GPS接收机RSSI显示是信噪比还是载噪比?
Original 思博伦售后团队 思博伦技术中心 2020-03-16
GPS技术已经成为我们生活中不可或缺的一部分,想象以下场景:到一个陌生的城市手机打开地图导航便可从容应对,随手掏出手机使用网约车软件指引司机师傅到指定位置,或是饥肠辘辘焦急的点一份外卖不断刷新外卖骑手的实时位置,这些场景都是GPS技术给我们是生活带来便利。
上述这些APP中主要使用GPS定位当前用户所在位置, 但是软件中无法显示实际接收到的GPS 卫星数量,信号强度,定位精度等。 作为GPS 射频研发工程师,我们常常会使用类似GPS TEST Plus 等软件用于测试当前接收机所收的GPS(严格来说应该是GNSS ,GPS只是几个卫星导航系统中的一个,还有GLONASS, Galileo,以及我国的北斗BD卫星导航系统。但考虑到大众一提卫星导航就是GPS,所以文中都以GPS作为GNSS代表)信号。该软件中最直观的便是各颗卫星的接受信号强度指示RSSI 值(Received Signal Strength Indication),软件中对于信号强度条的值描述是SNR(Signal to noise ratio),字面意思是信噪比,且大多数射频工程师都说成是信噪比, 但是实际显示的真的是接收到的卫星信号的信噪比吗? 接下来,我们将对这个话题展开讨论。

图1,GPS Test Plus界面
1, GPS 卫星发射信号到达地面的理论信号强度是多少?
我们首先查阅到GPS系统维护美国政府网站www.gps.gov/technical/icwg/ 内,GPS技术接口控制规范文档IS-GPS-200得到如下答案。GPS 信号采用码分多址CDMA技术,BPSK调制方法,右旋圆极化方式通过位于离水平面高度20200km的卫星发射到达地面的最小功率值为-158.5~-160 dBW = -128.5~ -130 dBm (dBW到dBmW的转换大家可以自行练习)

图2,IS-GPS-200文档截图
其实这个功率值我们可以通过理论大致计算出来,我们来介绍一下天线理论中的中重要公式,Friis Transmission Equation。描述了电磁波在自由空间传播过程中的信号传播衰减情况。

图3,电磁波在自由空间传播示意图

• Pt是发射机的功率,Pr是接收机处的功率,
• Gt是发射机的天线增益,Gr是接收机的天线增益,
• λ是信号波长
• D是接收机与发射机之间的距离
其实式子中R平方成反比在很多物理方程里我们都见过,比如万有引力公式,电子间的库仑力。这是因为我们生活在一个各向同性的三维空间里,假设从一个点出发向外辐射光芒,根据能量守恒,它的能量必然会按距离平方反比衰减,均匀的在三维空间弥散形成一个球体,这便是会用到球体表面积公式,要是我们处在一个四维空间呢? 这属于世界未解之谜,我们这里就不展开讨论了。
同时这里需要强调Firrs 方程是一个简化的理想模型,它忽略了GPS信号传输过程中的大气层衰减,电离层延迟,对流层延迟,多路径效应以及接收机本身天线到Base Band 的Path Loss,SAW ,LNA等引入的噪声。
依据GPS系统设计,卫星发射L1 C/A 功率约为27W, 卫星平均高度是20200Km,卫星天线采用螺旋天线阵列,天线增益浮动在10~17dBi,此举是为了确保在卫星的信号覆盖范围内,处于不同地理位置的接收机能得到基本相同的标称功率信号-128.5dBm。卫星采用太阳能电池板供电,有时还会进入地球遮挡的黑夜区域所以能量有限。为了是使卫星天线具有高增益,采用的天线称为轴向模螺旋天线,这种天线沿其对称轴有最大的辐射方向,辐射产生出来的信号接近圆极化波,天线还具有输入阻抗呈纯电阻性,较宽的工作带宽。通过以上数据便可算出GPS卫星发射的等效全向辐射功率EIRP(Equivalent IsotropicallyRadiated Power)约为:26.6dBW

图4,Russian_Glonass_K1_at_CeBIT_2011

图5,GPS信号产生示意图
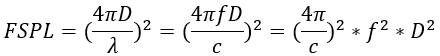
地面接收到的GPS卫星信号强度还可以使用Firrs Transmission Equation 推导出大家常见的信号衰减方程更为简洁:
自由空间的传播损耗FSPL(Free Space Path Loss)定义为:

当取Gr=Gt=1时,传播损耗可以写成:

写成分贝dB形式:

L1 C/A频率为1572.42MHz,信号在经过20200Km距离后的信号衰减182dB, 卫星发射的卫星发射的EIRP 约26.6dBW, 减去衰减值得26.6-182=-155.4dBW,再加上5dB余量最后得到卫星信号到达地面的数值为-160dBW即为 -130dBm。
接下来我们需要讨论下信号和噪声的关系
- 信噪比SNR,载噪比C/N, 载波噪声密度C/N0
1)我们来回忆一下信噪比(Signal to Noise Ratio)公式定义:

