1.网络组成与设计原则
1.1 组成
主要包括:接入网、承载网、核心网和空口


接入网是“窗口”,负责把数据收上来;承载网是“卡车”,负责把数据送来送去;核心网呢,就是“管理中枢”,负责管理这些数据,对数据进行分拣,然后告诉它,该去何方。
本文主要对5G核心网架构进行总结整理。
1.2 5G网络架构设计的原则
四个原则:
- 灵活:不同业务要求(超高可靠、超低时延)、以用户为中心的组网(个人、企业、M2M),更快的功能引入
- 高效:更低的数据传输成本,易于扩展;简化状态、信令
- 智能:资源自动分配和调整,网络自配置,自优化
- 开放:网元突破软硬件耦合的限制;网络能力向第三方开放打造新的生态环境,创新盈利点
四维架构 (4D-Architecture)
- 转发分离化 (Seperated):基站的C/U分离、网关的控制转发分离
- 网络虚拟化(Virtualized):小区逻辑虚拟化,网元功能虚拟化
- 功能模块化(Modularized):网元功能原子/模块化,按需组合
- 部署分布化(Distributed):支持分布式的网元部署,内容分布更靠近用户
2. 5G核心网架构
2.1 架构介绍
相比于2/3/4G,5G核心网架构的网络逻辑结构彻底改变了。2018年,我国提出了**SBA(Service Based Architecture,基于服务的架构)**的概念,将网络功能定义为多个相对独立可被灵活调用的服务模块。5G网络采用开放的服务化架构(SBA),NF(Network Function,网络功能)以服务的方式呈现,任何其他NF或者业务应用都可以通过标准规范的接口访问该NF提供的服务SBA架构下。
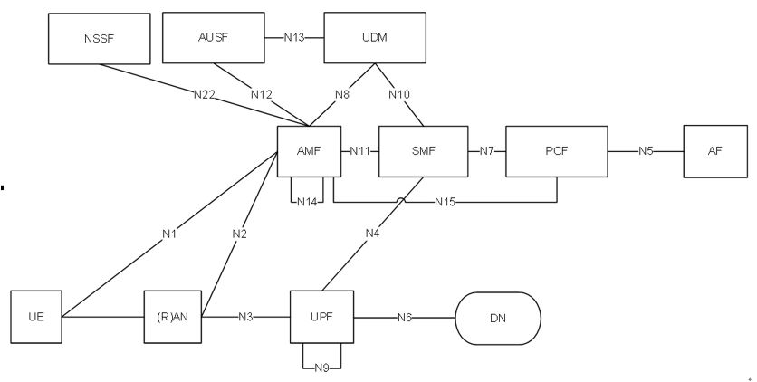
(1) 非漫游时的5G系统架构参考模型(基于业务,SAB):

采用的是基于业务接口(service-based)的表现形式,也叫SBA架构。图中的Nxxx就是基于业务的接口SBI(servec based interface),采用HTTP/TCP协议。
服务化架构是在控制面采用API能力开放形式 进行信令的传输,在传统的信令流程中,很多的消息在不同的流程中都会出现,将相同或相似的消息提取出来以API能力调用的形式封装起来,供其它网元进行访问,服务化架构将摒弃隧道建立的模式,倾向于采用HTTP协议完成信令交互。
(2)非漫游下5G系统的架构模式(基于参考点):

采用参考节点的表现形式,这是最基本的架构。
5G网络架构借鉴IT系统服务化和微服务化架构的成功经验,通过模块化实现网络功能间的解耦和整合,解耦后的网络功能可独立扩容、独立演进、按需部署;控制面所有NF之间的交互采用服务化接口,同一种服务可以被多种NF调用,降低NF之间接口定义的耦合度,最终实现整网功能的按需定制,灵活支持不同的业务场景和需求。
2.2 5G核心网网元介绍

