Simulink模块库介绍(二)——连续离散模块
- 连续模块
- Integrator模块
- Transfer Fcn模块
- Transport Delay模块
- Zeros-Pole模块
- State-Space模块
- 离散模块
- Discrete Transfer Fcn 模块
- unit Delay 模块
- memory 模块
- zero-Order Hold 模块
连续模块
Integrator模块
模块属性如下:

1、external reset:设置信号的触发事件
2、Initial condition source:表示参数输入的状态
3、Initial condition:状态的初始条件
4、Limit output:选中,则可设置上下限
5、Upper saturation limit:积分上界
6、Lower saturation limit:积分下界
7、show saturation port:选中,则表示模块增加一个饱和输出端口
8、show state port:选中,则表示模块增加一个输出端口
9、Absolute tolerance:模块状态绝对容限
10、Ignore limit and reset when linearizing:勾选,系统为线性系统时,积分上下限和触发事件无效
11、Enable zero-crossing detection:系统过零检验

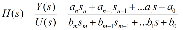
Transfer Fcn模块
Transfer Fcn用于表征传递函数,具体传递函数形式如下:

Y(s)为系统输出
U(s)为系统输入
对于一个收敛性系统而言,分母中s的最高次幂大于分子中s的最高次幂
1、Numerator coefficients:分子系数
2、Denominator coefficients:分母系数
3、Absolute tolerance:绝对容限

Transport Delay模块
Transport Delay 模块用于延时系统的输入,延时时间可由用户自定义,仿真中,模块输入点和仿真时间存储于缓冲器内,有Initial buffer参数指定

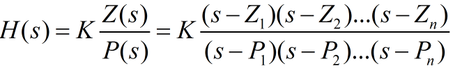
Zeros-Pole模块
Zeros-Pole模块表征一个以Laplace算子s为变量的零点、极点和增益的系统。如下:


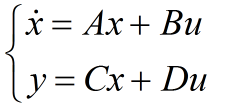
State-Space模块
State-Space模块用于表征一个控制系统的状态空间,状态空间表达式如下:

假设一个有p个输入、q个输出及n个状态变数的线性系统
x:状态矢量
y:输出矢量
u:输入矢量
A:状态矩阵,nxn矩阵
B:输入矩阵,nxp矩阵
C:输出矩阵,qxn矩阵
D:前馈矩阵,qxp矩阵
离散模块
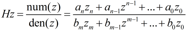
Discrete Transfer Fcn 模块
对于Discrete Transfer Fcn模块,通常有拉普拉斯变换后,得到相应的传递函数,再经过Z变换,得到离散系统传递函数,具体如下:



unit Delay 模块
unit Delay 模块将输入延迟,并保持在同一个采样周期里

memory 模块
memory 模块将前一个集成步的输入作为输出,相当于一个集成步内的输入进行采样保持。

zero-Order Hold 模块
zero-Order Hold 模块实现一个以指定采样率的采样与保持函数操作

最后
以上就是贤惠泥猴桃最近收集整理的关于Simulink模块库介绍(二)——连续离散模块连续模块离散模块的全部内容,更多相关Simulink模块库介绍(二)——连续离散模块连续模块离散模块内容请搜索靠谱客的其他文章。
发表评论 取消回复