






浅谈可靠性理论中的常用概率分布
1. 泊松分布
基本原理
泊松分布是最常见的离散概率分布,适合描述单位时间内随机事件发生的概率。
(1) 泊松分布概率密度(不可靠度)计算公式

MATLAB概率密度函数poisspdf
调用格式:
Y=poisspdf(x,λ),其中,x为随机变量;λ为不可靠度;
(2) 泊松分布累积概率密度函数(不可靠度函数)
MATLAB累积概率密度函数poisscdf
调用格式:
Y=poisscdf(x,λ),
Y=poisscdf(x,λ,’upper’),
案例:一批产品的不合格率为5%,每100个产品装一瓶,求一瓶中含有0,1,…,10个不合格的概率及不合格产品在10个以下的概率。
MATLAB代码:
x=0:10;
s=100;
p=0.05
lamda=p*s;
ratio_pdf=poisspdf(x,lamda);%不合格概率
p_total=poisscdf(x,lamda);%10个以下不合格的概率
plot(x,ratio_pdf,'r-o','linewidth',2)
xlabel('不合格产品数')
ylabel('概率密度函数')
set(gca,'fontsize',16,'looseinset',[0 0 7 6])
figure
plot(x,p_total,'b-d','linewidth',2)
xlabel('不合格产品数')
ylabel('累计概率分布函数')
set(gca,'fontsize',16,'looseinset',[0 0 7 6])
分析结果


2. 正态分布
基本原理
由大量相互独立、微小的随机因素总和构成,且每个随机因素对总和的影响是均匀微小的。
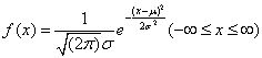
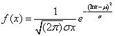
(1) 正态分布概率密度(不可靠度)计算公式

MATLAB概率密度函数normpdf
调用格式:
Y=normpdf(x,μ,σ)
Y=normpdf(x)
Y=normpdf(x,μ)
其中,x为随机变量;μ为均值;σ为标准差;
(2) 正态分布概率累积分布函数
MATLAB概率概率累积分布函数normcdf
调用格式:
p=normcdf(x)
p=normcdf(x, μ, σ)
[p,plo,pup]=normcdf(x, μ, σ,pcov,alpha)
其中,pcov为协方差矩阵;alpha为置信区间。
案例:已知某风场风速满足正态分布,其风速均值为13m/s,标准差为0.5。求风速在12~15m/s的概率分布和累计分布。
MATLAB代码:
x=linspace(12,15,20);
miu=13;
sigma=0.5;
ratio_pdf=normpdf(x,miu,sigma);%概率分布
p_total=normcdf(x,miu,sigma);%累计分布
plot(x,ratio_pdf,'r-o','linewidth',2)
xlabel('风速分布')
ylabel('概率密度函数')
set(gca,'fontsize',16,'looseinset',[0 0 7 6])
figure
plot(x,p_total,'b-d','linewidth',2)
xlabel('风速分布')
ylabel('累积概率分布函数')
set(gca,'fontsize',16,'looseinset',[0 0 7 6])
分析结果


3. 指数分布
基本原理
指数分布最显著的特征是失效率为常数,无记忆性,是无累计效应失效。
局限性
指数分布与机械零件的磨损、疲劳、腐蚀和蠕变等过程是完全矛盾的,与产品的损伤累积和老化相违背,不能作为机械零件功能参数的分布形式;对失效率变化的情况,指数分布无法有效模拟。
(1)指数分布概率密度(不可靠度)计算公式

MATLAB概率密度函数exppdf
调用格式:
Y=exppdf(x, μ)
(2) 指数分布概率累积分布函数
MATLAB概率概率累积分布函数expcdf
调用格式:
p=expcdf(x,mu)
[p,plo,pup]=expcdf(x,mu,pcov,alpha)
案例:某股市成指数增长,其价格均值为20,求股价在15~30之间的概率分布及累积分布。
MATLAB代码:
x=linspace(15,30,20);
miu=10;
ratio_pdf=exppdf(x,miu);%概率分布
p_total=expcdf(x,miu);;%累计分布
plot(x,ratio_pdf,'r-o','linewidth',2)
xlabel('股价分布')
ylabel('概率密度函数')
set(gca,'fontsize',16,'looseinset',[0 0 7 6])
figure
plot(x,p_total,'b-d','linewidth',2)
xlabel('股价分布')
ylabel('累积概率分布函数')
set(gca,'fontsize',16,'looseinset',[0 0 7 6])
分析结果


