一.PID介绍
PID控制器是通过对误差信号e(t)进行比例,积分和微分运算,其结果的加权,得到控制器的输出U(t),该值就是控制对象的控制值。
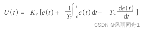
PID控制器的数学描述为:

其中的:e(t)=r(t)-c(t)为误差信号。r(t)为输入量;c(t)为输出量;U(t)为控制器的输出;Kp为控制器的比例放大系数;TI为控制器的积分时间常数;Td为控制器的微分时间常数。
二.PID参数介绍
1. 比例系数Kp
比例系数增加时,系统的响应速度会加快,系统的稳态误差则会降低。从而能够提高控制精度。
当比例系数Kp过大,会使系统出现超调量,导致系统发生振荡或使振荡次数增加,以至于系统的稳定性变低,反而延长了调节时间。
当比例系数Kp过小,系统调节将会变得缓慢。
2. 积分时间常数Ki
积分时间常数Ki主要对积分作用的强弱产生影响,其值越小作用越强。
当积分时间常数Ki过大,系统虽然在一定程度上减小了超调量和振荡,但是也会增加系统为了消除静差所消耗的时间。
当积分时间常数Ki过小,便会引起振荡次数增加,导致系统稳定性变差。
3. 微分时间常数Kd
微分时间常数Kd对系统的稳态过程不存在影响,仅在其动态过程中起作用。其值偏大或偏小都会引起系统的超调量的增大,延长调节时间,因此合理的Kd值才能获得比较满意的过渡过程。
三.PID的调整方法
1.响应缓慢,可增大Kp

增大Kp调整趋势图
2.快速震荡,可减小Kp

减小Kp调整趋势图
3.超调大,波动慢,可增大Ti

增大Ti调整趋势图
4.负载波动时,静差大,回复慢,可增大Kp或减小Ti

负载波动时,增大Kp调整趋势图

负载波动时,减小Ti调整趋势图
5.加入适量的微分时间Td,可改善系统的稳定性(避免加入过大引入干扰和振荡)

最后
以上就是愉快小天鹅最近收集整理的关于【PID】PID的调整方法的全部内容,更多相关【PID】PID内容请搜索靠谱客的其他文章。
本图文内容来源于网友提供,作为学习参考使用,或来自网络收集整理,版权属于原作者所有。
发表评论 取消回复