(1)AMF(Access and Mobility Management Function,接入和移动管理功能)是接入和移动性管理功能实体,AMF可以类比于4G的MME。AMF的主要功能有:
- RAN信令接口(N2)的终结点,NAS(N1)信令(MM消息)的终结点;
- 负责NAS消息的加密和完整性保护,负责注册、接入、移动性管理、鉴权、短信等功能;
- 此外在和EPS网络交互时还负责Eps Bearer Id的分配。
(2)SMF(Session Management Function,会话管理功能)是会话管理功能实体。SMF的主要功能有:
- NAS消息的SM消息的终结点;
- 会话(session)的建立、修改、释放;
- UE IP的分配管理;
- DHCP功能;
- ARP代理或IPv6邻居请求代理(Ethernet PDU场景下);
- 为一个会话选择和控制UPF;
- 计费数据的收集以及支持计费接口;
- 决定一个会话的SSC模式;
- 下行数据指示。
(3)UPF(User Plane Function,用户面管理功能)是用户面功能实体,其类似于4G下的GW(SGW+PGW)。最主要的功能是负责数据包的路由转发、Qos流映射。
- 用于RAT内/RAT间移动性的锚点(适用时)。
- 外部 PDU 与数据网络互连的会话点。
- 分组路由和转发(例如,支持上行链路分类器以将业务流路由到数据网络的实例,支持分支点以支持多宿主PDU会话)。
- 数据包检查(例如,基于服务数据流模板的应用流程检测以及从SMF接收的可选PFD)。
- 用户平面部分策略规则实施,例如门控,重定向,流量转向)。
- 合法拦截(UP收集)。
- 流量使用报告。
- 用户平面的QoS处理,例如UL/DL速率实施,DL中的反射QoS标记。
- 上行链路流量验证(SDF到QoS流量映射)。
- 上行链路和下行链路中的传输级分组标记。
- 下行数据包缓冲和下行数据通知触发。
- 将一个或多个“结束标记”发送和转发到源NG-RAN节点。
注意:并非所有UPF功能都需要在网络切片的用户平面功能的实例中得到支持。
(4)PCF(Policy Control Function,策略控制功能)为策略控制功能实体。支持统一的策略框架并管理网络行为,向网络实体提供策略规则,访问统一数据仓库(UDR)的订阅信息,PCF只能访问和其相同PLMN的NDR。
(5)NEF(Network Exposure Function,网络业务呈现功能)是网络呈现功能实体。NEF的主要功能有:
- 3GPP的网元都是通过NEF将其能力呈现给其它网元的;
- NEF将相关信息存储到NDR中、也可以从NDR获取相关的信息,NEF只能访问和其相同PLMN的NDR;
- NEF提供相应的安全保障来保证外部应用到3gpp网络的安全;
- 3GPP内部和外部相关信息的转换,例如AF-Service-Identifier和5G核心网内部的DNN、S-NSSAI等的转换,尤其是网络和用户敏感信息一定要对外部网元隐藏;
- NEF可以通过访问NDR获取到其它网元的相关信息,NEF只能访问和其相同PLMN的UDR。
(6)NRF(NF Repository Function,NF贮存功能)是网络贮存功能实体。NRF的主要功能有:
- 支持业务发现功能,也就是接收网元发过来的NF-Discovery-Request,然后提供发现的网元信息给请求方;
- 维护可用网元实例的特征和其支持的业务能力;
- 一个网元的特征参数主要有:网元实例ID、网元类型、PLMN、网络分片的相关ID(如S-NSSAI、NSI
ID)、网元的IP或者域名、网元的能力信息、支持的业务能力名字等。
(7)UDM(Unified Data Manager,统一数据管理)的主要功能有:
- 产生3GPP鉴权证书/鉴权参数;
- 存储和管理5G系统的永久性用户ID(SUPI);
- 订阅信息管理;
- MT-SMS递交;
- SMS管理;
- 用户的服务网元注册管理(比如当前为终端提供业务的AMF、SMF等)。
(8)AUSF(Authentication Server Function,鉴权服务器功能)是鉴权服务器网元;支持3GPP接入的鉴权和untrusted non3GPP接入的鉴权。
(9)UDR(Unified Data Repository,统一数据仓库),负责的主要功能有:
- UDM存储订阅数据或读取订阅数据;
- PCF存储策略数据或者读取策略数据;
- 存储公开的数据或者从中读取公开的数据;UDR和访问UDR的NF具有相同的PLMN,也就是同一个网络下,也即Nudr接口是一个PLMN内部接口。
(10)SMSF(SMS Function,短信功能)为短信功能;
