1. HB半带滤波器
在前面的数字信号的调制解调的过程当中,有使用到信号的抽取和插值。对于这种需要进行速率变换的系统,有更加适合的滤波器来对其进行处理,比如HB滤波器和CIC滤波器。

1.1 信号的抽取
对基带信号的抽取,相当于降低采样速率,但是降低采样速率会使频谱之间的距离减小,因此可能会发生混叠。

下面这个图就是降低采样速率后,信号的频谱发生了混叠,因此会造成信号的失真。

在实际处理的时候,一般会先对解调出来的信号进行滤波,这样做的目的,能够保留信号的绝大部分信息,并且滤除噪声。这个时候,如果对信号进行低倍的抽取,比如两倍抽取时,并不需要滤波器的带宽足够小,比如FIR滤波器。这时候使用半带滤波器就能够完成信号的滤波。

1.2 半带滤波器性质
半带滤波器有鲜明的特点就是其通带和阻带的带宽是相等的。并且通带和阻带都特别宽。除此之外,对于半带滤波器其系数有几乎一半都为0,因此设计起来比FIR滤波器占用的资源少。

在设计半带滤波器的时候,可以先使用Matlab等工具来计算出半带滤波器的冲击响应来作为系统的抽头系数,从抽头系数可以看出,有接近一半的抽头系数为0。

根据半带滤波器的特性,可以对系统进行化简,就能够减小系统资源的占用。由于半带滤波器有一半的抽头系数为0,因此可以节约很多乘法和加法运算。

使用HB滤波器进行抽取滤波可以用在信号的下变频当中。

HB滤波器除了能够用在信号下变频中,同样也能用于信号上变频中。

在对一个信号进行采样速率提升的时候,实际中是对信号进行插0值。这样得到的信号频谱相较于理想的频谱会多出几个镜像,因此需要通过滤波器将其滤除掉。在速率变化不大的情况下,可以使用HB滤波器来进行滤波。


2. CIC插值滤波器
CIC插值滤波器的结构如下,CIC插值滤波器又叫做梳状-积分级联滤波器。其主要由两个部分组成,分别是梳状器和积分器。

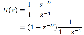
根据结构框图可以写出系统的差分方程
x(n) - x(n-D) = y(n) - y( n-1)
根据差分方程,可以求出系统的转移函数。

可以将转移函数看作是两个系统的级联,那么则有:



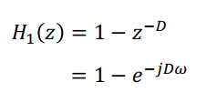
2.1 梳状器
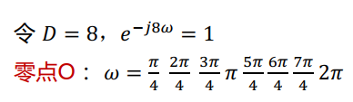
对于H1(z)可以求得其零点,根据延时的阶数不同,得到的零点个数也不同,以延时8阶为例:可以得到它的零点

根据零点,可以大致画出其幅频响应。

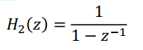
2.2 积分器
对于H2(Z),可以得到其极点,极点为2Kπ。

将积分器和梳状器进行级联,也就是相当于将两者的幅频响应进行相乘。因此最终的幅频响应如下:

2.3 CIC插值滤波器的应用
和前面的半带滤波器一样,CIC插值滤波器在进行速率变换的滤波器设计时十分有效,尤其时在多倍插值或抽取时,在进行数字上变频时,经常会使用CIC插值滤波器,其工作框图,如下,主要功能是对增加了采样频率过后的信号进行滤波,以消除由插0值引起的镜像。

下图是对一个信号进行多倍插值后的频谱。其中红色部分是由于插0值而多出的镜像,在速率提升后,需要采用滤波器将其滤除。这时候就可以使用CIC滤波器来将其滤除。



3 CIC抽取滤波器
对于CIC抽取滤波器,其结构刚好和插值滤波器相反,是一个积分-梳状级联滤波器。

其系统函数和CIC插值滤波形式上是一致的。

CIC滤波器一般用在数字下变频当中,对原始的频谱进行整形,防止由于采样速率的降低导致频谱发生混叠。

参考:
深入浅出数字信号处理
最后
以上就是心灵美溪流最近收集整理的关于数字信号处理基础----插值、抽取滤波器1. HB半带滤波器2. CIC插值滤波器3 CIC抽取滤波器的全部内容,更多相关数字信号处理基础----插值、抽取滤波器1.内容请搜索靠谱客的其他文章。
发表评论 取消回复