1. 三参数威布尔分布的密度函数和累积密度函数


其中gama位置参数,且gama>0; 表示设备在[0, gama]之间不会发生故障
eta是比例参数,表示函数的缩放
beta是形状参数,表示函数的走势,beta>1,表示故障率随时间增加,beta<1, 表示故障率随时间减小
2. 参数估计中的gama估计相对简单,一般取设备开始使用到第一次发生故障的最短时间,所以,所有的故障发生时间减去gama,故障率就服二参数威布尔分布。
所以这里为了简单且不失泛化能力,假设为0.
3. 下面证明beta和eta之间存在线性关系
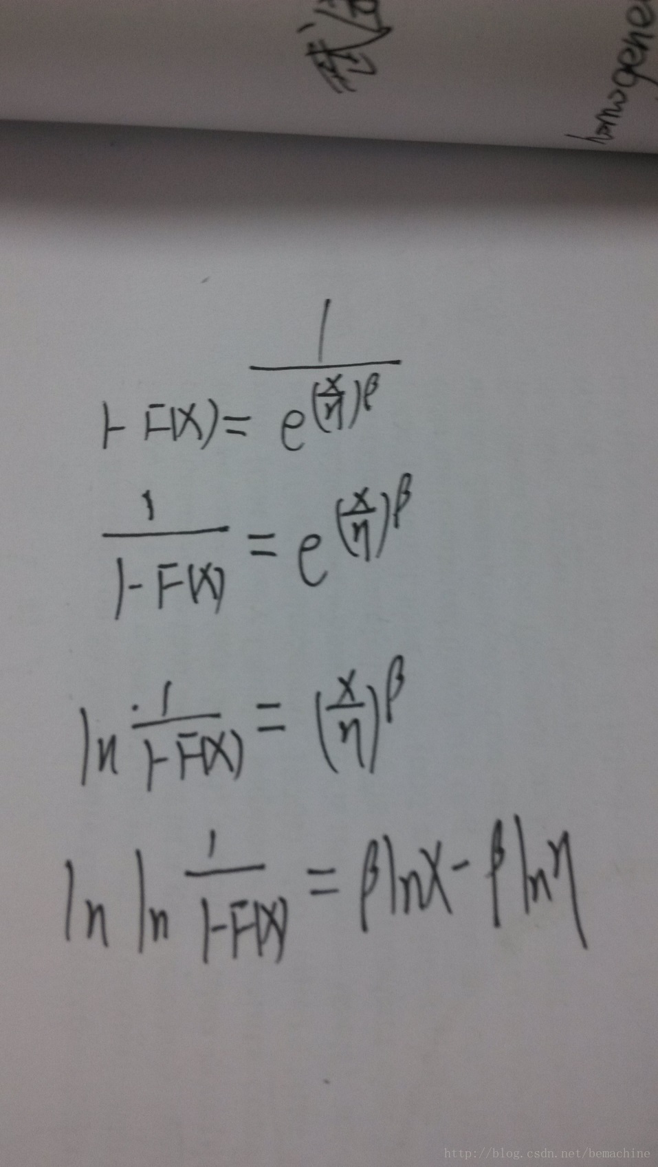
gama=0,由(2)得到


可以看到,最后一个公式是一个与参数有关的直线,所以可以使用线性拟合的方法估计参数。
4. 威布尔分布的参数估计原理
根据上面的讨论,如上式所示,如果我们有一些故障发生的时间点 x, 且知道对应的F(x)的值,就相当于知道了一些二维的数据点,可以用最小二乘法估计beta和eta。
5. X和F(x)的获取
X是设备发生故障的时间点,这可以从故障数据中获得。假如取100次故障发生的时间点,则:
X = [x1,x2,x3,…,x100]
其中x1<x2<x3<…<x100
这里故障发生的时间点是按照时间顺序排列的
同样,F(xi) = P(x<xi)
F(xi)是截止到时间xi,设备发生故障的概率
我们这里认为,F(x1)<F(x2)<…<F(x100),且F(x1)=0, F(x100)=1
那么F(xi)是多少呢?
