目录
1.非负性
2.确定性
3.对称性
4.香农辅助定理
5.最大熵定理(极值性)
6.条件熵小于无条件熵
7.拓展性
8.可加性
9.递增性
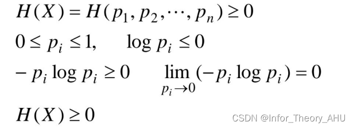
1.非负性
当且仅当pi=1时,H(x)=0
离散信源的熵具有非负性,连续信源的熵则不具有此特性
2.确定性
在概率空间中,如果有一个事件概率为1为必然事件,则其余的事件为不可能事件,因此整个空间唯一确定,不存在不肯定性,熵必然为0
3.对称性
熵函数所有的变元可以互换而不影响函数值
该性质说明:熵只与随机变量(信源)的总体统计特性有关。如果某些信源的统计特性相同,也就是含有的符号数和概率分布相同,那么这些信源的熵就相同。
4.香农辅助定理

证明香农辅助定理相当于证明相对熵的非负性,因此借鉴刘仲文等同学的证明
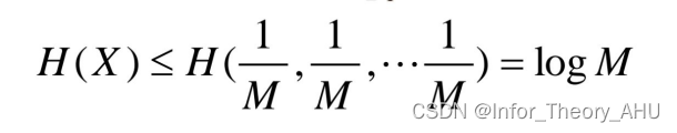
5.最大熵定理(极值性)
离散无记忆信源输出M个不同信息符号,当且仅当各个符号出现概率相等时熵最大。


因为当出现各个符号的可能性相同时,不确定性最大。
6.条件熵小于无条件熵

当且仅当x和y相互独立时等号成立
并且可推广,两个条件下的条件熵小于一个条件下的条件熵。
7.拓展性
若集合X有n个事件,集合X’有n+1个事件,如果相差的事件的概率为任意小正数,则
从总体考虑,当一个事件的概率极小时,它在熵的计算中占比很小,对整体的熵的贡献值可以忽略不计,这也是熵的总体平均性的体现。
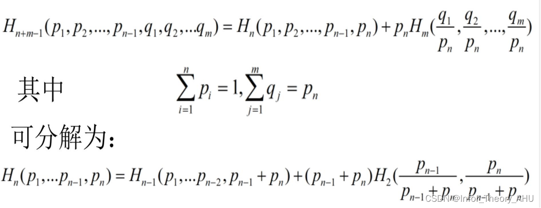
8.可加性


9.递增性
若原信源X中有一元素划分成m个元素(符号),而这m个元素的概率之和等于原元素的概率,且新的信源的熵会增加。
熵增加了的一项是由于划分而产生的不确定性。
总结:
- 我们小组同学通过CSDN平台,接触这个平台并学会了如何去寻找其他人所发布的消息与信息,通过此次大作业的学习,掌握了如何在CSDN平台上与其他人一起交流想法思路,对我们自己的学习成长有着很大的帮助。
- 通过此次对离散信源的熵的性质的简要介绍和证明,我们对离散信源的熵的性质更加熟悉,知其然也知其所以然,对我们以后的学习有了更好的帮助。
- 此次大作业是我们小组成员共同完成,经过讨论与准备将材料完善,锻炼了我们的团队合作能力与沟通,对我们以后的人际交流也会有极大的帮助与提升。
最后
以上就是失眠书本最近收集整理的关于2020级李海扬、程志豪、杨本豪、周海涛——离散信源的熵的性质的简要介绍和证明的全部内容,更多相关2020级李海扬、程志豪、杨本豪、周海涛——离散信源内容请搜索靠谱客的其他文章。
本图文内容来源于网友提供,作为学习参考使用,或来自网络收集整理,版权属于原作者所有。
发表评论 取消回复