调制指数
英文:modulation index或者modulation depth
表示调制变量在载波未经调制时的值的附近的变化程度,在不同的调制类型中有不同的定义。
1. 振幅调制指数
英文:Amplitude modulation index
AM调制指数公式如下:

公式中, A是载波的振幅,M是射频信号峰值超出未调制值的部分。
如果m=0.5,载波振幅比未调制值高(或低)50%,如下图所示:

如果m=1.0,载波振幅比未调制值高(或低)100%,波形的振幅会达到0值,如下图所示:

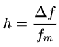
2. 频率调制指数
英文:Frequency modulation index
与载波频率的变化量有关:

式中,fm是调制信号的最高频率成分,△f表示峰值频率偏移,也就是瞬时频率偏移载波频率的最大值。
h<<1时,调制被称为NFM(narrowband FM),其带宽大约为2fm。有时调制指数h<0.3时被认为时NFM,其他的被称为WFM(wideband FM)或者FM。
3.相位调制指数
英文:Phase modulation index
与载波信号的变化量有关:h =△θ
△θ是相位偏差的峰值。
=============================================================
在无线电传输中,频率调制FM的优点是它具有较大的信噪比,因此比等功率振幅调制(AM)信号能更好地抑制射频干扰。
频率调制和相位调制是角调制的两种互补的主要方法;
相位调制常作为实现调频的中间环节。
ASK属于线性变换,PSK和FSK属于非线性变换,非线性变换有更高的抗干扰能力。
最后
以上就是爱笑鸭子最近收集整理的关于调制指数学习的全部内容,更多相关调制指数学习内容请搜索靠谱客的其他文章。
发表评论 取消回复