这里取F(xi)=i/(n+1),基本符合上面的要求
6. 参数估计的过程如下
7. 举例
使用matlab的随机生成函数,生成100个服从威布尔分布的时间点
X = wblrnd(1,2,100,1)
这里beta=2, eta=1;
下面按照上面的方法,计算beta和eta,计算结果如下,
beta= 2.05994, eta=0.982495
计算过程参考代码
8. 威布尔参数的估计有多种方法,最小二乘是精度和复杂度折中的方法。
代码如下
// 威布尔.cpp : 定义控制台应用程序的入口点。
//
#include "stdafx.h"
#include <iostream>
#include <math.h>
using namespace std;
int main()
{
//发生故障的时间
double time[] = {0.1100, 0.1430,0.1468,0.1939, 0.2509, 0.2717, 0.2823,0.3012, 0.3162, 0.3164, 0.3182,
0.3398, 0.3471, 0.3493, 0.3639, 0.3892, 0.4114, 0.4569, 0.4651, 0.4710, 0.4774, 0.4997,
0.5437, 0.5606, 0.5717, 0.5792, 0.5820, 0.5838, 0.5987, 0.6213, 0.6220, 0.6519, 0.6630,
0.6867, 0.6885, 0.6941, 0.7032, 0.7114, 0.7207, 0.7298, 0.7398, 0.7419, 0.7730, 0.7770,
0.7934, 0.8073, 0.8231, 0.8320, 0.8325, 0.8396, 0.8447, 0.8459, 0.8463, 0.8568, 0.8676,
0.8678, 0.8826, 0.9075, 0.9115, 0.9184, 0.9261, 0.9459, 0.9631, 0.9855, 1.0006, 1.0236,
1.0453, 1.0470, 1.0692, 1.0806, 1.0954, 1.1023, 1.1565, 1.1570, 1.1575, 1.1638, 1.1947,
1.1994, 1.2094, 1.2114, 1.2165, 1.2197, 1.2273, 1.2536, 1.2730, 1.2790, 1.2994, 1.3033,
1.3296, 1.3357, 1.4110, 1.4636, 1.4823, 1.4957, 1.5217, 1.5681, 1.8103, 1.8678, 1.8796,
1.8846};
//100个故障点
int num_point = 100;
//下面计算文档中对应的公式
double xmean = 0.0;
double ymean = 0.0;
double beta1 = 0.0;
double beta21 = 0.0;
double beta22 = 0.0;
double beta3 = 0.0;
double beta4 = 0.0;
double beta2 = 0.0;
for(int i = 0; i < num_point; i++)
{
xmean += log(log(1.0/(1-(i+1)*1.0/(num_point+1))));
ymean += log(time[i]);
beta1 += log(time[i])*log(log(1.0/(1-(i+1)*1.0/(num_point+1))));
beta21 += log(log(1.0/(1-(i+1)*1.0/(num_point+1))));
beta22 += log(time[i]);
beta3 += log(time[i])*log(time[i]);
beta4 += log(time[i]);
}
ymean = ymean/num_point;
xmean = xmean/num_point;
beta1 = beta1 * num_point;
beta2 = beta21*beta22;
beta3 = beta3*num_point;
beta4 = beta4*beta4;
double beta = (beta1-beta2)/(beta3-beta4);
double eta = exp(ymean - xmean/beta);
cout << "beta: " << beta << "eta: " << eta;
return 0;
}
9.参考文献
Methods for Estimating the Parameters of the Weibull Distribution
Mohammad A. Al-Fawzan
最后
以上就是眼睛大唇彩最近收集整理的关于威布尔分布的参数估计的全部内容,更多相关威布尔分布内容请搜索靠谱客的其他文章。
发表评论 取消回复