客的其他文章。
发表评论 取消回复