信号处理基础练习内容
1、生成确定信号:中心频率为800Hz的正弦信号和带宽为1KHz的线性调频信号,采样频率为40KHz。
2、生成随机信号:生成带限白噪声,频率范围为500-20KHz范围。
3、调整噪声,生成谱级信噪比分别为10dB,0dB,-10dB的信号与噪声叠加。
基础知识
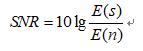
信噪比(Signal Noise Rate(SNR))是通信系统或电路中某点上信号平均功率与噪声平均功率之比,该比值一般用分贝表示,信噪比越高表示噪声所占比重越小,信号质量越好。
信噪比的计算方法如下:
![]()
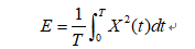
其中Ps和Pn分别代表信号和噪声的功率。同样的,我们也可以使用能量来表示信噪比:
![]()
其中E(s)和E(n)分别表示信号和噪声的能量。
在信号处理中,能量的表达式为(此处经评论指正为一处笔误,应当为信号功率表达式,公式左侧为Ps):
![]()
对于零均值的高斯白噪声,它的方差就是它的均值。不幸的是,这一次我们的带限白噪声,不是零均值的,所以我们还是需要使用信号的能量计算公式。
为了更好地衡量带限白噪声下的信噪比,我们使用谱级信噪比:信号的功率PS与1Hz带宽内的平均噪声功率NO的比值。其中NO:
![]()
其中,B为噪声带宽。
MATLAB仿真
- 确定信号
首先我们生成确定信号。有了采样频率,我们需要设定采样点数,也是信号画图的点数N:N=2^n,信号点数一般取2的整数次方。
fo=800; %中心频率800Hz
fs=40e3; %采样频率40KHz
N=4096; %采样点数
T=N/fs; %信号长度,单位为s
t=(0:N-1)/fs; %信号时间序列
s1=sin(2*pi*fo*t);%正弦信号
figure(1)
subplot(221)
plot(t,s1);title('sin(2*pi*fo*t),fo=800Hz,fs=40KHz');
xlabel('时间/s');ylabel('幅度');%单频信号时域图
使用sin()函数可以生成正弦信号,subplot(221)可以生成一个2*2的图阵,本图放在第一个。
线性调频信号是频率线性变化的信号,信号频率变化斜率为常数。

由于这是复信号模式,也可以只写它的实部。其中,K是信号频率变化斜率:

B=1e3;%带宽1KHz
k=B/T;%线性调频信号调频斜率
s2=exp(1j*(2*pi*fo*t+pi*k*t.^2));%线性调频信号从800Hz增加到1800Hz
subplot(223)
plot(t,real(s2));title('exp(j*(2*pi*fo*t+pi*k*t.^2)),fo=800Hz,fs=40KHz');
xlabel('时间/s');ylabel('幅度');%线性调频信号
对二者进行频谱分析,频谱分析使用FFT函数进行快速傅里叶变换。注意,FFT函数变换后,其幅值使原来的N/2倍。运行结果如下:

- 随机信号
为了便于观察信噪比,我设置随机信号长度为确定信号长度的3倍,使用normrnd函数生成指定均值方差的高斯随机序列:
N1=3*N;%噪声要较信号长,适合观察
mu=2;sigma=sqrt(2.5);%均值为2,方差为2.5
n=normrnd(mu,sigma,[1,N1]);%生成随机序列
带限白噪声是指在频域上限制其频带宽度。生成带限白噪声的方法有很多,可以使用时域加窗,比如海明窗、汉宁窗等,设计滤波器即可。这里我使用的是上课时学到的另一位同学的思路,他使用的是在频域直接加上矩形窗进行截断,这样生成的带限白噪声在频域十分简洁漂亮,便于观察。
我们直接将前面生成的白噪声转换到频域,对其加一个矩形窗,使其在500-2000Hz范围的幅值为1,其余为0.
fft_n1=[zeros(1,fix(N1/fs*fl)),fft_n(fix(N1/fs*fl):fix(N1/fs*fh)),zeros(1,fix(N1-N1/fs*fh))];%加矩形窗截断
其中,fix为取整函数,这是为了满足该向量赋值需要整数点。fft_n为我们转换到频域的噪声。fl,fh分别为噪声下限截止频率和上限截止频率。
这是运行结果,可以看出,对噪声进行带限处理后,明显噪声时域波形变得稀疏,这是因为其中500Hz以下和2000Hz以上的频率分量被滤掉了。
- 规定谱级信噪比下的信号加噪声
前面已经讲过信噪比和谱级信噪比的概念,所以这里我们直接进行公式推导:

由此可以推出所需要的噪声能量:

又因为采样后的信号是离散信号,使用sum()求和代替积分,所以信噪比和噪声能量为:
E_n1=sum((real(n2)).^2);%噪声的能量
SNR1=10;
SNR2=0;
SNR3=-10;%三个谱级信噪比
求得所需要的噪声能量,又求得现在的噪声能量,对噪声幅值进行变化即可更改信号能量,得到所需信噪比:
s1_in=[zeros(1,N),s1(1:N),zeros(1,N)];%将信号与噪声统一长度
A_s1_SNR1=sqrt(P_s1/(10^(SNR1/10))*B_n);
n3_SNR1_s1=n2/sqrt(E_n1)*A_s1_SNR1;%与正弦信号达成谱级信噪比SNR1的噪声
s1_SNR1_out=s1_in+n3_SNR1_s1;%正弦信号加入噪声后的输出信号
运行结果为:


完整代码
完整代码可以通过我的主页下载 生成确定信号和带限白噪声,以指定谱级信噪比给信号添加带限白噪声。
如果内容有什么问题,欢迎大家指导我,matlab新手,状况百出hhhh
最后
以上就是儒雅手链最近收集整理的关于给信号添加指定信噪比的带限白噪声的全部内容,更多相关给信号添加指定信噪比内容请搜索靠谱客的其他文章。
发表评论 取消回复