5. 计算机网络的性能指标
性能指标可以从不同的方面来度量计算机网络的性能。常用的计算机网络的性能指标有以下8个:
速率
带宽
吞吐量
时延
时延带宽积
往返时间
利用率
丢包率
5.1 速率、带宽、吞吐量、时延
5.1.1 速率
比特: 计算机中数据量的单位,也是信息论中信息量的单位。一个比特就是二进制数字中的一个1或0。
常用数据量单位:8 bit= 1 Byte
KB = 2
10
B
2^{10}B210B
MB = K⋅
cdot⋅KB = 2
10
⋅
2
10
2^{10} cdot 2^{10}210⋅210 B = 2
20
2^{20}220B
GB = K⋅
cdot⋅MB = 2
10
⋅
2
20
2^{10} cdot 2^{20}210⋅220B = 2
30
2^{30}230B
TB = K⋅
cdot⋅GB = 2
10
⋅
2
30
2^{10} cdot 2^{30}210⋅230 B = 2
40
2^{40}240B
速率: 连接在计算机网络上的主机在数字信道上传送比特的速率,也称为比特率或数据率。
常用数据率单位:bit/s (b/s,bps)
kb/s = 103
^{3}3 b/s(bps)
Mb/s = k⋅
cdot⋅kb/s = 1
0
3
⋅
1
0
3
10^{3} cdot 10^{3}103⋅103 b/s = 1
0
6
10^{6}106 b/s(bps)
Gb/s = k⋅
cdot⋅Mb/s = 1
0
3
⋅
1
0
6
10^{3} cdot 10^{6}103⋅106 b/s = 1
0
9
10^{9}109 b/s(bps)
Tb/s = k⋅
cdot⋅Gb/s = 1
0
3
⋅
1
0
9
10^{3} cdot 10^{9}103⋅109 b/s = 1
0
12
10^{12}1012 b/s(bps)
例: 有一个待发送的数据块,大小为100 MB,网卡的发送速率为100 Mbps,则网卡发送完该数据块需要多长时间?

5.1.2 带宽
带宽在模拟信号系统中的意义:⋄
diamond⋄ 信号所包含的各种不同频率成分所占据的频率范围;
⋄
diamond⋄ 单位:Hz (kHz,MHz,GHz)
带宽在计算机网络中的意义:⋄
diamond⋄ 用来表示网络的通信线路所能传送数据的能力,因此网络带宽表示在单位时间内从网络中的某一点到另一点所能通过的“最高数据率”;
⋄
diamond⋄ 单位:b/s (kb/s,Mb/s,Gb/s,Tb/s)
其实,“带宽”的这两种表述之间有着密切的联系。一条通信线路的“频带宽度”越宽,其所传输数据的“最高数据率”也越高。
5.1.3 吞吐量
⋄
diamond⋄ 吞吐量表示在单位时间内通过某个网络(或信道、接口)的数据量。
⋄
diamond⋄ 吞吐量被经常用于对现实世界中的网络的一种测量,以便知道实际上到底有多少数据量能够通过网络。
⋄
diamond⋄ 吞吐量受网络的带宽或额定速率的限制。

5.1.4 时延
网络时延由三部分构成:发送时延、传播时延和处理时延。

发送时延:分
组
长
度
(
b
)
发
送
速
率
(
b
/
s
)
frac{分组长度(b)}{发送速率(b/s)}发送速率(b/s)分组长度(b)。网卡的发送速率、信道带宽、接口速率共同决定着主机的发送速率。

