在对某简单交流电力系统进行建模时,考虑电感的电流动态,可以得到如下所示的电压电流关系方程

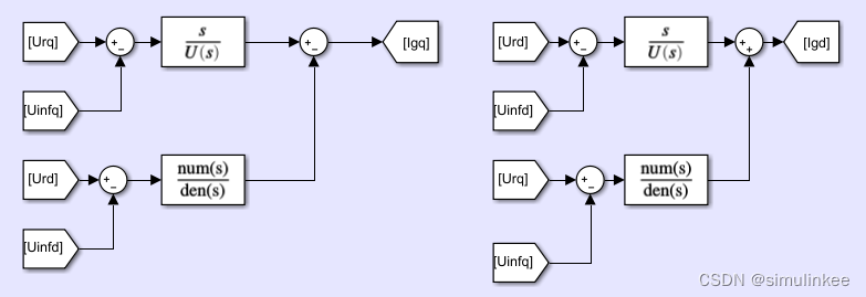
可以使用开环传递函数和闭环传递函数两种关系来表示上图所示的方程,如下二图所示
通过Linear Analysis可发现,使用框图1的模型比使用框图2的模型多出了6个状态变量,出现了实部非常小的特征根;但二者的时域仿真波形一致。
个人分析认为是计算机在处理含小数的部分时(如框图一中传递函数的分母)会由于保留位数的限制致使计算中使用的数据与本人输入的数据不完全相符(如输入无理数时)。此时在系统中经运算后会出现一些原本应为0而实际未被消去的量,从而被判定为状态变量。同时,在框图二中,并不存在有传递函数的分母为含常数项的多项式的问题,但是在解方程求开环传递函数的过程中,由于所求项前带系数,当两边同时除以该项时,就会导致新的形式的分母,并且很容易看出其对应的特征根的频率,这一点应当较容易理解。
最后
以上就是俊逸西装最近收集整理的关于Simulink建模状态变量数量问题的全部内容,更多相关Simulink建模状态变量数量问题内容请搜索靠谱客的其他文章。
本图文内容来源于网友提供,作为学习参考使用,或来自网络收集整理,版权属于原作者所有。
发表评论 取消回复