教育
-高等代数-章节资料考试资料-盐城师范学院【】
5.1练习
1、【单选题】
A、
B、
C、
D、以上都不对
参考资料【 】
2、【单选题】
A、
B、
C、
D、
参考资料【 】
3、【单选题】
A、
B、
C、
D、
参考资料【 】
4、【单选题】设有矩阵A=
,与其合同的是
A、
B、
C、
D、
参考资料【 】
5、【判断题】
A、正确
B、错误
参考资料【 】
6、【判断题】二次型经非退化线性替换化为二次型。
A、正确
B、错误
参考资料【 】
5.2练习
1、【单选题】
A、
B、
C、
D、
参考资料【 】
2、【单选题】
A、
B、
C、
D、
参考资料【 】
3、【单选题】
A、1
B、2
C、3
D、0
参考资料【 】
4、【单选题】
A、
B、
C、
D、
参考资料【 】
5、【判断题】对称矩阵只能与对称矩阵合同。
A、正确
B、错误
参考资料【 】
6、【判断题】两个二次型相等当且仅当它们的矩阵相等。
A、正确
B、错误
参考资料【 】
7、【判断题】若A为反对称矩阵, 则
是对称矩阵。
A、正确
B、错误
参考资料【 】
5.3练习
1、【单选题】
A、r
B、m-r
C、2m-r
D、r-m
参考资料【 】
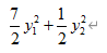
2、【单选题】二次型
的正惯性指数是
A、0
B、1
C、2
D、3
参考资料【 】
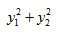
3、【单选题】二次型
的正惯性指数是
A、0
B、1
C、2
D、3
参考资料【 】
4、【单选题】二次型
的符号差是
A、0
B、1
C、2
D、3
参考资料【 】
5、【单选题】
的负惯性指数是
A、0
B、1
C、2
D、3
参考资料【 】
6、【判断题】若
可逆对称矩阵, 则
与
合同。
A、正确
B、错误
参考资料【 】
7、【判断题】二次型的标准形中平方项的个数,与所作的非退化线性替换有关。
A、正确
B、错误
参考资料【 】
8、【判断题】
A、正确
B、错误
参考资料【 】
9、【判断题】数域
上,两个n阶矩阵合同的充分必要条件是它们有相同的秩.
A、正确
B、错误
参考资料【 】
5.4练习
1、【单选题】设
为正定阵,则
A、
一定都是正定阵
B、
是正定阵,
不是正定阵
C、
是正定阵,
不一定是正定阵
D、
必不是正定阵,
必是正定阵
参考资料【 】
2、【单选题】
A、
B、
C、
D、
参考资料【 】
3、【单选题】
A、正定
B、负定
C、不是正定
D、不一定正定
参考资料【 】
4、【单选题】在下列二次型中,属于正定型的是
A、
B、
C、
D、
参考资料【 】
5、【单选题】下列命题错误的是
A、对称方阵只能与对称方阵合同。
B、
与
在复数域上合同,但在实数域上不合同。
C、若
与
合同,则存在唯一的满秩阵
,使得
。
D、二次型
经过满秩线性变换后,秩不变
参考资料【 】
6、【单选题】n阶实对称矩阵正定的充要条件是:
A、A的主对角线上元素全大于零.
B、A的所有元素都大于零.
C、A的所有主子式都大于零。
D、以上都不对。
参考资料【 】
7、【判断题】
A、正确
B、错误
参考资料【 】
8、【判断题】
A、正确
B、错误
参考资料【 】
9、【判断题】
A、正确
B、错误
参考资料【 】
10、【判断题】
A、正确
B、错误
参考资料【 】
第五章单元测试
1、【单选题】
A、
B、
C、
D、
参考资料【 】
2、【单选题】
A、f是正定的。
B、f是负定的。
C、f既不是正定,也不是负定。
D、f的秩为2.
