几种概率:


目录
一:信道的基本概念
信道的分类
信道的数学模型
单符号离散信源
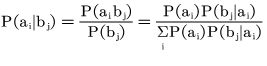
信道疑义度
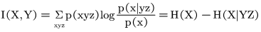
平均互信息的物理意义
条件互信息
二:信道容量及其计算
1:特殊信道
2:离散对称信道的信道容量
对称离散信道的性质
准对称信道
对称信道的通解
3:一般信道容量的求解
一:信道的基本概念
信道的分类

注:对模拟信道(波形信道)进行采样就可以得到:连续信道


信道的数学模型

具体信道:


单符号离散信源

信道疑义度

习题:计算互信息
平均互信息的物理意义
1:![]()
H(X|Y):信道疑义度/损失熵/后验熵,收到输出后对输入仍存在的不确定性
H(X):X的先验不确定性/先验熵/无条件熵
I(X,Y):从Y中获得的X的信息量,x不确定性的减少量
2:![]()
H(Y|X):噪声熵,发出x之后,对y存在的平均不确定度 ,噪声引起的(已知输入对输出的不确定)
:3:![]()
I(X,Y):输出前后的不确定性的减少量。
H(X)+H(Y):输入前X和Y视为相互独立的随机变量,系统的先验熵是两者之和。
H(XY):X和Y实际输出过程中,信道的作用使两者的关联。

习题:平均互信息计算
条件互信息
1:联合互信息量![]()
2:平均联合互信息![]()
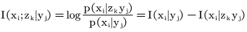
3:条件互信息
给定y求x和z的互信息![]()

4:平均条件互信息![]()

二:信道容量及其计算
信息传输率: R=I(X,Y)
物理意义:接收Y后平均每个符号获得的关于X的信息量=平均每个符号发送的信息量
信道容量:在最佳输入分布(信道容量达最大值时的输入分布)时,最大信息传输率的值。
信道容量与输入分布无关,是个值,只是这个值会在最佳输入分部时取得。
1:特殊信道

特点:输出只能来源一个输入,已知输出后输入没有不确定了(H(X|Y)=0)。

2:离散对称信道的信道容量
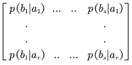
离散对称信道
若一个离散无记忆信道的信道矩阵中,每一行或每一列都由其他行或其他列同一组元素的不同排列,则称此信道为:离散对称信道。
识别时:行------第一行{}的置换;列-----第一列{
}的置换。
s种输入,r种输出。
强对称信道:(均匀信道)

正确输出p补全部在对角线上。
对称离散信道的性质
1:H(Y|X)=(s种输出,P的某一行的s种符号组成的熵)

2:当P(X)等概输入,输出也是等概分布。(输入等概,输出等概)![]()
发现:每个p(y)值相等
由1和2去求信道容量C![]()
对于均匀信道的C:
BSC:二元对称信道 r=2 C=log2-H(P).
离散对称信道习题
准对称信道
求解公式:

准对称信道:划分的子集都是对称信道,子集两两不相交,并起来为:信道矩阵

对称信道的通解
原理:达到信道容量对应的最佳输入分布是等概分布。直接利用等概分布去求。
C=H(Y)-H(Y|X)

3:一般信道容量的求解
信道容量求解的本质:多元函数在约束条件下求极值问题。
约束条件:,输入和输出符号是多个体现了:多元。
一般采用拉格朗日乘子法:
TH:

解释:![]()
如果每一个概率不为0的输入符号与输出符号集合的互信息相同,且概率为0的输入符号与输出符号集合的互信息小于上述不为0的,那么这种概率分布就是最佳输入分布,从而I(X,Y)达到最大值。
最后
以上就是听话台灯最近收集整理的关于信道容量2的全部内容,更多相关信道容量2内容请搜索靠谱客的其他文章。



发表评论 取消回复