指的是基带中有用的信号功率与噪声功率之比,有用的信号一般是调制到载波前(pre-modulation)或解调后(post-detection)。单位dB, 其中S为信号功率,N为噪声功率,它们的单位可以是普通的功率单位W,mW等。注意有些书对于log 的底数没写上10,或写成lg,但作为通信行业大家约定俗成的遇到取对数时都是以10为底的。如果是分贝dB单位如dBW,dBm是可以直接相减:


图6,时域上有用信号与噪声信号示意

图7,频域上SNR示意
2)载噪比C/N(Carrier to Noise ratio)

指的是在解调前的射频信号载波(Carrier)功率与噪声功率的比值。单位也是dB。SNR与CNR 前者反映基带信号质量,而后者是反映射频信号质量。实际情况中CNR往往大于SNR,因为信号在解调过程中会额外引入噪声,恶化信噪比SNR。

图8,载噪比示意图
3)功率谱密度(Power Spectral Density)和热噪声(Thermal Noise)
根据噪声产生的机理,大致可以分为五大类:热噪声(Thermal Noise),散粒噪声(Shot Noise),闪烁噪声(Flicker Noise),等离子体噪声(Plasma Noise),量子噪声(Quantum Noise)。
当然我们这里也只讨论热噪声问题,热噪声是最基本的一种噪声,可以说是无处不在的。功率谱密度简称PSD,表示单位频带内的功率dBm/Hz。所表现的是单位频带内信号功率随频率的变换情况。热噪声的功率是温度和噪声带宽的函数。噪声的功率谱密度为: kT
式子中k 为玻尔兹曼常数,T为开尔文绝对温度单位K。为了方便计算我们把室温取16.85℃使得T=290°K

Image
这是噪声功率谱密度的焦耳表达式,焦耳是能量的单位。因为1J=1W*S,S是秒。我们便可以用W/Hz来表示功率谱密度的单位。环境热噪声功率谱密度为:

基于此公式我们可以计算出GPS信号的底噪功率(热噪声功率)Pn:

式子中B是GPS信号频率带宽为2.046MHz,取对数值即63dB, 由于是分贝值,相乘即直接相加。这里我们可以注意到GPS信号-130dBm低于其频率带宽的热噪声,我们是不可能用频谱分析仪直接测出室外环境的GPS信号频谱,所以我们常说GPS信号是隐藏在噪声之下。作为市场上专业领先的GNSS测试仪器公司,思博伦公司的GNSS设备GSS7000可控地精确输出功率范围-115dBm~-170dBm,专为小信号测试设计,输出射频功率分辨率0.1dB,测试灵敏度更准确。

图9, GPS信号与其他信号强度对比
上图其实还可以看出射频工程师们使用dBm作为功率单位是多么方便,不然 -130dBm=0.00000…001 W(15个零在中间), 手写到抖,还容易错。
GPS信号属于弱信号,当集成到多射频系统,如手机时(4G,WiFi,BT功率都远高于GPS),射频通道过程中的任意一级引入的干扰都将极大的影响整个系统。因此GPS射频线路要特别注意设计抗干扰和地隔离。
4)载波噪声密度C/N0(Carrier to Noise Density)
载波噪声密度定义为载波功率除以噪声功率谱密度。下面我们计算室温为16.85℃下的GPS信号C/N0:

公式中上下单位都是dB scale的,所以其实是直接相减。之所以公式都带上单位,是为了让大家深刻明白C/N0最后的单位是dB-Hz与载噪比C/N的单位dB其实不一样。通过如下C/N0与SNR的关系我们可以求出GPS信号到达地面的信噪比SNR:

或者另外一个简单一点的dB scale公式:
C/N0=C-(N-BW) = C-N0 = SNR+BW
公式中的BW这里取GPS接收机的前端滤波器带宽BW=4MHz=10*log (4000000) = 66dB。L1 C/A码对于接收机的典型值如下:
C/N0:37 to 45 dB-Hz 则可以得出 SNR :-29dB to -21dB
其实到这里大家如果使用GPS TEST Plus软件在室外Live测试比较多的的话,便有这样的体会只要收星信号强度值有4颗在37以上便可以定位,从公式也能看出C/N0越好说明信噪比SNR越好。说到这里大家是不是可以隐约发现软件界面显示的并不是SNR而是C/N0。
5)从整个射频链路系统来看C/N0
上面计算到都是不考虑接收机性能好坏的理想条件下,相当于是说GPS卫星能到达地面的信号质量理论算得也就是这么多了,用户能在接收机上看到的C/N0值不同只取决于他使用的GPS接收机设备的性能。打铁还需自身硬,外部的条件都给了,用户接收机究竟能显示C/N0值有多少就看接收机自身了。所以我们加入GPS接收机全局地看整个系统:

• Pr是接收机处的GPS信号功率
• Gr 是接收机天线增益
• Nt是前面提到的噪声功率谱密度
• Nf是接收机噪声系数
• LBB为基带Base Band 内的转换损耗
从这个公式可以看出,不考虑天线增益的情况下,接收机的主板的射频性能C/N0主要取决于后两项。很多用户软件界面显示的就是C/N0(dB-Hz) 值或是其修正值,公式的后两项噪声系数NF与Base Band 的损耗也正是衡量一个接收机优劣的重要指标。举个例子:
对一款GPS接收机,从其天线Connector传导输入-130dBm的信号,此时天线增益贡献算0dBi,假设系统的噪声系数NF=4dB, LBB=2dB. 带入公式:
C/N0=-130+0-(-174)-4-2=38 dB-Hz
此时有些接收机软件界面会直接显示信号强度条为38dB-Hz。
对于测试来说采用RF cable传导将会极大的提高测试的可靠性与可重复性。如果使用辐射的方式,不同产品的接收天线位置,形状,材质,表面处理,增益,方向图等都会有所不同进而影响测试结果,当然有些测试确实需要采用辐射形式,此时就需要使用微波暗室下进行有源/无源OTA(Over the Air) 测试,这对于研发来说时间和成本都较大。而且测试还有一个重要的要求是可重复性即每次都使用同样的时刻场景的GPS卫星信号条件注入进行测试,便可验证在调试过程中改变的某个参数是否有效。对于实际室外Live测试,每天的卫星星座不断运行变化,同样的一个地理位置第二天的同样时刻天空飞过的卫星都会不一样。
当然这里有必要强调测试GPS接收机性能是一个极为复杂的过程,有诸如冷启动TTFF,温启动,捕获灵敏度,跟踪灵敏度等一些列专业的测试方法和规范,限于篇幅暂且不表。
3, 接收机软件界面信号强度RSSI显示的是什么?
作为一个硬件射频工程师,我们对于软件的运行机制还是需要有所了解,便于必要时可以敲敲软件工程师们的门。NMEA是National Marine Electronics Association 的缩写,是美国国家海洋电子协会的简称。NMEA协议是为了在不同的GPS(全球定位系统)导航设备中建立统一的BTCM(海事无线电技术委员会)标准, GPS接收机根据NMEA-0183协议的标准规范,将位置、速度等信息通过串口传送到PC机、PDA等设备。
这里我专门找了NMEA的文档格式文档贴在下面,红框所示的第七个SS数字代表的是C/N0,软件就是通过解析以下数据为我们呈现用户界面。可以看到其中解释了显示的SNR Name 其实就是C/N0.

图10,NMEA内$GPGSV字段定义解释
总结
GPS 信号从卫星到到达地面大约功率是-130dBm。GPS接收机测试时,软件界面显示的信号强度条实际是载波噪声密度C/N0(Carrier to Noise Density),单位是dB-Hz。 下次别人聊到要是说是信噪比,你可以笑而不语;说成是载噪比,你可以稍微点点头;要是说C/N0你可要说失敬失敬,行家呀!
最后请允许我再用一个问题作为结束:GPS信号竟然这么弱,基带怎么还能解调出有用信号?
扩频技术,且听下回分解
Reference:
[1], GPS interface files,IS-GPS-200K, https://www.gps.gov/technical/icwg/
[2], How much POWER do the GPS Satellites output on the 1575MHz L1 frequency? http://gpsinformation.net/main/gpspower.htm
[3],Measuring GNSS Signal Strength, https://insidegnss.com/measuring-gnss-signal-strength/
[4], AN101, GPS Carrier-to-Noise Density,Northwood Labs LLC
[5],Introduction to Global Navigation Satellite System (GNSS)Signal Structure, Dinesh Manandhar
[6], GPS的NMEA码的详细解释定义,
https://blog.csdn.net/jickjiang/article/details/79086202
[7],GLOBAL POSITIONING SYSTEM STANDARD POSITIONING SERVICE PERFORMANCE STANDARD, 4th,Edition
关键字:卫星导航,卫星导航模拟器,GSS7000,卫星定位,电磁波,自由空间损耗,射频,射频基础,天线,螺旋天线,卫星天线,信噪比,载噪比,载波噪声密度,GPS,GPS卫星天线,GNSS,RSSI,热噪声,噪声基底,噪声系数,功率谱密度,NMEA
联系我们:
思博伦官方网站: www.spirent.cn
技术中心热线:400-810-9529
支持邮箱:support@spirent.com
售后网站:support.spirent.com
版权归思博伦通信科技(北京)有限公司所有,思博伦技术中心(SpirentServices)原创发布, CSDN内可加收藏,转载请联系授权。
转载于:https://mp.weixin.qq.com/s/F4jXqIYR00COGhL6j1slJg
作者:SpirentSupport
最后
以上就是超级金鱼最近收集整理的关于GPS接收机RSSI显示是信噪比还是载噪比?的全部内容,更多相关GPS接收机RSSI显示是信噪比还是载噪比内容请搜索靠谱客的其他文章。
发表评论 取消回复