传播时延:信
道
长
度
(
m
)
电
磁
波
传
播
速
率
(
m
/
s
)
frac{信道长度(m)}{电磁波传播速率(m/s)}电磁波传播速率(m/s)信道长度(m)。电磁波在自由空间的传播速率是光速(3 ×
times× 1
0
8
10^{8}108 m/s);在网络传输媒体中的传播速率比在自由空间要略低一些;在铜线电缆中的传播速率约为 2.3 ×
times× 1
0
8
10^{8}108 m/s;在光纤中的传播速率约为 2.0 ×
times× 1
0
8
10^{8}108 m/s。因此要计算传播时延,首先应该确定采用的是什么传输媒体,进而可以确定电磁波在该传输媒体中的传播速率。
处理时延: 没有简单的计算公式,因为其不方便计算。在网络中的数据流量是动态变化的,因此路由器的繁忙程度也是动态变化的,另外各种路由器的软硬件性能也可能有所不同,所以很难用一个公式计算出处理时延。
思考: 当网络中的处理时延忽略不计时,网络总时延是传播时延占主导,还是发送时延占主导?
例1: 数据块长度为100 MB,信道带宽为1Mb/s,传送距离为1000 km,计算发送时延和传播时延。
发送时延 = 分
组
长
度
(
b
)
发
送
速
率
(
b
/
s
)
frac{分组长度(b)}{发送速率(b/s)}发送速率(b/s)分组长度(b) = 100
×
2
20
×
8
(
b
)
1
0
6
(
b
/
s
)
frac{100 times 2^{20} times 8(b)}{10^{6}(b/s)}106(b/s)100×220×8(b) = 838.8608 (s)
传播时延 = 信
道
长
度
(
m
)
电
磁
波
传
播
速
率
(
m
/
s
)
frac{信道长度(m)}{电磁波传播速率(m/s)}电磁波传播速率(m/s)信道长度(m) = 1000
×
1
0
3
(
m
)
2
×
1
0
8
(
m
/
s
)
frac{1000 times 10^3(m)}{2 times 10^8(m/s)}2×108(m/s)1000×103(m) = 0.005 (s)(假设传输介质为光纤)
在本例中,发送时延占主导。
例2: 数据块长度为1B,信道带宽为1 Mb/s,传送距离为1000 km,计算发送时延和传播时延。
发送时延 = 分
组
长
度
(
b
)
发
送
速
率
(
b
/
s
)
frac{分组长度(b)}{发送速率(b/s)}发送速率(b/s)分组长度(b) = 1
×
8
(
b
)
1
0
6
(
b
/
s
)
frac{1 times 8(b)}{10^{6}(b/s)}106(b/s)1×8(b) = 8 ×
times× 1
0
−
6
10^{-6}10−6 (s)
传播时延 = 信
道
长
度
(
m
)
电
磁
波
传
播
速
率
(
m
/
s
)
frac{信道长度(m)}{电磁波传播速率(m/s)}电磁波传播速率(m/s)信道长度(m) = 1000
×
1
0
3
(
m
)
2
×
1
0
8
(
m
/
s
)
frac{1000 times 10^3(m)}{2 times 10^8(m/s)}2×108(m/s)1000×103(m) = 0.005 (s)(假设传输介质为光纤)
在本例中,传播时延占主导。
根据上述两个例子,可以看出构成网络的发送时延、传播时延以及处理时延,在处理时延忽略不计的情况下,对于网络总时延是传播时延占主导,还是发送时延占主导的问题,需要具体问题具体分析。
5.1.5 课后练习
1. 比特bit是计算机中数据量的最小单位,可简记为b。字节Byte也是计算机中数据量的单位,可简记为B,1 B = 8 bit。常用的数据量单位还有kB、MB、GB、TB等,其中k、M、G、T的数值为( B )
A. 1
0
3
10^3103,1
0
6
10^6106,1
0
9
10^9109,1
0
12
10^{12}1012 B. 2
10
2^{10}210,2
20
2^{20}220,2
30
2^{30}230,2
40
2^{40}240
C. 2
3
2^323,2
6
2^626,2
9
2^929,2
12
2^{12}212 D. 1
0
10
10^{10}1010,1
0
20
10^{20}1020,1
0
30
10^{30}1030,1
0
40
10^{40}1040
分析: 常用数据量单位:8 bit= 1 Byte、KB = 2
10
B
2^{10}B210B、MB = K⋅
cdot⋅KB = 2
10
⋅
2
10
2^{10} cdot 2^{10}210⋅210 B = 2
20
2^{20}220B、GB = K⋅
cdot⋅MB = 2
10
⋅
2
20
2^{10} cdot 2^{20}210⋅220B = 2
30
2^{30}230B、TB = K⋅
cdot⋅GB = 2
10
⋅
2
30
2^{10} cdot 2^{30}210⋅230 B = 2
40
2^{40}240B。
2. 连接在计算机网络上的主机在数字信道上传送比特的速率也称为比特率或数据率,其最小单位为bps,常用单位还有kbps、Mbps、Gbps、Tbps等,其中k、M、G、T的数值为( A )
A. 1
0
3
10^3103,1
0
6
10^6106,1
0
9
10^9109,1
0
12
10^{12}1012 B. 2
10
2^{10}210,2
20
2^{20}220,2
30
2^{30}230,2
40
2^{40}240
C. 2
3
2^323,2
6
2^626,2
9
2^929,2
12
2^{12}212 D. 1
0
10
10^{10}1010,1
0
20
10^{20}1020,1
0
30
10^{30}1030,1
0
40
10^{40}1040
分析: 常用数据率单位:bit/s (b/s,bps)、kb/s = 103
^{3}3 b/s(bps)、Mb/s = k⋅
cdot⋅kb/s = 1
0
3
⋅
1
0
3
10^{3} cdot 10^{3}103⋅103 b/s = 1
0
6
10^{6}106 b/s(bps)、Gb/s = k⋅
cdot⋅Mb/s = 1
0
3
⋅
1
0
6
10^{3} cdot 10^{6}103⋅106 b/s = 1
0
9
10^{9}109 b/s(bps)、Tb/s = k⋅
cdot⋅Gb/s = 1
0
3
⋅
1
0
9
10^{3} cdot 10^{9}103⋅109 b/s = 1
0
12
10^{12}1012 b/s(bps)。
3. 假设主机A和B之间的链路带宽为100Mbps,主机A的网卡速率为1Gbps,主机B的网卡速率为10Mbps,主机A给主机B发送数据的最高理论速率为( B )
A. 1Mbps B. 10Mbps C. 100Mbps D. 1Gbps
分析: 网卡的发送速率、信道带宽、接口速率共同决定着主机的发送速率。
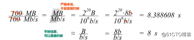
4. 假设在某段链路上传输某个10MB的数据块,链路带宽为10Mb/s,信号传播速率为200000km/s,链路长度为1000 km,则数据块的发送时延为( C )
A. 1s B. 8s C. 8.4s D. 5us
分析: 发送时延 = 分
组
长
度
(
b
)
发
送
速
率
(
b
/
s
)
frac{分组长度(b)}{发送速率(b/s)}发送速率(b/s)分组长度(b) = 10
×
2
20
×
8
(
b
)
10
×
1
0
6
(
b
/
s
)
frac{10 times 2^{20} times 8(b)}{10 times10^{6}(b/s)}10×106(b/s)10×220×8(b) = 8.388608s。
5. 假设在某段链路上传输某个1B的数据,链路带宽为1Mb/s,信号传播速率为200000km/s,链路长度为1000 km,则数据块的发送时延为( C )
A. 1us B. 5us C. 8us D. 16us
分析: 发送时延 = 分
组
长
度
(
b
)
发
送
速
率
(
b
/
s
)
frac{分组长度(b)}{发送速率(b/s)}发送速率(b/s)分组长度(b) = 1
×
8
(
b
)
1
0
6
(
b
/
s
)
frac{1 times 8(b)}{10^{6}(b/s)}106(b/s)1×8(b) = 8 ×
times× 1
0
−
6
10^{-6}10−6 (s) = 8us。
5.2 时延带宽积、往返时间、利用率、丢包率
5.2.1 时延带宽积
时延带宽积 = 传播时延 ×
times× 带宽。
可以把传输链路看成是一个管道,其长度为传播时延,横截面积为带宽,则时延带宽积就是该管道的体积,可以想象成管道中充满了比特,如下图所示。