参考资料【 】
3、【单选题】
A、
B、
C、
D、
参考资料【 】
4、【单选题】
A、
B、
C、
D、
参考资料【 】
5、【单选题】A是n阶正定阵,则下列结论错误的是
A、
B、A非奇异
C、A的元素全是正数
D、A的主对角线上的元素全是正数
参考资料【 】
6、【单选题】下列矩阵合同于单位阵的是
A、
B、
C、
D、
参考资料【 】
7、【单选题】二次型
的正惯性指数是
A、0
B、1
C、2
D、3
参考资料【 】
8、【单选题】关于二次型
,正确的是
A、是正定的
B、正惯性指数是2
C、符号差是0
D、正惯性指数等于其秩
参考资料【 】
9、【单选题】实方阵A与单位矩阵E合同,则必有 成立.
A、
B、
C、
D、不能确定
参考资料【 】
10、【单选题】
是
阶实对称矩阵,则
为正定的充要条件是
A、
B、存在
阶可逆矩阵
, 使
C、对元素全不为零的向量
,总有
D、存在
维列向量
, 使
参考资料【 】
11、【判断题】两个实二次型等价充分必要条件是秩相等。
A、正确
B、错误
参考资料【 】
12、【判断题】实二次型
负定,则它的矩阵A的奇数顺序主子式全大于零。
A、正确
B、错误
参考资料【 】
13、【判断题】实二次型
负定,则它的矩阵A的偶数阶顺序主子式全小于零。
A、正确
B、错误
参考资料【 】
14、【判断题】两个二次型相等当且仅当它们的矩阵相等。
A、正确
B、错误
参考资料【 】
15、【判断题】
A、正确
B、错误
参考资料【 】
16、【判断题】
A、正确
B、错误
参考资料【 】
17、【判断题】
A、正确
B、错误
参考资料【 】
18、【判断题】
A、正确
B、错误
参考资料【 】
19、【判断题】正定对称矩阵的主对角线上元素都是正的。
A、正确
B、错误
参考资料【 】
20、【判断题】
A、正确
B、错误
参考资料【 】
21、【判断题】
.
A、正确
B、错误
参考资料【 】
22、【判断题】
A、正确
B、错误
参考资料【 】
6.1 练习
1、【判断题】一个无解的线性方程组的解集是{0}.
A、正确
B、错误
参考资料【 】
2、【判断题】若集合
则集合
。
A、正确
B、错误
参考资料【 】
3、【判断题】设
, P是数域,则
是
到其自身的一个映射。
A、正确
B、错误
参考资料【 】
4、【判断题】设M是数域P上的n级矩阵的集合,
, 定义
,则
是M到P的一个满射。
A、正确
B、错误
参考资料【 】
5、【判断题】映射的乘法适合结合律和交换律。
A、正确
B、错误
参考资料【 】
6、【判断题】两个有限集之间存在双射的充要条件是它们所含元素个数相同。
A、正确
B、错误
参考资料【 】
7、【判断题】
是可逆映射的充要条件是
是一一对应的。
A、正确
B、错误
参考资料【 】
8、【判断题】映射
,
是单射,但不是满射。
A、正确
B、错误
参考资料【 】
6.2 练习
1、【单选题】线性空间中定义的两种运算是
A、加法与减法
B、加法与乘法
C、加法与数乘
D、乘法与除法
参考资料【 】
2、【单选题】下列关于线性空间的说法错误的是:
A、零元是唯一的。
B、负元是唯一的。
C、逆元是唯一的。
D、零乘任何元均为零元。
参考资料【 】
3、【单选题】以下说法错误的是:
A、复数域可以看作是复数域上的线性空间。
B、复数域可以看作是实数域上的线性空间。
C、实数域可以看作是复数域上的线性空间。
D、实数域可以看作是实数域上的线性空间。
参考资料【 】
4、【判断题】
。
A、正确
B、错误
参考资料【 】
5、【判断题】数域P上的一元多项式环P[x]按照多项式的加法和数乘,构成一个数域P上的线性空间。
A、正确
B、错误
参考资料【 】
6、【判断题】数域P上的全体矩阵,按照矩阵的加法和数乘,构成数域P上的线性空间。
A、正确
B、错误
参考资料【 】
7、【判断题】线性空间可能是空集。
A、正确
B、错误
参考资料【 】
6.3 练习
1、【单选题】
A、
B、
C、
D、
参考资料【 】
2、【单选题】
A、0
B、1
C、2
D、3
参考资料【 】
3、【单选题】
A、1/3, 4/3
B、4/3, 1/3
C、-1/3, 4/3
D、2/3, 2/3
参考资料【 】
4、【单选题】
A、0 1 1
B、1 1 2
C、1 0 0
D、1 1 1
参考资料【 】
5、【单选题】设向量组线性相关,则组中:
A、任一向量可由其余向量线性表示
B、某一向量可由其余向量线性表示
C、去掉任一向量之后,仍线性相关
D、添上一个向量以后,就会线性无关
参考资料【 】
6、【判断题】不同向量在同一基下的坐标不同.
