转自:通俗理解条件熵
前面我们总结了信息熵的概念通俗理解信息熵 - 知乎专栏,这次我们来理解一下条件熵。
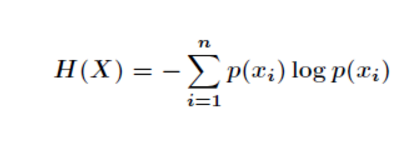
我们首先知道信息熵是考虑该随机变量的所有可能取值,即所有可能发生事件所带来的信息量的期望。公式如下:

我们的条件熵的定义是:定义为X给定条件下,Y的条件概率分布的熵对X的数学期望
这个还是比较抽象,下面我们解释一下:
设有随机变量(X,Y),其联合概率分布为

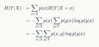
条件熵H(Y|X)表示在已知随机变量X的条件下随机变量Y的不确定性。随机变量X给定的条件下随机变量Y的条件熵H(Y|X)
公式
下面推导一下条件熵的公式:

注意
注意,这个条件熵,是指在给定某个数(某个变量为某个值)的情况下,另一个变量的熵是多少,变量的不确定性是多少?
因为条件熵中X也是一个变量,意思是在一个变量X的条件下(变量X的每个值都会取),另一个变量Y熵对X的期望。
这是最容易错的!
例子
下面通过例子来解释一下:

假如我们有上面数据:
设随机变量Y={嫁,不嫁}
我们可以统计出,嫁的个数为6/12 = 1/2
不嫁的个数为6/12 = 1/2
那么Y的熵,根据熵的公式来算,可以得到H(Y) = -1/2log1/2 -1/2log1/2
为了引出条件熵,我们现在还有一个变量X,代表长相是帅还是不帅,当长相是不帅的时候,统计如下红色所示:

可以得出,当已知不帅的条件下,满足条件的只有4个数据了,这四个数据中,不嫁的个数为1个,占1/4
嫁的个数为3个,占3/4
那么此时的H(Y|X = 不帅) = -1/4log1/4-3/4log3/4
p(X = 不帅) = 4/12 = 1/3
同理我们可以得到:
当已知帅的条件下,满足条件的有8个数据了,这八个数据中,不嫁的个数为5个,占5/8
嫁的个数为3个,占3/8
那么此时的H(Y|X = 帅) = -5/8log5/8-3/8log3/8
p(X = 帅) = 8/12 = 2/3
计算结果
有了上面的铺垫之后,我们终于可以计算我们的条件熵了,我们现在需要求:
H(Y|X = 长相)
也就是说,我们想要求出当已知长相的条件下的条件熵。
根据公式我们可以知道,长相可以取帅与不帅俩种
条件熵是另一个变量Y熵对X(条件)的期望。
公式为:

H(Y|X=长相) = p(X =帅)*H(Y|X=帅)+p(X =不帅)*H(Y|X=不帅)
然后将上面已经求得的答案带入即可求出条件熵!
这里比较容易错误就是忽略了X也是可以取多个值,然后对其求期望!!
转自:通俗理解条件熵
最后
以上就是霸气裙子最近收集整理的关于机器学习:什么是条件熵?的全部内容,更多相关机器学习:什么是条件熵内容请搜索靠谱客的其他文章。
发表评论 取消回复