⋄
diamond⋄ 若发送端连续发送数据,则在所发送的第一个比特即将到达终点时,发送端就已经发送了时延带宽积个比特;
⋄
diamond⋄ 链路的时延带宽积又称为以比特为单位的链路长度。
5.2.2 往返时间
⋄
diamond⋄ 在许多情况下,因特网上的信息不仅仅单方向传输,而是双向交互;
⋄
diamond⋄ 我们有时很需要知道双向交互一次所需的时间;
⋄
diamond⋄ 因此,往返时间RTT(Round-Trip Time)也是一个重要的性能指标。

思考: 分组是在以太网上耗时较多,还是在无线局域网上耗时较多,又或者是在卫星链路上耗时较多?
在卫星链路上耗时较多。一般情况下,卫星链路距离较远,所带来的传播时延比较大。
5.2.3 利用率
利用率: 1. 信道利用率:用来表示某信道有百分之几的时间是被利用的(有数据通过)。
2. 网络利用率:全网络的信道利用率的加权平均。
⋄
diamond⋄ 根据排队论,当某信道的利用率增大时,该信道引起的时延也会迅速增加;
⋄
diamond⋄ 因此,信道利用率并非越高越好;
⋄
diamond⋄ 如果令D
0
D_{0}D0表示网络空闲时的时延,D
DD表示网络当前的时延,那么在适当的假定条件下,可以用下面的简单公式来表示D
DD、D
0
D_{0}D0和利用率U
UU之间的关系:D
=
D
0
1
−
U
D = frac{D_{0}}{1-U}D=1−UD0 时延D
DD随利用率U
UU的变化曲线如下图所示。