A、正确
B、错误
参考资料【 】
7、【判断题】
A、正确
B、错误
参考资料【 】
8、【判断题】若线性空间含有一个非零向量必含无限多个向量.
A、正确
B、错误
参考资料【 】
9、【判断题】数域P中2级矩阵构成的线性空间V中,任意5个矩阵都线性相关.
A、正确
B、错误
参考资料【 】
6.4 练习
1、【单选题】数域P上所有n阶方阵构成的线性空间的维数是
A、
B、
C、
D、
参考资料【 】
2、【单选题】数域P上所有n阶上三角矩阵所构成的线性空间的维数是
A、
B、
C、
D、
参考资料【 】
3、【单选题】
A、
B、
C、
D、
参考资料【 】
4、【单选题】
A、(1,1,2)
B、(2,3,1)
C、(1,2,2)
D、(2,1,3)
参考资料【 】
5、【单选题】
A、AB
B、BA
C、
D、
参考资料【 】
6、【判断题】设
,则V一定存在两组不同基,使至少一个向量在这组基下坐标相同.
A、正确
B、错误
参考资料【 】
7、【判断题】同一向量在不同基下的坐标一定不同.
A、正确
B、错误
参考资料【 】
8、【判断题】无限维的线性空间可能与它的非平凡子空间同构.
A、正确
B、错误
参考资料【 】
9、【判断题】
A、正确
B、错误
参考资料【 】
10、【判断题】线性空间的一组基所含向量的个数是该空间的维数.
A、正确
B、错误
参考资料【 】
6.5 练习
1、【单选题】
A、
B、
C、
D、
参考资料【 】
2、【单选题】
A、
B、
C、=
D、
参考资料【 】
3、【单选题】不能构成实数域R上的线性空间的是
A、R上的n级对称矩阵全体
B、R上的n级反对称矩阵全体
C、R上的n级上三角矩阵全体
D、R上的n级行列式为零的矩阵全体
参考资料【 】
4、【单选题】设A是n级方阵,且行列式|A|=0, 则
A、A中必有两列向量对应成比例。
B、r(A)=0
C、A的任一列向量可由其他列向量线性表出
D、A的某一列向量可由其他列向量线性表出
参考资料【 】
5、【判断题】线性空间
的一组基是
.
A、正确
B、错误
参考资料【 】
6、【判断题】两个向量组生成的子空间相同的充要条件是这两个向量组等价。
A、正确
B、错误
参考资料【 】
7、【判断题】线性空间
的维数就是向量组
的秩。
A、正确
B、错误
参考资料【 】
8、【判断题】若W是线性空间V的非空子集,若W对V的减法与数乘运算封闭,则W是线性空间V的子空间.
A、正确
B、错误
参考资料【 】
9、【判断题】
是
的子空间.
A、正确
B、错误
参考资料【 】
6.6 练习
1、【单选题】
A、(1,0,0,0,0), (0,1,0,0,0), (0,0,1,0,0)
B、(1,0,0,0,0), (0,0,1,0,0), (0,0,0,0,1)
C、(1,0,0), (0,1,0), (0,0,1)
D、(1,0,0,0,0), (0,1,0,0,0), (0,0,1,0,0), (0,0,0,1,0), (0,0,0,0,1)
参考资料【 】
2、【单选题】
A、
B、
C、
D、
参考资料【 】
3、【单选题】设
矩阵
的秩为
,则齐次线性方程组
的解空间的维数是 。
A、m-r
B、n-r
C、r
D、m-n
参考资料【 】
4、【单选题】
A、
B、
C、
D、
参考资料【 】
5、【单选题】设
为n级矩阵,则
A、
B、
C、
D、
参考资料【 】
6、【判断题】
A、正确
B、错误
参考资料【 】
7、【判断题】在一个线性空间V中,
.
