加扰
每一个码字对应的原始数据是
b
(
q
)
(
0
)
,
.
.
.
,
b
(
q
)
(
M
b
i
t
(
q
)
−
1
)
b^{(q)}(0),...,b^{(q)}(M_{bit}^{(q)}-1)
b(q)(0),...,b(q)(Mbit(q)−1),经过加扰处理生成加扰后的数据为
b
~
(
q
)
(
0
)
,
.
.
.
,
b
~
(
q
)
(
M
b
i
t
(
q
)
−
1
)
{tilde{b}}^{(q)}(0),...,tilde{b}^{(q)}(M_{bit}^{(q)}-1)
b~(q)(0),...,b~(q)(Mbit(q)−1)。加扰处理如下所示:

PDSCH的加扰序列
c
(
q
)
(
i
)
c^{(q)}(i)
c(q)(i)是一个伪随机序列,这个序列生成器的初始化由下面的公式完成:

其中
双码字传输时, q ∈ { 0 , 1 } qin{0,1} q∈{0,1};单码字传输时,q = 0。
n I D n_{ID} nID(扰码ID)由高层参数dataScramblingIdentityPDSCH来配置,取值范围是(0…1023),如果高层没有配置这个参数,则UE使用物理小区ID作为 n I D n_{ID} nID。
n R N T I n_{RNTI} nRNTI就是PDSCH当前传输时相关联的RNTI。
调制
每一个码字加扰后的bit块 b ~ ( q ) ( 0 ) , . . . , b ~ ( q ) ( M b i t ( q ) − 1 ) {tilde{b}}^{(q)}(0),...,tilde{b}^{(q)}(M_{bit}^{(q)}-1) b~(q)(0),...,b~(q)(Mbit(q)−1)使用下表所示的方式进行调制,生成调制信号 d ( q ) ( 0 ) , . . . , d ( q ) ( M s y m b ( q ) − 1 ) d^{(q)}(0),...,d^{(q)}(M_{symb}^{(q)}-1) d(q)(0),...,d(q)(Msymb(q)−1)。
| Modulation scheme | Modulation order |
|---|---|
| QPSK | 2 |
| 16QAM | 4 |
| 64QAM | 6 |
| 256QAM | 8 |
层映射
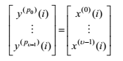
每一个码字生成的调制信号 d ( q ) ( 0 ) , . . . , d ( q ) ( M s y m b ( q ) − 1 ) d^{(q)}(0),...,d^{(q)}(M_{symb}^{(q)}-1) d(q)(0),...,d(q)(Msymb(q)−1)根据下表映射到多个层 x ( i ) = [ x ( 0 ) ( i ) . . . x ( v − 1 ) ( i ) ] x(i)=[x^{(0)}(i) ... x^{(v-1)}(i)] x(i)=[x(0)(i)...x(v−1)(i)]上传输,其中v表示层数:
| Number of layers | Number of codewords | Codeword-to-layer mapping |
|---|---|---|
| 1 | 1 | ![]() |
| 2 | 1 | ![]() |
| 3 | 1 | ![]() |
| 4 | 1 | ![]() |
| 5 | 2 | ![]() |
| 6 | 2 | ![]() |
| 7 | 2 | ![]() |
| 8 | 2 | ![]() |
可以看到,单码字映射到1~4层,双码字映射5~8层。 M s y m b l a y e r M_{symb}^{layer} Msymblayer表示映射到每一层的调制信号数。
天线端口映射
经过层映射之后的数据按照如下方式映射到天线端口