4. 对数正态分布
基本原理
随机变量由诸多影响因素构成,但这些因素对变量的影响并非均匀微小,而是其中一些因素对变量具有显著影响时,变量将趋于偏斜进而形成对数正态分布
(1) 对数正态分布概率密度(不可靠度)计算公式

MATLAB概率密度函数lognpdf
调用格式:
Y=lognpdf(x,mu,sigma)
(2)对数正态分布概率累积分布函数
MATLAB概率概率累积分布函数logncdf
调用格式:
p=logncdf(x,mu,sigma)
[p,plo,pup]=logncdf(x,mu,sigma,pcov,alpha)
其中,plo为置信区间下边界;pup为置信区间上边界;
案例:某风机叶片的疲劳寿命服从对数正态分布,且均值为5,标准差为0.6,求该风机叶片在运行200~300天内的疲劳概率与累积概率分布
MATLAB代码:
x=linspace(200,300,20);
mu=5;
sigma=0.6;
ratio_pdf=lognpdf(x,mu,sigma);
p_total=logncdf(x,mu,sigma);
plot(x,ratio_pdf,'r-o','linewidth',2)
xlabel('运行时间')
ylabel('概率密度函数')
set(gca,'fontsize',16,'looseinset',[0 0 7 6])
figure
plot(x,p_total,'b-d','linewidth',2)
xlabel('运行时间')
ylabel('累积概率分布函数')
set(gca,'fontsize',16,'looseinset',[0 0 7 6])
分析结果


5. 伽马分布
基本原理
伽马分布是统计学的一种连续概率分布,是n个随机事件均发生需要经历的时间。
(1)伽马分布概率密度(不可靠度)计算公式

MATLAB概率密度函数gampdf
调用格式:
Y=gampdf(x,A,B)
其中,x为随机变量;A为形状参数;B为尺度参数;
(2)伽马分布概率累积分布函数
MATLAB概率概率累积分布函数gamcdf
调用格式:
Y=gamcdf(x,A,B)
[p,plo,pup]=gamcdf(x,A,B,pcov,alpha)
案例:某元件寿命服从伽马分布,其形状参数为0.5,尺度参数为5,求其元件寿命在10~30天的概率分布和累计分布情况
MATLAB代码:
x=linspace(10,30,20);
a=0.5;
b=5;
ratio_pdf=gampdf(x,a,b);%概率分布
p_total=gamcdf(x,a,b);%累计分布
plot(x,ratio_pdf,'r-o','linewidth',2)
xlabel('元件寿命')
ylabel('概率密度函数')
set(gca,'fontsize',16,'looseinset',[0 0 7 6])
figure
plot(x,p_total,'b-d','linewidth',2)
xlabel('元件寿命')
ylabel('累积概率分布函数')
set(gca,'fontsize',16,'looseinset',[0 0 7 6])
分析结果


6.三参数威布尔分布
基本原理
威布尔分布模型是研究机械零部件可靠性最适合的模型之一,是由某一局部失效导致全局停止运行的最弱环节模型。
(1)三参数威布尔分布概率密度(不可靠度)计算公式

MATLAB三参数威布尔概率密度函数wblpdf
调用格式:
Y=wblpdf(x,A,B)
其中,x为随即变量;A为尺度参数;B为形状参数。
(2) 三参数威布尔分布概率累积分布函数
MATLAB三参数威布尔概率累积分布函数wblcdf
调用格式:
p=wblcdf(x,a,b)
[p,plo,pup]=wblcdf(x,A,B,pcov,alpha)
案例:已知风速在10~20之间的形状参数为0.8,尺度参数为3,求风速的概率密度分布和累计分布。
MATLAB代码:
x=linspace(10,20,20);
b=0.5;
a=2.5;
ratio_pdf=wblpdf(x,a,b);%概率分布
p_total=wblcdf(x,a,b);;%累计分布
plot(x,ratio_pdf,'r-o','linewidth',2)
xlabel('风速分布')
ylabel('概率密度函数')
set(gca,'fontsize',16,'looseinset',[0 0 7 6])
figure
plot(x,p_total,'b-d','linewidth',2)
xlabel('风速分布')
ylabel('累积概率分布函数')
set(gca,'fontsize',16,'looseinset',[0 0 7 6])
分析结果



把时间交给阅读
最后
以上就是诚心路人最近收集整理的关于matlab泊松分布随机数和图像_浅谈可靠性理论中的常用概率分布的全部内容,更多相关matlab泊松分布随机数和图像_浅谈可靠性理论中内容请搜索靠谱客的其他文章。
发表评论 取消回复