⋆
star⋆ 当网络的利用率达到50%时,时延就要加倍;
⋆
star⋆ 当网络的利用率超过50%时,时延急剧增大;
⋆
star⋆ 当网络的利用率接近100%时,时延就趋于无穷大;
⋆
star⋆ 因此,一些拥有较大主干网的ISP通常会控制它们的信道利用率不超过50%。如果超过了,就要准备扩容,增大线路的带宽。
⋄
diamond⋄ 也不能使信道利用率太低,这会使宝贵的通信资源被白白浪费。应该使用一些机制,可以根据情况动态调整输入到网络中的通信量,使网络利用率保持在一个合理的范围内。
5.2.4 丢包率
⋄
diamond⋄ 丢包率即分组丢失率,是指在一定的时间范围内,传输过程中丢失的分组数量与总分组数量的比率。
⋄
diamond⋄ 丢包率具体可分为接口丢包率、节点丢包率、链路丢包率、路径丢包率、网络丢包率等。
⋄
diamond⋄ 丢包率是网络运维人员非常关心的一个网络性能指标,但对于普通用户来说往往并不关心这个指标,因为他们通常意识不到网络丢包。
⋄
diamond⋄ 分组丢失主要有两种情况:
⋆
star⋆ 分组在传输过程中出现误码,被节点丢弃;
⋆
star⋆ 分组到达一台队列已满的分组交换机时被丢弃;
在通信量较大时就可能造成网络拥塞。
⋄
diamond⋄ 因此,丢包率反映了网络的拥塞情况:
⋆
star⋆ 无拥塞时路径丢包率为0
⋆
star⋆ 轻度拥塞时路径丢包率为1%~4%
⋆
star⋆ 严重拥塞时路径丢包率为5%~15%
当网络的丢包率较高时,通常无法使网络应用正常工作。
5.2.5 课后练习
1. 设某段链路的传播时延是20ms,带宽为20Mbit/s,则该段链路的时延带宽积为( B )
A. 200000bit B. 400000bit C. 100000bit D. 800000bit
分析: 时延带宽积 = 传播时延 ×
times× 带宽 = 20 ×
times× 10−
3
^{-3}−3 (s) ×
times× 20 ×
times× 10 6
^66(bit/s) = 400000bit。
2. 传播时延最大的链路是( D )
A. 广域网链路 B. 城域网链路 C. 局域网链路 D. 同步卫星链路
分析: 传播时延最大的链路是同步卫星链路,一般情况下,卫星链路距离较远,所带来的传播时延比较大。
5.3 总结
★
bigstar★ 速率: 连接在计算机网络上的主机在数字信道上传送比特的速率,也称为比特率或数据率;
基本单位: bit/s (b/s, bps),常用单位:kb/s, Mb/s,Gb/s,Tb/s。
★
bigstar★ 带宽: 用来表示网络的通信线路所能传送数据的能力,因此网络带宽表示在单位时间内从网络中的某一点到另一点所能通过的“最高数据率”;
单位与速率单位相同。
★
bigstar★ 吞吐量: 吞吐量表示在单位时间内通过某个网络(或信道、接口)的数据量;
吞吐量被经常用于对现实世界中的网络的一种测量,以便知道实际上到底有多少数据量能够通过网络;
吞吐量受网络的带宽或额定速率的限制。
★
bigstar★ 时延: 发送时延 = 分
组
长
度
(
b
)
发
送
速
率
(
b
/
s
)
frac{分组长度(b)}{发送速率(b/s)}发送速率(b/s)分组长度(b)
传播时延 = 信
道
长
度
(
m
)
电
磁
波
传
播
速
率
(
m
/
s
)
frac{信道长度(m)}{电磁波传播速率(m/s)}电磁波传播速率(m/s)信道长度(m)
处理时延一般不便于计算。
★
bigstar★ 时延带宽积: 传播时延和带宽的乘积;
若发送端连续发送数据,则在所发送的第一个比特即将到达终点时,发送端就已经发送了时延带宽积个比特;
链路的时延带宽积又称为以比特为单位的链路长度。
★
bigstar★ 往返时间RTT: 在许多情况下,因特网上的信息不仅仅单方向传输,而是双向交互;
我们有时很需要知道双向交互一次所需的时间。
★
bigstar★ 利用率: 信道利用率:用来表示某信道有百分之几的时间是被利用的(有数据通过);
网络利用率:全网络的信道利用率的加权平均;
利用率并非越高越好:当某信道的利用率增大时,该信道引起的时延也会迅速增加;
也不能使信道利用率太低,这会使宝贵的通信资源被白白浪费。
★
bigstar★ 丢包率: 丢包率即分组丢失率,是指在一定的时间范围内,传输过程中丢失的分组数量与总分组数量的比率;
分组丢失的两个主要原因:分组误码,结点交换机缓存队列满(网络拥塞)。
最后
以上就是俊逸泥猴桃最近收集整理的关于计算机性能的5个指标,计算机网络(一)—— 概述(5):计算机网络的性能指标...的全部内容,更多相关计算机性能的5个指标,计算机网络(一)——内容请搜索靠谱客的其他文章。
发表评论 取消回复