其中
i = 0 , 1 , . . . , M s y m b a p − 1 , M s y m b a p = M s y m b l a y e r i=0,1,...,M_{symb}^{ap}-1,M_{symb}^{ap}=M_{symb}^{layer} i=0,1,...,Msymbap−1,Msymbap=Msymblayer
虚拟资源块映射
UE的PDSCH可用资源由高层参数指示。高层在PDSCH-Config和ServingCellConfigCommon中配置了rateMatchPatternToAddModList来指示UE小区级或BWP级的PDSCH资源配置。rateMatchPatternToAddModList配置最多四个RateMatchPattern IE,该IE包含的内容如下: 
可以看到,资源模式有两种类型:
-
bitmap类型,通过一对位图参数resourceBlocks和symbolsInResourceBlock来指示速率匹配模式。symbolsInResourceBlock是在时域上符号级的位图,跨度为1个或2个时隙。resourceBlocks是在频域中RB级的位图,置为1的bit表示应该在相应的RB上由symbolsInResourceBlock指示的符号上应用速率匹配,如果这个RateMatchPattern是小区级的,那么认为这个位图是CRB,如果是BWP级的,那么这个位图就是BWP中的PRB。还有一个参数periodicityAndPattern,意思是上述两个参数定义出的资源模式出现的周期,如果没有没有这个参数,缺省值为n1;
-
controlResourceSet类型,ControlResourceSetId指定了一个CORESET,频域资源由该CORESET的频域资源确定,时域资源由与这个CORESET关联的搜索空间的高层配置参数monitoringSlotPeriodicityAndOffset 和monitoringSymbolsWithinSlot 确定。
物理资源块映射
从VRB到PRB的映射有交插和非交插两种。
非交插映射模式,在公共搜索空间用DCI Format 1_0调度的PDSCH传输这种情况下,虚拟资源块n映射到物理资源块 n + N start CORESET n + N_{mathrm{text{start}}}^{mathrm{text{CORESET}}} n+NstartCORESET上,其中 N start CORESET N_{mathrm{text{start}}}^{mathrm{text{CORESET}}} NstartCORESET是接收相应DCI的控制资源集中编号最小的物理资源块;除上述情况之外,虚拟资源块n就映射到物理资源块n上。
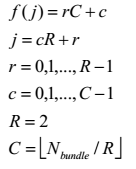
交插映射模式,以资源块束来定义,首先来看资源块束(RB bundle)的概念,分了三种情况:
-
在CORESET#0的Type0-PDCCH公共搜索空间,由SI-RNTI加扰,用DIC Format
1_0调度的PDSCH传输。下行初始激活的BWP,大小 N B W P , i n i t s i z e N_{BWP,init}^{size} NBWP,initsize,分为 N b u n d l e = ⌈ N B W P , i n i t s i z e / L ⌉ N_{bundle}=lceil N_{BWP,init}^{size}/Lrceil Nbundle=⌈NBWP,initsize/L⌉个RB bundle,按照RB编号和束编号升序排列。其中L是bundle的大小,取值为2。如果 N B W P , i n i t s i z e N_{BWP,init}^{size} NBWP,initsize不能整除L,最后一个RB bundle包含了 N B W P , i n i t s i z e m o d L N_{BWP,init}^{size}modL NBWP,initsizemodL个RB,否则包含2个RB;其余RB bundle都包含2个RB。

