我是靠谱客的博主 天真香水,这篇文章主要介绍nedc和epa续航里程什么意思_你的车续航为啥这么虚?偷偷告诉你个行业黑幕,现在分享给大家,希望可以做个参考。

“你虚吗?”

“你才虚呢!”

“我是说你的电动汽车续航虚不虚”

“哦,这个啊,这个...虚,虚,虚得汇源肾宝都治不好”

说起电动汽车,续航里程绝对是一个最受关注的话题。从市面上的电动汽车来看,都不同程度的存在“续航里程虚”的问题,有的厂商用来宣传的续航数据简直不能看,与实际续航相差的也忒大了。但为什么堂堂工信部出来的续航数据会这么“水”呢?而且“虚的程度”还不一样?难道有什么猫腻?还真有!!!

e0c76b3562118a893545fa27fdb1847f.png

■ 电动汽车续航测试工况都有哪些?

脱离工况谈续航都是耍流氓。大家说的工况其实就是一张速度曲线图,每一秒给出一个规定的车速,测试的时候车辆按照曲线上速度行驶就可以了。在聊续航之前,咱先了解一下都有哪些工况,具体包括NEDC、WLTP、EPA、CAT和哈等速工况,其中CATC是根据我国实际环境、路况等量身打造的工况测试标准。

等速工况——就是来开玩笑的

等速工况一般是指电动汽车在时速60公里的工况下匀速行驶所能达到的最大续航里程。该工况下测出来的续航数据参考价值非常低,这完全是厂商为了给出一个“最大化的数字”来蒙骗消费者的。

022f9958dcf101ab779657e17fefef41.png

去年理想汽车创始人李想还在微博上发声,呼吁厂商们别再用60等速续航做宣传自嗨,不知道是李老板的个人魅力所致,还是“汽车行业的前辈和大哥们”羞愧难当,反正现在已经看不到还用等速续航做宣传。这一曾经被厂商大肆宣传的“名角儿”算是被废了,是一件值得拍手称快的好事。

6f9c148f48c5875b13f53016eb798520.png

NEDC工况——与实际不符,参考意义不大

NEDC的全名叫做“New European Drivig Cycle”意思就是欧洲循环测试。主要在欧洲、澳大利亚、中国等地区使用(但目前在欧洲地区已经不受业界待)。由于我们国家没有自己的测试标准,所以一直采用 NEDC测试工况。

7b9d03ad8e6bedda6fddbcbe75876eb5.png

NEDC测试方法包含4个市区循环,1个郊区循环,工况比较简单,测试过程基本都在试验台架上进行。可以看到,一个测试循环内包含很大一部分的匀速行驶(大家应该知道对于电动汽车而言匀速工况下电耗更低一些),再加上测试的时候空调等所有用电辅件都可以关闭.....使得测出来的数据与实际用车情况严重不符!

WLTP工况——比较靠谱

WLTP全名叫做“World LightVehicle Test Procedure”,意思就是“世界轻型车辆测试程序”,是一套全球统一的汽车油耗测试规程,由欧洲各国、日本、巴西等国家共同制定。当前主要在欧盟、印度、韩国、美国等国家使用。

f295bd445454d3b86acf4c3975f4af80.png

虽然WLTP也是在试验台架上测试,但与NEDC不同的是,它使用的是通过实地调查等方式从世界各地收集的真实驾驶数据,包含低速、中速、高速与超高速四个部分。一个测试循环内,车速变化基本无规律,最高时速可达131.3公里,而且没有匀速行驶,尽可能精准的模拟日常用车情况。

EPA 工况——堪称史上最严工况

EPA是美国国家环境保护局 U.S.Environmental Protection Agency 的缩写,是现阶段美国在用的续航里程测试标准。包含城市循环(FTP-75)和两个补充循环( 高温空调全负荷运转循环和高速、高加速度工作循环),最终结果由这三个工况的实测结果通过不同的比例计算所得。

411b925f81f2ccf44a4153de190d1051.png

值得注意的是,EPA中有专门针对电动汽车的测试规定,而不是完全用燃油车那一套。另外,如果是混合动力车型就需要先在充满电的状态下测试纯电续航,然后在亏电状态下测试混合动力油耗。

CATC工况续航——“made in china”值得期待

不过你别担心,想我泱泱大国,作为全球最大的汽车消费市场之一,怎么能没有一个“made in china”的测试标准呢。

6a9e249501409f540d3680d5c5d6186d.png

CATC就是China Automotive Test Cycle,叫中国汽车测试循环。据之前消息,2025年前由新能源车型为首,逐步切换至CATC。CATC简单来说就是符合我国实际国情的工况测试标准,其中大家关注的乘用车使用CLTC-P部分。

044253c846f89eb4bfc5b9a67c5cfbbc.png

而针对纯电动汽车,CATC将删除等速法,增加高低温(高温30±2℃,低温-7±3℃)下开启空调的实验(对,你没理解错,现在的NEDC测试时,空调是关闭的),更客观真实的测量电动汽车的续航、能耗。并且也将改进插电式混合动力车型的能耗与续航里程计算方式。可以说,CATC将会更加接近我们的实际用车情况,以后我们老百姓买车,看到的官方数据就不像现在这么"水"了。

ee52f981a1bad9b84df8350a2a1ca63d.png

■ 测试工况就决定了续航一定会“虚”

从上面分析的续航测试工况来看,NEDC工况最为简单,连最起码的使用空调、灯光的情况都不考虑,与实际工况偏差最大。WLTP将车辆的挡位和负载等因素考虑进去,速度变化也更加贴近实际,相比NEDC靠谱不少。而EPA看来就更严格了,单从EPA的补充循环来看,人家可是“空调全负荷运转+高速+高加速度”,完全配得上“史上最严工况”!大名鼎鼎的特斯拉在美国本地就是使用EPA工况。

94c82d123c6b396e252c73d4a823cb51.png

关于CATC,据了解其制定过程光是采集数据就长达三年之久,结合我国的地区地理、气候特点、人口、汽车保有量等多项指标选取了41个代表性城市,收集了约三千多万公里的车辆数据,采集的道路覆盖了市区、郊区、主干路、快速路和高速路等,时间也覆盖了四季、工作日、节假日、高峰时段和平峰时段。绝对属于量身定做!