A、正确
B、错误
参考资料【 】
8、【判断题】在一个线性空间中, 
A、正确
B、错误
参考资料【 】
9、【判断题】在一个线性空间中,
。
A、正确
B、错误
参考资料【 】
10、【判断题】设
是V的两子空间,则
.
A、正确
B、错误
参考资料【 】
6.7 练习
1、【单选题】
A、
,
B、
,
C、
D、
参考资料【 】
2、【单选题】下列向量组中,( )是线性无关向量组
A、(1,2),(-3,0),(5,1)
B、(1,1,0),(0,0,3),(2,2,0)
C、(2,6,0),(3,9,0),(0,0,2)
D、(1,1,0),(0,2,0),(0,0,3)
参考资料【 】
3、【单选题】设
, 错误的说法是:
A、
B、
C、
D、零元的分解式唯一。
参考资料【 】
4、【判断题】若和
中任意元的分解唯一,即
是唯一的,则
.
A、正确
B、错误
参考资料【 】
5、【判断题】若和
中零元的分解式唯一,则
.
A、正确
B、错误
参考资料【 】
6、【判断题】若
, 则
是直和。
A、正确
B、错误
参考资料【 】
7、【判断题】
是V的子空间,则
的充要条件是
.
A、正确
B、错误
参考资料【 】
8、【判断题】
A、正确
B、错误
参考资料【 】
6.8 练习
1、【单选题】同构映射
不具有下列性质
A、
B、
C、
将线性无关组映成线性无关组
D、
可能将线性无关映成线性相关
参考资料【 】
2、【单选题】关于同构映射
,正确的说法是:
A、映射
一定是双射。
B、
是同一个线性空间上的映射。
C、同构映射
只定义在有限维线性空间上。
D、
参考资料【 】
3、【单选题】设数域P上的两个有限维线性空间
同构,则
A、
B、
C、
D、
参考资料【 】
4、【判断题】有限维线性空间不能与其非平凡子空间同构。
A、正确
B、错误
参考资料【 】
5、【判断题】每一个线性空间都有基.
A、正确
B、错误
参考资料【 】
6、【判断题】
A、正确
B、错误
参考资料【 】
7、【判断题】
A、正确
B、错误
参考资料【 】
8、【判断题】数域P上的任意n维线性空间均与
同构。
A、正确
B、错误
参考资料【 】
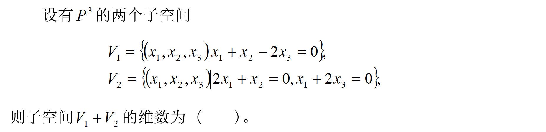
第六章单元测试
1、【单选题】
A、
B、
C、
D、
参考资料【 】
2、【单选题】
A、1
B、2
C、3
D、0
参考资料【 】
3、【单选题】
A、1
B、2
C、3
D、0
参考资料【 】
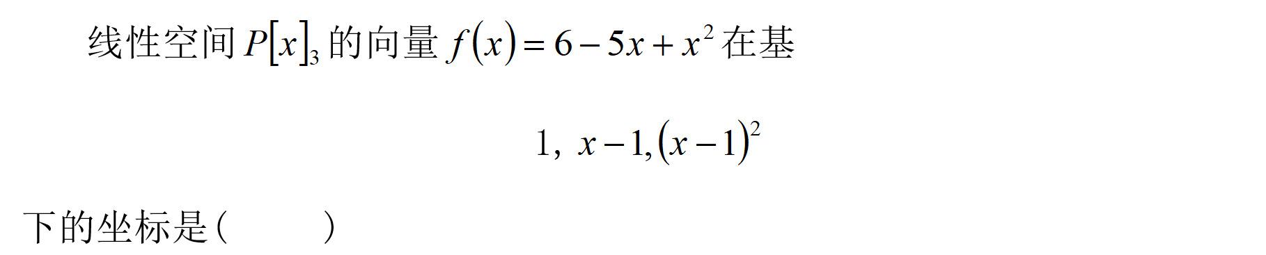
4、【单选题】
A、(6,5,1)
B、(1,-5,6)
C、(1,-3,2)
D、(2,-3,1)
参考资料【 】
5、【单选题】
A、1
B、2
C、3
D、0
参考资料【 】
6、【单选题】
A、1
B、2
C、3
D、4
参考资料【 】
7、【单选题】
A、0
B、1
C、2
D、3
参考资料【 】
8、【单选题】
A、秩为1
B、线性无关
C、秩为2
D、秩为3
参考资料【 】
9、【单选题】
A、(6,1,13)
B、(6,-1,-13)
C、(3,2,11)
D、(6,2,13)
参考资料【 】
10、【单选题】
A、不是直和
B、只有零解
C、等于
D、等于
参考资料【 】
11、【单选题】
A、
B、
C、
D、
参考资料【 】