-
除上述情况外,在公共搜索空间由DCI Format
1_0调度的PDSCH传输,BWP起始位置为 N B W P , i s t a r t N_{BWP,i}^{start} NBWP,istart,大小为 N B W P , i n i t s i z e N_{BWP,init}^{size} NBWP,initsize的虚拟RB集合{0,1,…, N B W P , i n i t s i z e − 1 N_{BWP,init}^{size}-1 NBWP,initsize−1}分为 N b u n d l e N_{bundle} Nbundle个虚拟RB bundle,相应的 N B W P , i n i t s i z e N_{BWP,init}^{size} NBWP,initsize个物理RB集合{ N s t a r t C O R E S E T N_{start}^{CORESET} NstartCORESET, N s t a r t C O R E S E T + 1 N_{start}^{CORESET}+1 NstartCORESET+1,…, N s t a r t C O R E S E T + N B W P , i n i t s i z e − 1 N_{start}^{CORESET}+N_{BWP,init}^{size}-1 NstartCORESET+NBWP,initsize−1}分为 N b u n d l e N_{bundle} Nbundle个物理RB bundle,其中 N b u n d l e = ⌈ ( N B W P , i n i t s i z e + ( N B W P , i s t a r t + N s t a r t C O R E S E T ) m o d L ) / L ⌉ N_{bundle}=lceil (N_{BWP,init}^{size}+(N_{BWP,i}^{start}+N_{start}^{CORESET})modL)/Lrceil Nbundle=⌈(NBWP,initsize+(NBWP,istart+NstartCORESET)modL)/L⌉,L是bundle的大小,取值为2, N start CORESET N_{mathrm{text{start}}}^{mathrm{text{CORESET}}} NstartCORESET是接收相应DCI的控制资源集中编号最小的物理资源块。1)0号RB bundle包含了 L − ( ( N B W P , i s t a r t + N s t a r t C O R E S E T ) m o d L ) L-((N_{BWP,i}^{start}+N_{start}^{CORESET})modL) L−((NBWP,istart+NstartCORESET)modL)个RB;
2)如果 ( N B W P , i n i t s i z e + N B W P , i s t a r t + N s t a r t C O R E S E T ) m o d L > 0 (N_{BWP,init}^{size}+N_{BWP,i}^{start}+N_{start}^{CORESET})modL>0 (NBWP,initsize+NBWP,istart+NstartCORESET)modL>0,则最后一个RB bundle包含了 ( N B W P , i n i t s i z e + N B W P , i s t a r t + N s t a r t C O R E S E T ) m o d L (N_{BWP,init}^{size}+N_{BWP,i}^{start}+N_{start}^{CORESET})modL (NBWP,initsize+NBWP,istart+NstartCORESET)modL个RB,否则包含L个RB;
3)其余RB bundle包含L个RB;
之所以要考虑进 N s t a r t C O R E S E T N_{start}^{CORESET} NstartCORESET,是因为38.214中规定,对于任何在PDCCH公共搜索空间中以DCI format 1_0调度的PDSCH传输,其RB编号从接收DCI的CORESET的最低RB开始。
-
其他PDSCH传输,BWP i,起始位置 N B W P , i s t a r t N_{BWP,i}^{start} NBWP,istart,大小 N B W P , i s i z e N_{BWP,i}^{size} NBWP,isize,分为 N b u n d l e N_{bundle} Nbundle个RB
bundle且按照RB编号和束编号的升序排列,其中 N b u n d l e = ⌈ ( N B W P , i n i t s i z e + ( N B W P , i s t a r t m o d L i ) ) / L i ⌉ N_{bundle}=lceil (N_{BWP,init}^{size}+(N_{BWP,i}^{start}modL_i))/L_irceil Nbundle=⌈(NBWP,initsize+(NBWP,istartmodLi))/Li⌉, L i L_i Li是bundle的大小,由高层参数PDSCH-Config
-> vrb-ToPRB-Interleaver配置。1)0号RB bundle包含了 L i − ( N B W P , i s t a r t m o d L i ) L_i-(N_{BWP,i}^{start}modL_i) Li−(NBWP,istartmodLi)个RB,这样做的目的是为了从下一个bundle开始,每个bundle的起始位置都是 L i L_i Li的整数倍;
2)如果 ( N B W P , i s t a r t + N B W P , i s i z e ) m o d L i > 0 (N_{BWP,i}^{start}+N_{BWP,i}^{size})modL_i>0 (NBWP,istart+NBWP,isize)modLi>0,最后一个RB bundle包含了 ( N B W P , i s t a r t + N B W P , i s i z e ) m o d L i (N_{BWP,i}^{start}+N_{BWP,i}^{size})modL_i (NBWP,istart+NBWP,isize)modLi个RB,否则包含 L i L_i Li个RB;
3)其余RB bundle包含 L i L_i Li个RB。

解决了RB bundle的概念问题,再来看属于 j ∈ { 0 , 1 , . . . , N b u n d l e − 1 } jin{0,1,...,N_{bundle}-1} j∈{0,1,...,Nbundle−1}区间内的虚拟RB 向物理RB的映射:
-
N b u n d l e − 1 N_{bundle}-1 Nbundle−1号虚拟RB bundle映射到 N b u n d l e − 1 N_{bundle}-1 Nbundle−1号物理RB bundle上。
-
其余 j ∈ { 0 , 1 , . . . , N b u n d l e − 2 } jin{0,1,...,N_{bundle}-2} j∈{0,1,...,Nbundle−2}的虚拟RB bundle遵循f(j)函数映射到物理RB bundle

按照上面case1的例子,来看一下是怎么映射的:

最后
以上就是追寻百合最近收集整理的关于5G PDSCH物理层过程的全部内容,更多相关5G内容请搜索靠谱客的其他文章。








发表评论 取消回复