当然,试验和实际肯定会存在差距,也就是说每种工况测出来的续航都会“虚”,只是“虚的程度”不一样而已。其中等速续航最不实用,也因此被遗弃。CATA绝对是最贴近实际,毕竟是量身打造!综合来讲,针对我国具体情况,按照“靠谱程度”来排名的话,应该是CATC>EPA>WLTP>NEDC>等速工况

■ 同样是NEDC,理论上也是“虚的不一样”

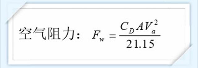
具体做NEDC工况续航测试是在转鼓台架上进行,只考虑滚阻(地面与轮胎的摩擦阻力)、风阻(空气阻力)。由于施加风阻不容易操作、成本高等原因,所以将二者拟合到一起。一般由车企提供拟合之后的阻力曲线,按照曲线阻力加载到转鼓上。

b3d6f01309616ff799c9ac7762925c5a.png
14c81cbb882556fc88ebbdf9cdb187dd.png

测试过程也很简单,车辆加载100公斤,直接开到调好阻力的转鼓台架上,按照工况上的速度曲线一直跑,跑至跟不上曲线为止。其中,空调、灯光等所有附件设备通通可以关闭,而且制动能量一般都会调至最大......能够看出来,为了测得一个好看、漂亮的数字,测试时全然不顾用户在用车过程中的实际情况。这样测出来的数据对实际用车的参考意义有多大?我也只好呵呵了。

5dcaa320330cd29bf04659ad6e5727bd.png

从理论上分析来看,关于加载重量,如果按照5座满载375公斤(按照国标要求,加载时一个人68公斤,每个人有7公斤行李)计算的话,也就是比测试时多275公斤。不同重量的车,对这275公斤的“敏感程度”不一样,也就是对滚动阻力的影响程度不一样,这也会导致不同重量的车型续航“虚的程度”不一样。车自身越重,加载量对续航的影响越小。

b98306d3c28eeb14703013a041516b5c.png

计算风阻时,不同的迎风面积A、风阻系数CD,对于速度的的敏感程度也是不一样的,这也是不同车型续航“虚的程度”不一样的一个原因。风阻损耗在整车能耗占比越高的车型,车速对续航的影响越大。

别急,这还不算完,还有更厉害的!

b1450fc57e42664b9b5d5bdd6625f95c.png

■ 猫腻操作 使续航更“虚”!

即使最强的研发团队在轻量化、低风阻力上一顿操作猛如虎,也抵不过直接给测试单位提供一个“我想要的”阻力曲线。当然,“我想要的”肯定是偏低的。

什么,还有这操作?难道没人管吗?不不不,不要误会,人家“监考老师”可是提前说明了,大概意思就是说“阻力曲线必须是准确的哈,要对自己提交的数据负责。我可是有随机抽检的权利,如果不准确被我查出来了可就不是重上公告这么简单了。”

b8e28623da2f935cd3d2c023c0c14813.png

但是“监考老师”他老人家忙的很啊,虽然有抽检的权利,但基本上没时间用......鉴于这种情况,有些胆大的厂商们就开始在阻力曲线上做文章,只要阻力足够小,续航想要多长有多长。仿佛让我想起了历史老师说过的“人有多大胆,地有多大产”。

ffdbcab4a401c0930d245ef01f93472d.png

说到这里,又让我想起能耗这一数据,也存在普遍偏低的现象。除了偏高的NEDC影响外,还在充电量上做文章。

据一位内部专业人士透露,送去上公告测数据的车,充满电之后,通过刷程序降低充电截止电压再去测续航,最后再充电,算能耗。通过降低截止电压,来减少充入量,以算得一个更低的能耗。

这样算能耗,续航偏高,总电量偏低,堪比双拳出击,简直是一套组合拳啊!

■ 邦点评

其实,现在实行的所有测试工况基本上都是为测燃油车的油耗、排气而制定的,当时并没有考虑电动汽车的情况,所以存在续航“虚”的问题也在所难免。好在针对我国实情量身打造的CATC测试工况要问世了,期待新工况会给大家呈现出一个更贴近实际的续航数据!就目前而言,机智的小伙伴们只能通过靠谱媒体的实测来了解真实续航,比如电动邦独家打造的EVRI续航评测体系,绝对给你一个靠谱、真实的续航数据。

另外,对于那些采取非常规手段欺骗消费者的厂商,还是尽早收手吧!群众的眼睛是雪亮的,即使你标的续航再高,也终会露馅,还得背着骂名,砸了招牌,实在是得不偿失啊!

最后

以上就是天真香水最近收集整理的关于nedc和epa续航里程什么意思_你的车续航为啥这么虚?偷偷告诉你个行业黑幕的全部内容,更多相关nedc和epa续航里程什么意思_你内容请搜索靠谱客的其他文章。

本图文内容来源于网友提供,作为学习参考使用,或来自网络收集整理,版权属于原作者所有。
点赞(193)

评论列表共有 0 条评论

立即
投稿
返回
顶部