12、【单选题】
A、
B、
C、所有映射
,都是同构映射
D、
参考资料【 】
13、【单选题】
A、
B、
C、
D、
参考资料【 】
14、【单选题】
A、
B、
C、
D、
参考资料【 】
15、【判断题】

A、正确
B、错误
参考资料【 】
16、【判断题】
A、正确
B、错误
参考资料【 】
17、【判断题】
A、正确
B、错误
参考资料【 】
18、【判断题】
A、正确
B、错误
参考资料【 】
19、【判断题】
A、正确
B、错误
参考资料【 】
20、【判断题】
A、正确
B、错误
参考资料【 】
21、【判断题】
A、正确
B、错误
参考资料【 】
22、【判断题】
A、正确
B、错误
参考资料【 】
23、【判断题】
A、正确
B、错误
参考资料【 】
24、【判断题】
A、正确
B、错误
参考资料【 】
25、【判断题】
A、正确
B、错误
参考资料【 】
26、【判断题】单射一定也是满射。
A、正确
B、错误
参考资料【 】
27、【判断题】同一向量在不同基下的坐标一定不同.
A、正确
B、错误
参考资料【 】
28、【判断题】线性空间两组基之间的过渡矩阵一定是可逆的对称矩阵。
A、正确
B、错误
参考资料【 】
29、【判断题】同构映射一定是可逆的,但其逆不一定是同构映射。
A、正确
B、错误
参考资料【 】
30、【判断题】和
是直和,当且仅当
A、正确
B、错误
参考资料【 】
7.1 练习
1、【单选题】关于线性变换
,下列说法错误的是
A、
B、

C、

D、

参考资料【 】
2、【单选题】下列说法正确的是:
A、线性变换一定将线性无关映成线性无关
B、线性变换可能将线性无关映成线性无关
C、线性变换可能将线性相关映成线性无关
D、以上都不对
参考资料【 】
3、【单选题】在
中,下列是线性变换的是
A、
B、
C、
D、
参考资料【 】
4、【判断题】存在
上的线性变换,它将一组线性相关的向量变成一组线性无关的向量。
A、正确
B、错误
参考资料【 】
5、【判断题】在
中,
是线性变换。
A、正确
B、错误
参考资料【 】
6、【判断题】在线性空间V中,
为某一固定向量,则
是线性变换。
A、正确
B、错误
参考资料【 】
7、【判断题】把复数域看作其自身上的线性空间,则
,是线性变换。
A、正确
B、错误
参考资料【 】
8、【判断题】把复数域看作实数域的线性空间,则
,是线性变换。
A、正确
B、错误
参考资料【 】
7.2 练习
1、【单选题】
A、
B、
C、
D、
参考资料【 】
2、【单选题】设V是n维向量空间,则V上的线性变换全体组成的向量空间的维数为
A、
B、
C、
D、无穷大
参考资料【 】
3、【判断题】线性变换的乘积仍是线性变换。
A、正确
B、错误
参考资料【 】
4、【判断题】线性变换的乘法适合结合律和交换律。
A、正确
B、错误
参考资料【 】
5、【判断题】线性变换的和仍是线性变换。
A、正确
B、错误
参考资料【 】
6、【判断题】线性变换的加法适合结合律和交换律。
A、正确
B、错误
参考资料【 】
7、【判断题】线性变换都是可逆的,其逆变换也是线性变换。
A、正确
B、错误
参考资料【 】
最后
以上就是耍酷彩虹最近收集整理的关于[渝粤教育] 盐城师范学院 高等代数 参考 资料的全部内容,更多相关[渝粤教育]内容请搜索靠谱客的其他文章。
发表评论 取消回复