(11)(R)AN(Access Network)就是接入网,可以是3GPP的接入网(如LTE、5G-NR),也可以是non-3GPP的接入网(如常见的WiFi接入)。
3.5G核心网系统架构主要特征
将5G核心网与4G核心网EPC进行比较,可以看出5G相比4G在基本功能如认证、移动性管理、连接、路由等方面不变,但是方式和技术手段发生了变化,更加灵活。主要体现在:移动性管理(AMF)和会话管理(SMF)分离,AMF和SMF的部署可层级分开;承载与控制分离,UPF和SMF的部署层级也可以分开;AMF和UPF根据业务需求、信令和话务流量以及传输资源灵活部署;采用服务化架构设计,网元功能进行了模块化解耦,接口进行了简化。总体上看,5C 核心网的组网更加灵活,但部署灵活性也对传输、以及网络规划、网络运营管理等能力提出更高的要求。
5G核心网架构为用户提供数据连接和数据业务服务,基于NFV(Network Function Virtualization,网络功能虚拟化)和 SDN(Software Defined Network,软件定义网络)等新技术,其控制面网元之间使用服务化的接口进行交互。5G核心网系统架构主要特征如下:
- 承载和控制分离:承载和控制可独立扩展和演进,可集中式或分布式灵活部署;
- 模块化功能设计:可以灵活和高效地进行网络切片;
- 网元交互流程服务化:按需调用,并服务可重复使用;
- 每个网元可以与其他网元直接交互,也可通过中间网元辅助进行控制面的消息路由;
- 无线接入和核心网之间弱关联:5G核心网是与接入无关并起到收敛作用的架构,3GPP和非3GPP均通过通用的接口接入5G核心网;
- 支持统一的鉴权框架;
- 支持无状态的网络功能,即计算资源与存储资源解耦部署;
- 基于流的QoS:简化了QoS架构,提升了网络处理能力; 9) 支持本地集中部署的业务的大量并发接入, 用户面功能可部署在靠近接入网络的位置,以支持低时延业务、本地业务网络接入。
4. 5G网络逻辑架构
根据“IMT-2020(5G) 5G网络技术架构白皮书”。
4.1 新型基础设施平台
实现5G新型设施平台的基础是网络功能虚拟化(NFV)和软件定义网络(SDN) 技术。
- NFV技术通过软件与硬件的分离,为5G网络提 供更具弹性的基础设施平台,组件化的网络功 能模块实现控制面功能可重构。NFV使网元功 能与物理实体解耦,采用通用硬件取代专用硬 件,可以方便快捷的把网元功能部署在网络中 任意位置,同时对通用硬件资源实现按需分配 和动态伸缩,以达到最优的资源利用率。
- SDN 技术实现控制功能和转发功能的分离。控制功 能的抽离和聚合,有利于通过网络控制平面从 全局视角来感知和调度网络资源,实现网络连 接的可编程。
4.2 逻辑架构
为了满足业务与运营需求,5G接入网与核心网功能需要进一步增强。接人网和核心网的逻辑功能界面清晰,但是部署方式却更加灵活,甚至可以融合部署。
- 5G接入网是一个满足多场景的以用户为中心的多层异构网络。宏站和微站相结合,统一容纳空口多种接入技术,提升小区边缘协同处理效 率,提高无线和回传资源利用率。5G无线接入网 由孤立的接入“盲”管道转向支持多接人和多连 接、分布式和集中式、自回传和自组织的复杂网 络拓扑,并且具备无线资源智能化管控和共享能 力,支持基站的即插即用。
- 5G核心网需要支持低时延、大容量和高速率 的各种业务。能够更高效的实现对差异化业务需 求的按需编排功能。核心网转发平面进一步 简化下沉,同时将业务存储和计算能力从网络中心下移到网络边缘,以支持高流量和低时延的业务要 求,以及灵活均衡的流量负载调度功能。
5G网络逻辑架构如下图所示:

新型5G网络架构包含接入、控制和转发三个功能平面。控制平面主要负责全局控制策略的生成,接人平面和转发平面主要负责策略执行。
- 接入平面
包含各种类型基站和无线接入设备。基站间交互能力增强,组网拓扑形式丰富,能够实现快速灵活的无线接入协同控制和更高的无线资源利用率。 - 控制平面
通过网络功能重构,实现集中 的控制功能和简化的控制流程,以及接人和转发资源的全局调度。面向差异化业务需求,通过按需编排的网络功能, 提供可定制的网络资源,以及友好的能 力开放平台。 - 转发平面
包含用户面下沉的分布式网关,集成边缘内容缓存和业务流加速等功 能,在集中的控制平面的统一控制下,数据转发效率和灵活性得到极大提升。
参考链接:https://www.jianshu.com/p/f9c013ac8eff
最后
以上就是爱听歌云朵最近收集整理的关于5G 网络架构(核心网)总结1.网络组成与设计原则2. 5G核心网架构3.5G核心网系统架构主要特征4. 5G网络逻辑架构的全部内容,更多相关5G内容请搜索靠谱客的其他文章。
发表评论 取消回复